早期胃癌内镜黏膜下剥离术后非治愈性切除的危险因素
Risk Factors of Non-Curative Resection after Endoscopic Submucosal Dissection for Early Gastric Cancer
DOI: 10.12677/acm.2026.161313, PDF, HTML, XML,   
作者: 刘育池:青岛大学青岛医学院,山东 青岛;张 波, 黄留业*:青岛大学附属烟台毓璜顶医院消化内科,山东 烟台
关键词: 早期胃癌内镜黏膜下剥离术非治愈性切除危险因素预测模型Early Gastric Cancer Endoscopic Submucosal Dissection Noncurative Resection Risk Factors Prediction Model
摘要: 目的:探讨早期胃癌(Early Gastric Cancer, EGC)患者行内镜黏膜下剥离术(Endoscopic Submucosal Dissection, ESD)后非治愈性切除的危险因素,并构建术前预测模型。方法:回顾性分析2020年1月1日至2024年1月1日于烟台毓璜顶医院行ESD治疗且病理确诊为EGC的302例患者的临床资料。根据术后病理结果将患者分为治愈性切除组(Curative Resection, CR)和非治愈性切除(Non-curative Resection, NCR)组。对比分析两组患者的临床特征、内镜下表现、肿瘤病理特征及8项炎症营养指标,采用单因素和多因素Logistic回归分析筛选NCR的独立危险因素,并基于术前可获取的变量构建预测模型。结果:302例患者中,NCR组55例(18.2%)。单因素分析显示,年龄、肿瘤大小、肿瘤部位、分化程度、浸润深度、溃疡、黏膜红斑、萎缩与NCR相关(P < 0.05)。多因素分析证实,肿瘤大小(OR = 1.729, P < 0.001)、溃疡(OR = 7.379, P < 0.001)、黏膜红斑(OR = 3.624, P < 0.001)和萎缩(OR = 0.162, P < 0.001)是NCR的独立危险因素。预后营养指数(Prognostic Nutritional Index, PNI)、淋巴细胞/单核细胞比值(Lymphocyte-to-Monocyte Ratio, LMR)和中性粒细胞/淋巴细胞比值(Neutrophil-to-Lymphocyte Ratio, NLR)等炎症营养指标与NCR无显著相关性。基于年龄、肿瘤大小、肿瘤部位、溃疡、黏膜红斑、萎缩构建的诺莫图预测NCR的AUC为0.853,内部验证校准曲线显示模型具有良好的准确性与区分度。结论:肿瘤大小、溃疡、黏膜红斑和萎缩早期胃癌ESD术后NCR的独立危险因素。基于术前临床及内镜特征构建的诺莫图对NCR具有良好的预测效能,有助于术前识别高风险患者并指导个体化治疗决策。
Abstract: Objective: To investigate the risk factors for noncurative resection (NCR) after endoscopic submucosal dissection (ESD) in patients with early gastric cancer (EGC) and to develop a preoperative prediction model. Methods: A retrospective analysis was conducted on 302 EGC patients who underwent ESD at Yantai Yuhuangding Hospital between January 1, 2020, and January 1, 2024. Patients were divided into curative resection (CR) and non-curative resection (NCR) groups on the basis of postoperative pathology. Clinical characteristics, endoscopic findings, tumor pathological features, and eight inflammatory/nutritional indicators were compared between the groups. Univariate and multivariate logistic regression analyses were used to identify independent risk factors for NCR. A predictive nomogram was constructed using preoperative variables. Results: Among the 302 patients, 55 (18.2%) were in the NCR group. Univariate analysis revealed that age, tumor size, tumor location, differentiation degree, depth of invasion, ulceration, mucosal redness, and atrophy were associated with NCR (P < 0.05). Multivariate analysis confirmed that tumor size (OR = 1.729, P < 0.001), ulceration (OR = 7.379, P < 0.001), mucosal redness (OR = 3.624, P < 0.001), and atrophy (OR = 0.162, P < 0.001) were independent risk factors for NCR. Inflammatory/nutritional indices, such as the prognostic nutritional index (PNI), lymphocyte-to-monocyte ratio (LMR) and neutrophil-to-lymphocyte ratio (NLR), were not significantly correlated with the NCR. The nomogram constructed on the basis of age, tumor size, tumor location, ulceration, mucosal redness, and atrophy achieved an AUC of 0.853 for predicting NCR. Internal validation via bootstrap resampling revealed good calibration and discrimination. Conclusion: Tumor size, ulceration, mucosal redness, and atrophy are independent risk factors for NCR after ESD for EGC. The preoperative nomogram based on clinical and endoscopic features demonstrated good predictive performance for NCR, which can assist in identifying high-risk patients preoperatively and guiding individualized treatment strategies.
文章引用:刘育池, 张波, 黄留业. 早期胃癌内镜黏膜下剥离术后非治愈性切除的危险因素[J]. 临床医学进展, 2026, 16(1): 2515-2526. https://doi.org/10.12677/acm.2026.161313

