Settle3D软件在南水北调中线某渠段沉降变形分析中的应用
Application of Settle3D Software in the Settlement Deformation Analysis of a Canal Section in the Middle Line of the South-to-North Water Diversion Project
DOI: 10.12677/hjce.2026.151016, PDF, HTML, XML,   
作者: 梁 爽, 吕寒雪, 杨家宁, 刘思宇, 贺胤博:华北水利水电大学地球科学与工程学院,河南 郑州
关键词: Settle3D膨胀土沉降变形Settle3D Expansive Soil Settlement Deformation
摘要: 膨胀土“吸水膨胀,失水收缩”的特性对实际工程影响极大,与土体的稳定性密切相关。文章以“南水北调中线某渠段渠坡沉降变形”为依托,根据工程设计资料以及现场监测数据采用Settle3D模拟软件,建立渠坡模型,分工况模拟渠坡沉降变形情况,探究渠坡沉降变形机理并提出针对性的防治对策。研究结果表明:渠坡自运行以来产生较大沉降的主次原因依次分别为:地下水大幅升降、渠道水大幅度升降、堤身自身沉降;分析渠坡整体沉降变化与地下水位和渠道水位有关。
Abstract: The characteristics of expansive soil, “swell-on-wetting, shrink-on-drying”, have a great impact on the actual engineering and are closely related to the stability of the soil. Based on the “settlement and deformation of a canal slope in a canal section of the middle line of the South-to-North Water Diversion Project”, this paper uses Settle3D simulation software according to the engineering design data and on-site monitoring data to establish a canal slope model, simulates the settlement and deformation of the canal slope under different conditions, explores the settlement and deformation mechanism of the canal slope, and proposes targeted prevention and control measures. The results show that the main and secondary reasons for the large settlement of the canal slope since its operation are as follows: the large rise and fall of groundwater, the large rise and fall of channel water, and the settlement of the embankment itself. The analysis of the overall settlement change of the canal slope is related to the groundwater level and the channel water level.
文章引用:梁爽, 吕寒雪, 杨家宁, 刘思宇, 贺胤博. Settle3D软件在南水北调中线某渠段沉降变形分析中的应用[J]. 土木工程, 2026, 15(1): 132-142. https://doi.org/10.12677/hjce.2026.151016

1. 引言

南水北调工程是国家的重点工程项目,通过三条调水线路与长江、黄河、淮河和海河相连通,对于中国的水资源调配起着不可替代的作用,具有十分重要的战略意义。南水北调工程全线穿越了很多不同的地质条件,其中涉及了大量的膨胀土,给工程的安全建设带来了挑战。膨胀土是一种极为特殊的土壤,土颗粒间结合力极强,因此呈现出超固结性。此外,膨胀土具有多裂隙性,在遇水后,土壤体积会随水分的渗入而逐渐变大,表现出膨胀性。在失水后容易发生收缩和开裂现象。重要的是,膨胀土具有反复变形的特性,即在不同的水分条件下,土壤会反复发生膨胀和收缩,导致工程结构的变形和不稳定。因此在气候反复变化时,膨胀土地区容易出现工程塌陷或隆起,引起地质问题,给工程安全带来了巨大威胁。膨胀土对自然界气候变化的敏感性,导致其极易发生工程灾害,被称为岩土工程界的“癌症”。这一问题已经从某一国家或地区的难题转变为了世界性的共同研究课题[1]。因此,对膨胀土的研究一直是土工领域的热点之一。

由膨胀土产生的沉降变形,众多学者已经进行了相关的理论与试验研究。吴广水等[2]通过恒体积法和核磁共振技术,揭示了宁明膨胀土的地域性力学特性。Julina等[3]通过第二次干燥周期中空隙比–含水量图,展示了压实膨胀土壤试样在12.5 kPa垂直应力下的收缩行为。Tan等[4]对膨胀土的膨胀力进行了研究,通过分析干密度、初始含水率和荷载对膨胀土的影响,为后续的研究提供了思路。为了理清膨胀土异常变形的原因,本文旨在运用Settle3D模拟软件,对各工况下渠堤沉降变形情况进行分析,综合考虑多种因素,包括地质环境、地下水位变化、环境变量等影响因素,探究其异常沉降的根本原因。

