“丝路电商”发展对服务贸易国际竞争力提升的影响研究
Research on the Impact of the Development of “Silk Road E-Commerce” on Enhancing the International Competitiveness of Service Trade
摘要: “丝路电商”国际合作是新时代积极推进“一带一路”经贸合作的重要举措,为合作国家服务贸易国际竞争力提升提供了重要契机。本文基于2008~2023年全球159个国家的面板数据,构建双重差分模型,实证考察了“丝路电商”国际合作对服务贸易国际竞争力的影响效应。研究发现,“丝路电商”国际合作能显著提升合作国家的服务贸易国际竞争力。异质性结果表明,“丝路电商”国际合作对发展中国家、制度距离较近国家服务贸易国际竞争力的促进作用更为明显。机制检验表明,“丝路电商”国际合作可以通过提高合作国家服务贸易开放水平,进而提升合作国家的服务贸易国际竞争力。本文研究结论为高质量推动“丝路电商”国际合作扩展提供了经验证据。
Abstract: The “Silk Road E-commerce” international cooperation is a significant measure to actively promote economic and trade cooperation under the “Belt and Road Initiative” in the new era, providing an important opportunity for partner countries to enhance their international competitiveness in trade in services. Based on panel data from 159 countries worldwide from 2008 to 2023, this paper constructs a difference-in-differences model to empirically examine the impact of “Silk Road E-commerce” international cooperation on the international competitiveness of trade in services. The study finds that “Silk Road E-commerce” international cooperation can significantly enhance the international competitiveness of trade in services in partner countries. Heterogeneity results indicate that “Silk Road E-commerce” international cooperation has a more pronounced promoting effect on the international competitiveness of trade in services in developing countries and countries with closer institutional distances. Mechanism tests reveal that “Silk Road E-commerce” international cooperation can enhance the international competitiveness of trade in services in partner countries by increasing their level of openness in trade in services. The conclusions of this paper provide empirical evidence for promoting the expansion of “Silk Road E-commerce” international cooperation with high quality.
文章引用:张守华. “丝路电商”发展对服务贸易国际竞争力提升的影响研究[J]. 电子商务评论, 2026, 15(1): 81-90. https://doi.org/10.12677/ecl.2026.151011

1. 引言

当前,全球经济正加速跨入“服务经济”时代,服务贸易已成为与货物贸易、数字贸易并列的“三大支柱”。各国均开始重视增强本国服务业的国际竞争力,力求增进本国高端服务业发展,促进本国服务贸易规模扩大。“十五五”规划建议也明确指出,要大力发展服务贸易,鼓励服务出口,提升服务贸易标准化水平。新时代以来,服务贸易新技术、新业态、新模式层出不穷,以其增长快、领域新、带动强的特点,已成为世界各国外贸与经济发展的新动力所在。为落实共建“一带一路”倡议,充分发挥中国电子商务技术应用、模式创新和市场规模等优势,我国提出与沿线国家在跨境电商、服务贸易等领域进行国际合作,签订“丝路电商”合作备忘录的构想。2016年11月,中华人民共和国商务部与智利外交部签订了首个双边电子商务合作的谅解备忘录,标志着“丝路电商”合作备忘录的诞生。

“丝路电商”国际合作的发展必将深化我国高水平对外开放格局,基于此,本文探讨“丝路电商”发展对合作国家服务贸易国际竞争力的影响。当前学术界有关“丝路电商”的研究指出“丝路电商”国际合作可以促进数字服务贸易进出口[1],扩大跨境电商出口[2],弥补合作国家在信息网络安全、电商人才培养、电商基础设施等方面的短板[3],郭建峰等[4]认为区域电商水平和“丝路”发展水平高度耦合,但存在区域不平衡现象。作为“丝路电商”国际合作的前期政策基础,与“一带一路”有关的研究发现沿线国家中东亚地区服务贸易竞争力显著大于西亚、中亚和南亚地区[5],林晓芳等[6]将包括新加坡、希腊、印度等在内的10个“一带一路”沿线国家与中国的服务贸易国际竞争力进行比较分析,发现各个国家均分别在不同领域具有相应的竞争优势,不存在激烈的竞争关系。陈秀英和刘胜[7]重点考察了海上丝绸之路沿线国家的服务贸易竞争力分析,认为中国、印度和新加坡在国际市场份额方面占据了前三位,但印度和埃及服务产品的国际竞争力更强。