在数值模拟方面,探讨膨胀土边坡变形机理问题时,研究者们常采用模拟软件对实际工程进行模拟计算,以便提出更加具有针对性的变形机理和防治措施。Dai等[5]运用三轴实验,得出了裂隙边坡的稳定性受充填裂隙的控制。Li [6]利用InSAR时间序列技术对中国南水北调中线工程渠首段膨胀土边坡的弹塑性行为和活跃区深度进行表征。张志军等[7]运用Settle3D软件对黄土路基不同填筑阶段的沉降进行数值分析。史颜玲[8]运用Settle3D软件对不同工况条件下的黄土路基进行精确建模与系统分析。熊潭清[9]运用Settle3D软件建立数值模型,分析自然、降雨工况下排水带间距对原状和重塑黄土路基固结沉降的影响。韦秉旭等[10]采用GeoStudio和FLAC3D软件,基于膨胀土堑坡的多场耦合膨胀本构模型,对不同降雨条件下的刚柔复合挡墙结构进行了数值模拟。熊子超[11]以丹江口水库的膨胀土岸坡为对象,通过COMSOL数值模拟软件,基于有限元分析原理,高准度地模拟不同工况下岸坡的失稳问题,并结合现场监测数据研究了膨胀土边坡在不同水位及降雨条件下的稳定性演化。Chen等[12]采用图像处理技术,研究改良膨胀性土壤裂隙的形成特征及其对剪切强度的影响。唐朝生[13]在室内对三组不同土体开展了干燥试验,用数字图像处理技术对获得的裂隙图像进行了二值化、除噪和骨架化等预处理操作。郭从洁[14]结合室内试验和数值模拟,通过模拟冻融循环条件下膨胀土边坡的物理特性和变形机理,考虑了不同初始含水率和坡比条件对边坡稳定性的影响。利用COMSOL软件进行多场耦合模拟分析,并与实验结果进行对比验证,为季冻区膨胀土边坡工程设计提供了指导依据。任浩等[15]采用聚丙烯纤维改性膨胀土提高边坡稳定性,通过直剪试验和Geostudio软件极限平衡法分析,发现0.14%纤维土表现最佳,为此后的工程膨胀土边坡改良技术提供了参考。

2. 工程概况和数值模拟

2.1. 工程概况

南水北调中线渠道穿过膨胀土地区的总长为346 km,其中强膨胀土占6.1%,中膨胀土占24.6%,弱膨胀土占69.3% [1]。在该工程中,渠道经过多种地层,沿线穿越了数百种不同形式的建筑物,因此遇到了各种岩土工程问题。本文研究对象为南水北调中线工程某渠段,该渠段为全填方渠段,位于刁河渡槽出口至垄岗边缘,属Ⅱ级阶地,地面高程135 m。填方高度16 m,渠堤填土为弱膨胀土,渠基为Q3粉质黏土。该渠段底宽19 m,设计水深8 m,加大水深8.78 m,过水断面边坡系数1:2,背坡边坡系数1:3。南水北调中线工程从工程建设期到运行期,渠道全线设置一般外观监测断面,在渠首某渠坡渠段共布置了8个监测断面,布置有表面沉降、分层沉降管、测斜管、渗压计、测压管等监测设施,搭建了安全监测网络,基本实现了对边坡变形和安全状态的全线感知。