本文可能的边际贡献主要在于:第一,区别于现有文献更多关注“丝路电商”主要关注国内服务贸易进出口,本文聚焦“丝路电商”对合作国家服务贸易国际竞争力的政策效应,丰富和拓展了有关“丝路电商”国际合作普遍价值的研究。第二,使用双重机器学习等方法对模型进行稳健性检验,避免了传统因果推断模型可能存在的偏误问题,有助于正确识别“丝路电商”对合作国家服务贸易国际竞争力影响的净效应。第三,从扩大服务贸易开放视角,厘清了“丝路电商”对合作国家服务贸易国际竞争力影响的作用机制,为积极推动“丝路电商”国际合作扩展提供了重要的参考价值。

2. 理论机制与研究假设

“丝路电商”作为数字经济时代的新型制度型国际公共产品,遵循互利共赢原则,在充分发挥我国电子商务技术应用、模式创新和市场规模优势的基础上,不仅可以加强电子商务国际合作,还可以通过合作带动相关国家在跨境结算、电商人才、跨境物流等服务贸易产业链体系的发展,依托数字平台与智能网络显著降低服务跨境交易的信息搜寻、合约执行与交付成本[8],催生融合性服务新产品,促进服务贸易差异化与附加值提升。在“丝路电商”国际合作过程中,通过签署政府间合作谅解备忘录、建立双边电子商务合作机制、共同制定电子商务国际规则与标准等方式,一方面有利于减少制度性交易成本,促使合作国家间形成集体偏好趋同,加速标准治理共识的内生化[9],另一方面可凭借网络外部性效应,吸引全球资源嵌入,推动全球服务贸易网络平衡性重构[10],使合作国家服务贸易可共享规模经济与协同创新红利,赋能合作国家的服务贸易国际竞争力。

“丝路电商”合作的深化,内在地要求并驱动合作国家之间在数据跨境流动、数字认证互认、消费者权益保护等服务规则领域进行协调与对接,并就扩大合作国家的电子商务合作提出相关促进措施,这一过程会促使合作国家在以电子商务为代表的各项服务领域的市场准入放宽,实质性地提高服务贸易的制度性开放水平。服务贸易开放水平的提升,可以通过引入国际竞争压力、促进先进知识技术与管理经验外溢、吸引高附加值服务环节等方式持续赋能本国服务业效率与创新能力的升级,推动强化合作国家的服务贸易国际竞争力。根据上述分析,本文提出以下假说:

假说1:“丝路电商”国际合作可以提升合作国家的服务贸易国际竞争力。

假说2:“丝路电商”国际合作可以通过提高合作国家服务贸易开放水平的机制,进而提升合作国家的服务贸易国际竞争力。

3. 研究设计

3.1. 模型设定

本文将“丝路电商”国际合作视为一项准自然实验,采用双重差分法检验“丝路电商”对合作国家服务贸易国际竞争力的影响,构建模型如下:

RC A it = β 0 + β 1 DI D it + X it + ε i + μ t + η it (1)

式(1)中 RC A it 表示 i 国在 t 时期的服务贸易国际竞争力水平; DI D it 是表示 i 国在 t 时期是否参与“丝路电商”国际合作的核心解释变量,若 i 国在 t 时期参与“丝路电商”国际合作则取1,否则取0; X it 代表国家层面可能影响服务贸易国际竞争力的控制变量; ε i 表示个体固定效应,用来控制国家层面不随时间变化的变量; μ t 表示时间固定效应,用来控制随时间而不随各国个体变化的变量; η it 为随机扰动项,该模型在估计时使用稳健标准误。

3.2. 变量说明

3.2.1. 被解释变量:服务贸易国际竞争力

借鉴高红伟[11]的方法,使用显性比较优势指数(RCA)反映各国服务贸易国际竞争力,该指数基于比较优势理论,通过比较一国服务出口占其总出口的比例与世界同类服务出口占全球总出口的比例,能够较好地反映一国在服务贸易的相对优势,具体方法为:

RCA= X i X t / W i W t (2)

式(2)中, X i X t 分别表示该国 i 产品(服务)的出口额和该国总出口额, W i W t 分别表示世界范围内 i 产品(服务)的出口额和世界总出口额。该指数越大,说明该国服务贸易国际竞争力越强。