2.2. 数值模拟

根据本文项目背景资料,本次模拟时间自2015年开始至2025年为止,为10年,包括1年预测。故在时间因素的基础上,共设置48个阶段。在考虑地下水时,需设置地下水分析因素。依据地质资料进行土层设定,将土层分为3层,并设定土层名称、土样重度、压缩性指标和渗透系数,并指定水平和竖向排水条件;设置土层厚度,并将各土样参数选定。在设置好的三种参数的土层中,在考虑渠坡本身的自重变形、渠坡内水分增加和减少、渠水位和渠基内地下水大幅度上升和下降等不同条件下,创建与实际工程相符的荷载模型,如图1所示,横断面长度为200 m。

Figure 1. Settle3D model diagram of the primary construction canal slope

1. Settle3D初建渠坡模型图

添加地下水影响因素,调节各阶段地下水变化模拟降雨条件;在适当阶段设定排水条件,并制定水平和竖向排水条件,调节排水时的流速以及排水网格密度,观察渠基沉降与回弹变形特征。模型最终结果见图2图3

Figure 2. Overall settlement displacement cloud map of the canal embankment (top view)

2. 渠坡整体沉降量俯视云图

Figure 3. Front view of settlement in cross section of canal slope

3. 渠坡横断面沉降量前视云图

最后导出数据,绘制横断面沉降变化图。

3. 模拟结果分析与讨论

3.1. 综合自然条件下渠坡沉降变形模拟

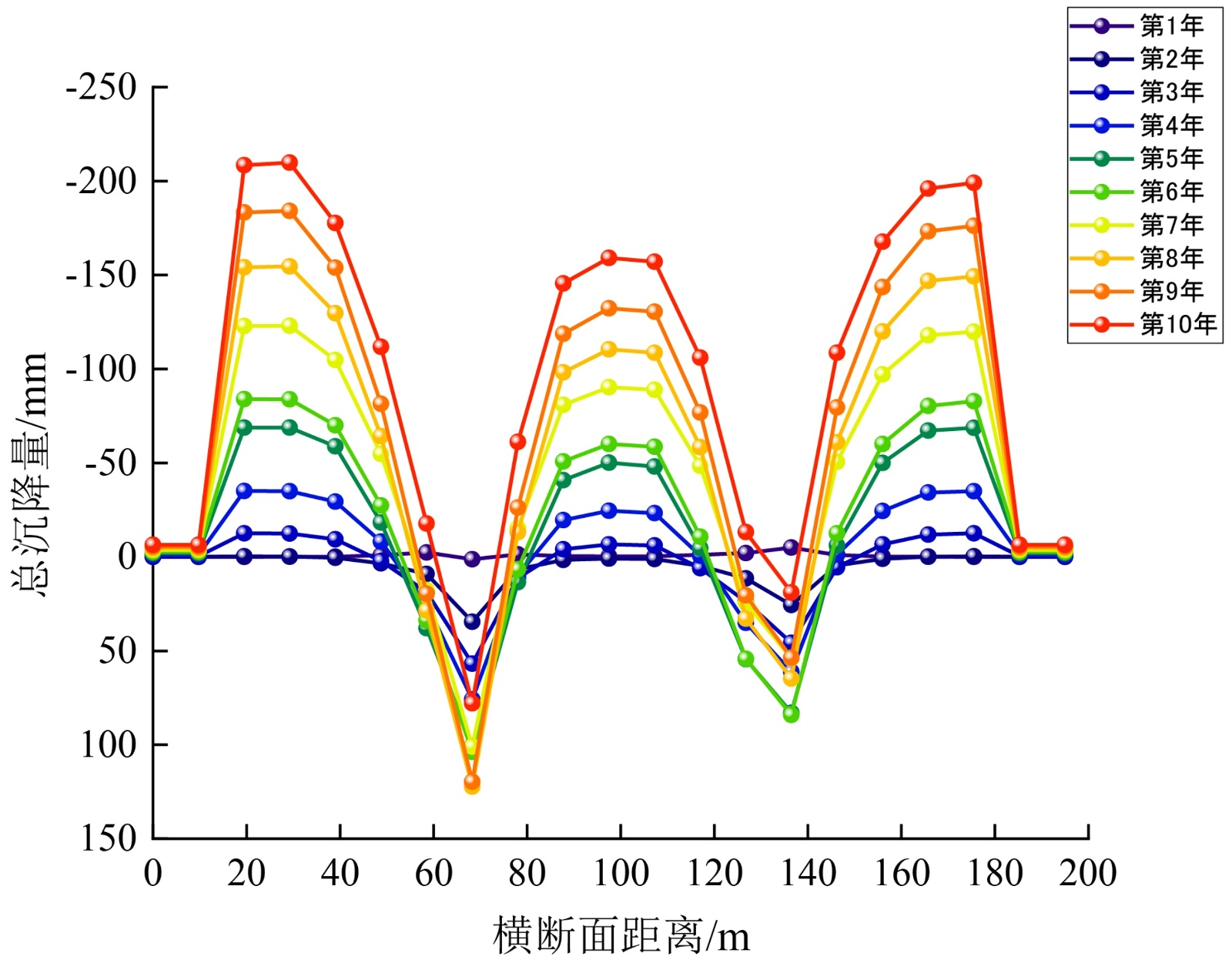
根据上述模拟得到的数据,制作渠坡横断面沉降变形图和渠顶沉降变形图,分别如图4图5所示。模拟自2015年运行开始至2025年结束,每3个月设置一个阶段。总体观察显示,沉降形态呈现出“双漏斗”状,且左岸的总沉降量显著大于右岸,与实际监测数据相符。同时,最凹陷处位于有铺设1 m左右的水泥改性土处。可以观察到,设有水泥改性土位置两侧的渠坡总沉降量均为负值。这一现象的出现是由于该处的土壤为经过水泥改性的区域,而周围土壤则为未经改性的膨胀土和渠基土。这就导致在长期雨水浸润和渠道水入渗的作用下,未经改性的土壤发生了膨胀,出现了沉降现象。

Figure 4. Settlement and deformation diagram of the surface cross-section

4. 地表横截面沉降变形图

Figure 5. Plot of deformation change with depth at the highest settlement point

5. 沉降最高点的变形量随深度变化图

图5可知,在渠坡顶部沉降变形最大,且越深处总沉降量越小,且随时间的推移,沉降量整体增大。观察渠坡1~13 m的渠坡膨胀土处可以发现,在荷载初期,也就是渠坡完工正式运行初期,在渠坡自重的影响下,渠坡整体呈现有规律沉降的趋势,但在Stage 27 = 5 y至Stage 28 = 5.25 y时总沉降量突增,直至Stage 29 = 5.5 y时,即曲线为亮红色处,渠坡总沉降量出现第一个高峰值,在Stage 30 = 6 y到Stage 36 = 7.25 y阶段,渠坡总沉降量首先出现大幅度回弹,后又缓慢回弹,直至Stage 37 = 7.5 y时沉降量增加,至Stage 39 = 7.75 y时,沉降量达至最大,后有小幅度回弹。

根据监测数据绘制模拟段沉降变形最大处,即左岸渠顶自2015年以来至2025年渠堤沉降变化情况;提取Settle3D模拟的左岸渠顶所得数据,绘制与监测对应的沉降随时间变化图,如图6所示。

Figure 6. Plot of settlement over time

6. 沉降量随时间变化图

通过对比监测中各阶段沉降量,证实监测与模拟的一致性。在模拟时发现,在5 y至5.5 y期间,渠坡经历流速大约为40 m3/y的排水过程,排水后造成渠堤土内部结构重构。例如,排水区土体因孔隙水排除,同时受周围压力的情况下,土样整体被压缩,而因渠道水位增加,水入渗坡体内部土壤中,造成膨胀土吸水膨胀,土质变得松软,从而在上覆荷载的作用下,土体被整体压缩,从而造成大幅度下降。结合实际工程分析,在各渠段土体裂隙发育程度具有差异性,因此,在经历脱湿–开裂–收缩–沉降的变形时,会出现整体不均匀沉降的情况。在历经多次干湿循环后,渠基土和渠坡膨胀土因发育出裂隙,整体结构严重破坏,土体抗剪强度将大大减小,稳定性降低,抵抗上覆荷载的能力将会大大减弱,沉降变形将会更加明显。