3.2.2. 核心解释变量:“丝路电商”国际合作

本文核心解释变量是一国是否签署“丝路电商”合作备忘录的虚拟变量 DI D it ,该变量是 trea t i pos t it 的交乘项,若 i 国为签署“丝路电商”合作备忘录的国家,则 trea t i 取1,否则为0;若 t 年份 i 国已签署“丝路电商”合作备忘录,则 pos t it 取1,否则为0。

3.2.3. 控制变量

参考彭羽等[12]、周伯乐和马莉莉[13]的做法,选择如下控制变量:经济发展水平(eco),用经平减的人均GDP (美元)取对数表示;市场潜力(mkt),用总人口取对数表示;城镇化(urb),用城市人口占总人口比重表示;失业率(une),用失业人口占总劳动力人口表示;政府支出(gov),用一般政府最终消费支出占国内生产总值比重表示;金融发展水平(fin),用私营部门国内信贷占国内生产总值比重表示。变量及描述性统计见表1表2

3.3. 数据说明

本文选取2008~2023年159个国家的数据作为初始研究样本。数据来源如下:计算显性比较优势指数所需的各国服务出口数据来源于世界贸易组织。对参与“丝路电商”国际合作国家的认定来源于中国“一带一路”网与其他公开数据源。控制变量各指标来源于世界银行WDI数据库。另剔除部分数据缺失过多的国家(地区)。经上述处理后,最终共得到159个国家的2542个有效观测样本。

Table 1. Variable name and meaning

1. 变量名称与含义

变量类别

变量名称

变量含义

被解释变量

RCA

服务贸易国际竞争力水平

解释变量

DID

是否参与“丝路电商”国际合作

控制变量

eco

经济发展水平(人均GDP (美元)取对数)

mkt

市场潜力(总人口取对数)

urb

城镇化(城市人口占总人口比重)

une

失业率(失业人口占总劳动力人口)

gov

政府支出(一般政府最终消费支出占国内生产总值比重)

fin

金融发展水平(私营部门国内信贷占国内生产总值比重)

Table 2. Descriptive statistics of main variables

2. 主要变量的描述性统计

变量名称

观测值

均值

标准差

最小值

最大值

RCA

2495

2.018

0.866

0.0261

4.26

DID

2542

0.0566

0.231

0

1

eco

2464

8.581

1.445

5.569

11.61

mkt

2512

16.1

1.709

11.14

21.08

urb

2512

58.41

22.38

10.12

100

une

2512

5.842

5.415

0

36

gov

2512

14.42

7.412

0

50.84

fin

2512

45.07

44.42

0

255

4. 实证分析

4.1. 基准回归结果

本文基准回归结果如表3所示。表中列(1)为未引入控制变量,但加入个体和年份固定效应进行回归的结果,列(2)在列(1)的基础上添加了控制变量。可以发现,列(1)和列(2)的核心解释变量系数均在1%水平上显著为正,验证了“丝路电商”国际合作对合作国家的服务贸易国际竞争力具有正向促进作用,假说1得证。

Table 3. Benchmark regression results

3. 基准回归结果

变量

(1) RCA

(2) RCA

DID

0.121***

0.112***

(0.0352)

(0.0349)

eco

−0.0703

(0.0871)

mkt

0.354**

(0.139)

urb

−0.0108*

(0.00608)

une

0.00226

(0.00213)

gov

−0.00295

(0.00262)

fin

0.00019

(0.00035)

个体固定效应

年份固定效应

观测值

2495

2426

R2

0.902

0.902

注:括号内为城市层面聚类稳健标准误;***、**、*分别表示在1%、5%、10%水平上显著。下表同。

4.2. 稳健性检验

4.2.1. 平行趋势检验

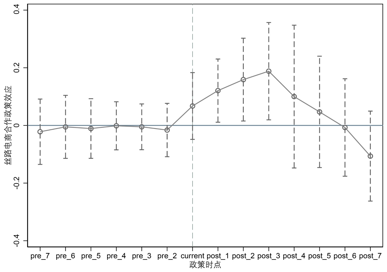
使用双重差分法进行回归估计的一个前提假设是合作国家与未参与合作国家的服务贸易国际竞争力在“丝路电商”实施之前具有相同的趋势,因此需进行平行趋势检验。为防止多重共线性,删除政策实施前一期,检验结果如图1所示。结果显示,政策时点前的时间虚拟变量系数均不显著,表明在合作国家参与“丝路电商”前,两组样本的服务贸易国际竞争力无显著差异,符合平行趋势假设。