据此,分析土体在第五年上半年发生沉降原因,是由于渠坡从完工开运至此,反复经历干湿循环后,渠坡内部可能有裂隙产生,导致当天气温度升高,再次脱湿时,土样裂隙率达至最大,且具有整体收缩趋势,从而造成渠坡整体突然沉降。

3.2. 不同工况下渠坡沉降变形模拟

3.2.1. 模拟方案

基于监测数据可知,地下水位升降和渠道水位升降对渠坡沉降变形影响较大,为探究其主次因素模拟分以下三种工况进行:

1) 考虑自重、不考虑排水,渠道水位为正常水位8.5 m时的沉降变化规律,以2021~2025年为例,模拟得出渠坡堤顶2021~2025年沉降变化趋势,并区分渠堤和渠基在此种工况下的沉降变化情况。

2) 考虑自重、不考虑排水,渠道水位大幅度升降。分别模拟渠道水位在0 m、1 m、3 m、5 m、7 m、9 m时的沉降变化情况,得出2021~2025年渠坡堤顶总沉降变形量,并区分渠堤和渠基在此种工况下的沉降变化情况。

3) 考虑自重、排水,渠道水位为大幅升降时的沉降变化规律,在模拟中加入排水条件。模拟渠道水位在0 m、1 m、3 m、5 m、7 m、9 m时的沉降变化情况,得出2021~2025年渠坡堤顶总沉降变形量,并区分渠堤和渠基在此种工况下的沉降变化情况。

3.2.2. 模拟结果分析

1) 考虑自重、不考虑排水,渠道水位为正常水位

Figure 7. Settlement deformation curve of normal water level of channel water level, considering dead weight and without drainage

7. 考虑自重、不考虑排水,渠道水位为正常水位的沉降变形曲线

在模拟时考虑自重、不考虑排水,渠道水位为正常水位8.5 m时发现,自2015年通水以来,渠坡堤顶总体沉降随时间越来越大,在通水前期沉降速率较大,随时间推移沉降速率变缓。以2021~2025年为例,从图7可以看出,2021~2025年沉降量与时间呈线性关系,渠坡堤顶总沉降变形量为53.3 mm (图7(a)),渠堤总沉降变形为18.9 mm (图7(b)),渠基总沉降变形为34.4 mm (图7(c))。由模拟得到的沉降变形云图,以渠坡堤顶为例,如图8所示,在2024年沉降变形的基础上,2025年渠坡堤顶沉降变形量为10.61 mm。同理计算得出:2024~2025年渠堤沉降变形为4.1 mm,渠基沉降变形为6.51 mm。

2024年 2025年

Figure 8. Considering dead weight, no drainage, normal water level of channel water level 2024~2025

8. 考虑自重、不考虑排水,2024~2025年渠道水位为正常水位的堤顶沉降变形云图

2) 考虑自重、不考虑排水,渠道水位大幅度升降

在考虑自重、不考虑排水的情况下,模拟渠道水位升降时的沉降变化规律。由图9(a)可知,当渠道水位为0 m时,2021~2025年堤顶总沉降变形量较小,随渠道水位增加,沉降变形越来越大。同时,随渠道水位的增高,沉降速率逐渐减小,沉降变形量呈对数函数式增长。由图9(b)可知,渠堤沉降变形与渠道水位呈线性关系,渠堤沉降变形量随渠道水位的升高而增大,当渠道水位由0 m升高至9 m时,渠堤总沉降变形差值为6.55 mm,即渠道水位变化对渠堤沉降速率影响相对较小。由图9(c)可知,渠基沉降变形随渠道水位升高而增大,当渠道水位由0 m升高至9 m时,渠基总沉降变形差值为27.41 mm,即渠道水位加高时渠基沉降变形速率较大。对比渠堤和渠基沉降变形可知,渠基沉降变形占总体沉降变形较多。

Figure 9. Settlement deformation curve of the channel due to changes in water level, considering self-weight but neglecting drainage

9. 考虑自重、不考虑排水,渠道水位升降的沉降变形曲线

3) 考虑自重、排水,渠水位大幅升降

模拟考虑自重、排水,渠道水位大幅升降时发现,在排水条件下,渠道水位的升降对渠坡整体沉降变形相较于不排水时更大。由图3~7可知,渠坡堤顶、渠堤和渠基沉降量均随渠道水位的升高而增大,但对比图10(b)图10(c)发现,渠堤变形速率小于渠基沉降变形速率。

图10(a)可知,当渠道水位为0 m时,2021~2025年渠坡堤顶总沉降变形量较小,随渠道水位增加,沉降变形越来越大。当渠道水位由0 m升高至9 m时,渠堤2021~2025年总沉降变形差值为45.2 mm。且随渠道水位的增高,沉降速率逐渐减小,沉降变形量呈对数函数式增长。

图10(b)可知,渠堤沉降变形与渠道水位呈线性关系,渠堤沉降变形量随渠道水位的升高而增大,当渠道水位由0 m升高至9 m时,渠堤2021~2025年总沉降变形差值为10.33 mm,即渠道水位变化对渠堤沉降速率影响相对较小。

Figure 10. Considering self-weight, drainage, and significant fluctuations in canal water level, the settlement deformation curve is obtained.

10. 考虑自重、排水,渠水位大幅升降的沉降变形曲线

图10(c)可知,渠基沉降变形随渠道水位升高而增大,当渠道水位由0 m升高至9 m时,渠基2021~2025年总沉降变形差值为34.87 mm,即渠道水位加高时渠基沉降变形速率较大。对比渠堤和渠基沉降变形可知,渠基沉降变形占总体沉降变形较多。

4. 结语

在深入的研究中,我们利用了现场监测数据,并采用了先进的Settle3D软件来构建一个精确的模型,该模型充分考虑到了渠堤自身重量、周围环境的负荷以及地下水位的升降变化等多种因素。通过这个模型,我们能够对比和分析在不同的操作条件下,渠坡的沉降趋势是如何发展的。在本文所涉及的南水北调工程案例中,我们重点关注了渠坡沉降变形的根本原因,发现当渠坡内的含水量发生大幅变化时,土体将会发生显著的变形。这种变化主要是由于降雨和高温天气导致的渠堤内含水量的急剧减少,进而引起地下水的升降和渠道水位的相应变化。这些因素共同作用于渠坡内部,使得其出现大幅度的沉降变形和不均匀沉降现象。

通过将室内试验结果与Settle3D的模拟数据相结合,揭示了这一复杂过程背后的更深层次原因。膨胀土作为一种特殊的土壤类型,其吸水膨胀特性非常明显,但当水分蒸发后,它又会发生收缩并开裂,这种独特的物理性质在渠堤沉降变形中起着关键作用。因此,我们可以看到,当渠堤面临诸如降雨和高温等极端天气条件时,其稳定性受到严重挑战。为了更好地理解这一现象,我们还对渠堤结构进行了详细的调查,包括地质构造、材料特性和施工工艺等方面。所有这些因素都可能影响到渠堤的稳定性,而本研究的目的就是要找到最合适的方法来预防和减轻由此产生的损害。

在研究过程中发现,膨胀土的变形主要由含水率变化引起的体积收缩(失水)和膨胀(吸水)主导,Settle3D软件缺乏专门描述“含水率–吸力–体积应变”关系的核心本构模型。且该软件的参数体系主要适用于饱和土或常规非饱和土在荷载下的变形行为,未提供膨胀土胀缩变形相关参数,需要结合室内试验综合分析。