Figure 1. Parallel trend test

1. 平行趋势检验

4.2.2. 安慰剂检验

本文虽已尽可能控制了国家层面上的可观测变量,但由于回归结果仍可能受核心解释变量以外的其他遗漏变量影响,因此进行随机抽样的安慰剂检验。图2展示了进行500次随机生成处理组样本后重新回归的交互项估计系数概率密度分布以及P值分布图,由图可见,随机抽样的交互项估计系数概率密度高度分布在0值附近,绝大部分估计系数的P值大于0.1,且系数与基准估计结果存在显著差异。这表明,前文的基准回归结果未明显受到非观测因素与遗漏变量影响,基准回归结果仍然稳健。

Figure 2. Placebo test

2. 安慰剂检验

4.2.3. 双重机器学习方法检验

相较于传统因果推断模型,双重机器学习方法放松了变量间线性关系的假设[14],可以有效避免由于函数形式误设导致的偏误。同时,双重机器学习方法可以使用诸多机器学习及其正则化算法自动筛选预测精度较高的有效高维控制变量,能避免控制变量过多所导致的“维度诅咒”[15]。本文使用双重机器学习部分线性模型和双重机器学习交互模型,采用随机森林算法对模型进行估计,样本分割比例为1:4,然后进行交叉验证,最终获取估计结果。模型设定如下:

{ RC A it = θ 0 DI D it + g 0 ( X it )+ U it ,E[ X it ,DI D it ]=0 DI D it = m 0 ( X it )+ v it ,E[ v it | X it ]=0 (3)

{ RC A it = g 0 ( DI D it , X it )+ U it ,E[ U it | X it ,DI D it ]=0 DI D it = m 0 ( X it )+ v it ,E[ v it | X it ]=0 (4)

其中,式(3)为部分线性模型, θ 0 为本文关注的处置系数, X it 为控制变量的集合,并使用机器学习算法估计其具体形式 g ^ 0 ( X it ) m ^ 0 ( X it ) U it 为误差项且条件均值为0。其余各变量含义同式(1)。出于稳健性的考虑,继续构建更具一般性的交互模型即式(4),该模型放松了对处置变量线性的假设,进一步避免了由于双重机器学习模型设定偏误带来的估计结果偏误。基于两种双重机器学习模型进行的估计结果见表4列(1)-列(2),结果显示两种模型下处置变量的系数均显著为正,结论维持不变。

Table 4. DML test results

4. 双重机器学习检验结果

变量

双重机器学习

(1) RCA

(2) RCA

DID

0.132***

0.112*

(0.0512)

(0.0664)

控制变量

个体固定效应

年份固定效应

观测值

2426

2426

注:列(1)为部分线性模型估计结果,列(2)为交互模型估计结果。

4.3. 异质性分析

4.3.1. 国家发展程度异质性

考虑到“丝路电商”国际合作可能会对不同发展程度国家的服务贸易国际竞争力产生异质性影响,本文根据联合国对经济发展程度的划分,将样本国家分为发展中国家和发达国家并进行分组回归,结果如表5列(1)和列(2)所示。结果显示,“丝路电商”国际合作可以显著强化发展中国家和发达国家的服务贸易国际竞争力,且对发展中国家的强化作用更为明显。对发展中国家而言,“丝路电商”国际合作为其提供了接入区域服务贸易网络的低成本通道,使其能够更直接地接触国际服务市场,吸收先进技术与管理经验,更有效地弥补其传统贸易渠道与市场环境的短板,激发服务部门效率提升与创新潜能。因此,“丝路电商”合作不仅普遍惠及各国,更能成为缩小“数字鸿沟”、促进全球服务贸易格局均衡发展的重要推动力。

4.3.2. 制度距离异质性

由于“丝路电商”国际合作的政策效应可能因合作国家的制度差异产生异质性影响,本文参考肖挺和陈周永[16]的方法,采用世界治理指数(WGI)数据库的六项政府治理指标来测度合作国家与中国的制度距离,并按各年份制度距离中位数将样本国家分为制度距离较远与较近的两组分别进行回归。结果如表5列(3)和列(4)所示。结果显示,“丝路电商”国际合作对制度距离较近国家的服务贸易国际竞争力促进作用更明显,而对制度距离较远国家则不明显。可能的原因是,制度距离较近的国家,在法律法规、政府效能、监管质量等方面与中国具有更高的制度相似性,大幅降低了双方在数据规则、市场准入、标准互认等关键领域的协调成本,使得“丝路电商”国际合作能够更顺畅地转化为实际的贸易便利与市场开放,从而显著提升其服务贸易国际竞争力。相反,制度距离较远的国家,可能因制度与规则差异,导致“丝路电商”国际合作对服务贸易的渗透、转化效率较低,因而政策效应并不显著。

Table 5. Heterogeneity test results of national development level and institutional distance

5. 国家发展程度和制度距离异质性检验结果

变量

国家发展程度

制度距离

发展中国家

发达国家

较远

较近

(1) RCA

(2) RCA

(3) RCA

(4) RCA

DID

0.129***

0.0622**

0.0727

0.131***

(0.0455)

(0.0314)

(0.0550)

(0.0495)

控制变量

个体固定效应

年份固定效应

观测值

1994

432

800

1108

R2

0.898

0.903

0.917

0.931

5. 机制检验

前述理论分析部分认为,“丝路电商”国际合作可以通过促进合作国家服务贸易开放进而强化其服务贸易国际竞争力。本文借鉴江艇[17]的做法,构建如下模型实证检验“丝路电商”国际合作对合作国家服务贸易国际竞争力提升的作用机制:

ST O it = β 0 + β 1 DI D it + X it + ε i + μ t + η it (5)

式(5)中 ST O it 为反映合作国家服务贸易开放水平的机制变量,其余变量含义同式(1)。参考韩沈超[18]的做法,以服务贸易进出口总额占GDP的比重来衡量服务贸易开放水平,检验结果如表6所示,核心解释变量估计系数显著为正,表明“丝路电商”国际合作通过提高合作国家服务贸易开放水平来提升服务贸易国际竞争力,假说2得证。

Table 6. Test results of the service trade opening mechanism

6. 服务贸易开放机制检验结果

变量

服务贸易开放

STO

DID

1.868**

(0.940)

控制变量

个体固定效应

年份固定效应

观测值

2459

R2

0.968

6. 结论与政策建议

本文基于2008~2023年“丝路电商”合作国家数据构建双重差分模型,实证检验了“丝路电商”国际合作对合作国家服务贸易国际竞争力的影响。研究发现:第一,“丝路电商”国际合作与合作国家服务贸易国际竞争力的提升存在显著正相关,该结论在经过一系列稳健性检验后依然成立。第二,异质性分析结果表明,在国家发展程度层面,发展中国家比发达国家所受政策效应更为显著;在制度距离层面,制度距离较近的国家比制度距离较远的国家所受政策效应更为显著。第三,“丝路电商”国际合作主要通过提高合作国家服务贸易开放水平的机制,进而推动合作国家的服务贸易国际竞争力提升。基于上述结论,本文提出如下对策建议:

第一,高质量推进“丝路电商”国际合作走深走实,打造“丝路电商”朋友圈,不断拓展服务合作范围。建立常态化的“丝路电商”数字规则对话平台,就数据跨境流动、消费者权益保护、数字知识产权等关键议题开展区域磋商,推动形成互认互通的“软联通”标准。建立健全风险防控体系,针对商业数据跨境的安全风险,探索采用分类分级监管、可信数据空间等模式,与合作国共同制定数据跨境流动管理框架。建立“丝路电商”规则冲突协调机制,对消费者保护、平台责任、电子认证等关键领域的规则差异进行识别与磋商,降低不确定性风险。

第二,重点强化“丝路电商”国际合作的普惠赋能,加强对合作国家,尤其是发展中国家的服务贸易能力建设。一方面,将合作资源更多向参与“丝路电商”国际合作的发展中国家倾斜,协助合作国家升级网络、物流及支付系统,筑牢数字化贸易底座。另一方面,通过设立“丝路电商”建设基金、开展定向技术培训与人才交流项目,重点提升当地中小服务企业的数字化运营、跨境营销与合规管理能力,帮助其将市场优势转化为可持续的市场竞争力。同时,鼓励中国平台企业与当地企业进行生态合作共建,促进技术、商业模式与知识的本地化融合。