通过上述的分析和探讨,我们得出结论,南水北调工程中渠坡沉降变形的主要原因在于土体含水量的剧烈波动、地下水的周期性变化以及渠道水位的大幅调整。这些因素相互交织,共同作用于渠坡,导致其发生变形甚至破坏。因此,采取有效措施来控制这些因素的影响至关重要,比如优化渠堤土的组成比例、加强排水系统以减少水分流失、提高渠堤结构的抗风化能力。通过这些策略,我们有望实现工程安全与经济高效运行的双重目标。

参考文献

[1] 王春林, 高贵全. 膨胀土研究进展[J]. 云南农业大学学报: 自然科学版, 2008, 23(6): 856-859.
[2] 吴广水, 王书齐, 祝婷梅, 等. 初始含水率和干密度对膨胀土膨胀力影响的试验研究[J]. 河南工程学院学报(自然科学版), 2023, 35(4): 29-32+50.
[3] Julina, M. and Thyagaraj, T. (2018) Quantification of Desiccation Cracks Using X-Ray Tomography for Tracing Shrinkage Path of Compacted Expansive Soil. Acta Geotechnica, 14, 35-56. [Google Scholar] [CrossRef
[4] Tan, B., Pan, Z.A., Xu, L. and Wang, J. (2024) Laboratory Investigation of Lateral Swelling Pressure of Nanning Grey-White Expansive Soil. Soil Mechanics and Foundation Engineering, 60, 521-527. [Google Scholar] [CrossRef
[5] Dai, Z., Guo, J., Luo, H., Li, J. and Chen, S. (2020) Strength Characteristics and Slope Stability Analysis of Expansive Soil with Filled Fissures. Applied Sciences, 10, Article No. 4616. [Google Scholar] [CrossRef
[6] Li, Z., Hu, J., Zhang, X., Zheng, W., Wu, W., Chen, Y., et al. (2023) Characterization of Elastoplastic Behavior and Retrieval of Active Zone Depth for Expansive Soil Slopes in the Middle-Route Channel Head of the South-to-North Water Diversion Project, China, Using InSAR Time Series. Remote Sensing of Environment, 295, Article ID: 113666. [Google Scholar] [CrossRef
[7] 张志军, 张俊然, 何芳婵, 等. Settle3D软件在黄土公路路基变形分析中的应用[J]. 水利与建筑工程学报, 2021, 19(2): 89-93.
[8] 史颜玲, 霍继炜, 张俊然, 等. Settle3D软件在半填半挖黄土路基变形分析中的应用[J]. 中国安全生产科学技术, 2020, 16(11): 89-95.
[9] 熊潭清. 排水带加速黄土路基固结沉降的数值模拟研究[J]. 河南科技, 2023, 42(6): 53-57.
[10] 韦秉旭, 易垒, 李金明, 等. 降雨入渗-膨胀土-刚柔复合挡墙数值模拟[J]. 交通科学与工程, 2023, 39(3): 38-45.
[11] 熊子超. 膨胀土岸坡稳定性模型试验和数值模拟研究[D]: [硕士学位论文]. 南昌: 南昌大学, 2021.
[12] Chen, C., Liu, J. and Gong, J. (2021) Analysis of Swelling Shrinkage Cracks Development Effects in Improved Expansive Soil Using Image Processing Technology. In: Sustainable Civil Infrastructures, Springer International Publishing, 31-39. [Google Scholar] [CrossRef
[13] Tang, C.-S., Wang, D.-Y., Shi, B., et al. (2013) Quantitative Analysis of Soil Desiccation Crack Network. Chinese Journal of Geotechnical Engineering, 35, 2298-2305.
[14] 郭从洁. 季冻区膨胀土边坡变形机理试验与模拟研究[D]: [硕士学位论文]. 青岛: 青岛理工大学, 2021.
[15] 任浩, 张紫怡, 党芳, 等. 聚丙烯纤维加固膨胀土边坡稳定性分析[J]. 岩土工程技术, 2024, 38(1): 90-94.