第三,聚焦提升服务贸易开放水平,构建良好的“丝路电商”合作生态。积极利用“丝路电商”谅解备忘录合作框架,推动合作国家在金融、数据、第三方服务等现代服务领域有序放宽市场准入限制,总结并推广一批可借鉴、可复用的国际合作案例。倡导建立开放、安全的国际数据流动规则,探索建设“丝路数据走廊”。催化服务市场的良性竞争与创新活力,形成电商平台牵头赋能、服务贸易环境优化、服务质量不断提升的“丝路电商”合作生态,为全球服务贸易注入包容性增长动力。

基金项目

江苏省研究生实践创新计划项目“‘丝路电商’发展对服务贸易国际竞争力提升的影响研究”,项目编号:SJCX24_0258。

参考文献

[1] 叶世雄, 蔡一鸣. “丝路电商”国际合作如何影响中国数字服务贸易? [J]. 世界经济研究, 2024(1): 89-104+137.
[2] 马述忠, 王晔辰, 房超. 制度型开放与跨境电商出口: 基于“丝路电商”合作备忘录的研究[J]. 浙江社会科学, 2024(2): 78-90+158.
[3] 黄梅波, 段秋韵. “数字丝路”背景下的中非电子商务合作[J]. 西亚非洲, 2021(1): 48-72.
[4] 郭建峰, 董戈辉, 多晶, 等. 区域电商与“丝路”发展系统耦合评价及分析[J]. 科技管理研究, 2019, 39(2): 62-70.
[5] 赵静. “一带一路”沿线主要国家服务贸易竞争力评价[J]. 云南师范大学学报(哲学社会科学版), 2019, 51(3): 130-141.
[6] 林晓芳, 程超, 方玲. “一带一路”背景下我国与沿线主要国家服务贸易竞争力的比较研究[J]. 商场现代化, 2023(22): 87-89.
[7] 陈秀英, 刘胜. “21世纪海上丝绸之路”沿线国家服务贸易竞争力分析[J]. 首都经济贸易大学学报, 2018, 20(2): 51-61.
[8] 叶胥, 蔡睿堃, 龙燕妮. 数字经济如何有效赋能服务业高质量发展[J]. 经济问题探索, 2024(4): 16-34.
[9] 孙浦阳. 技术标准引领与中国贸易新优势构建[J]. 中国社会科学, 2025(2): 41-62+205.
[10] 马梦涓, 余紫菱, 马莉莉. 制度型开放推动的全球数字服务贸易平衡性重构——来自“丝路电商”合作的证据[J]. 南方经济, 2025(10): 18-38.
[11] 高红伟. 中国数字服务贸易的国际竞争力分析[J]. 统计与决策, 2023, 39(4): 158-162.
[12] 彭羽, 杨碧舟, 曾侯哲. “丝路电商”国际合作是否提升了数字服务的出口复杂度——基于协议签署国视角[J]. 国际贸易问题, 2025(5): 67-83.
[13] 周伯乐, 马莉莉. “中国方案”能否破解全球发展赤字——基于世界各国信息化发展的实证分析[J]. 经济学家, 2023(12): 26-35.
[14] Chernozhukov, V., Chetverikov, D., Demirer, M., Duflo, E., Hansen, C., Newey, W., et al. (2018) Double/Debiased Machine Learning for Treatment and Structural Parameters. The Econometrics Journal, 21, C1-C68. [Google Scholar] [CrossRef
[15] Yang, J., Chuang, H. and Kuan, C. (2020) Double Machine Learning with Gradient Boosting and Its Application to the Big N Audit Quality Effect. Journal of Econometrics, 216, 268-283. [Google Scholar] [CrossRef
[16] 肖挺, 陈周永. 制度距离对海外子公司经营绩效的影响——基于信号理论视角下母公司ESG的调节作用研究[J]. 经济经纬, 2025, 42(2): 121-133.
[17] 江艇. 因果推断经验研究中的中介效应与调节效应[J]. 中国工业经济, 2022(5): 100-120.
[18] 韩沈超. 数字基础设施与生产性服务业全球价值链地位攀升[J]. 统计与决策, 2024, 40(14): 143-148.