1. 引言

胃癌是全球及我国常见的恶性肿瘤之一,其发病率和死亡率均位于恶性肿瘤的前列[1]-[3]。近年来,早期胃癌(Early Gastric Cancer, EGC)检出率逐步提升[4]。内镜黏膜下剥离术(Endoscopic Submucosal Dissection, ESD)自20世纪90年代发展至今,已成为早期胃癌的重要治疗手段,具有创伤小、恢复快、保留胃功能等优势,国内外指南也明确了其标准地位[5] [6]。然而,ESD术后存在非治愈性切除(Non-curative Resection, NCR)情况,如切缘阳性、肿瘤残留、淋巴结转移等,发生率约为5%~20%,存在较高的复发和转移风险,并且部分患者需追加外科手术[6]。为了进一步减少NCR并给早期胃癌患者提供更适合的治疗方案,建立一个可靠明了的早期胃癌ESD术后NCR的预测模型,预测NCR的发生对优化治疗方案、减少医疗负担等方面具有重要意义。

在目前的研究中,慢性炎症反应已被证实是肿瘤发生、演进过程中的核心病理生理环节。在肿瘤微环境中,炎性介质与免疫细胞通过多重交互机制,持续推动癌细胞增殖、免疫逃逸及远处转移等恶性生物学行为[7]-[9]。近年来,外周血衍生的各类炎症或营养状态标志物因其便捷、客观且可动态监测的优势获得广泛关注。预后营养指数(Prognostic Nutritional Index, PNI)通过血清白蛋白与淋巴细胞计数综合评估机体营养储备与免疫防御能力。已有研究证实PNI在胃癌预后评估中存在价值,术前较低的PNI水平与胃癌患者总体生存期的缩短存在显著相关性[10]。此外,有研究关注到低淋巴细胞/单核细胞比值(Lymphocyte-to-Monocyte Ratio, LMR)在可切除胃癌中预示不良结局[11]。中性粒细胞/淋巴细胞比值(Neutrophil-to-Lymphocyte Ratio, NLR)也被认为对胃癌的预后具有预测价值[12]。血小板/淋巴细胞比值(Platelet-to-Lymphocyte Ratio, PLR)作为血栓–炎症交互作用的量化指标,其异常升高同样与胃癌进展密切相关[13]。血小板相关参数中,血小板分布宽度(Platelet Distribution Width, PDW)升高与胃癌不良预后存在关联[14]。但平均血小板体积(Mean Platelet Volume, MPV)在胃癌中的预后价值尚存争议。系统免疫炎症指数(Systemic Immune-Inflammation Index, SII)通过血小板 × 中性粒细胞/淋巴细胞的三重交互,在进展期胃癌预后评估中显示出优于单指标的判别能力[15]。系统性炎症反应指数(Systemic Inflammation Response Index, SIRI)则整合中性粒细胞与单核细胞双重促炎成分,其预测价值在消化道肿瘤中逐步得到认可[16]

尽管上述标志物已经出现在许多在进展期胃癌根治术后预后研究中,但其在早期胃癌ESD术后NCR的预测中的应用仍属探索阶段。鉴于此,本研究通过回顾性队列研究,系统评估PNI等8项炎症营养指标、年龄等基础信息、溃疡等内镜下所见和浸润深度等病理报告内容与早期胃癌ESD术后NCR的关系,探讨早期胃癌ESD术后NCR的危险因素,识别独立危险因素,建立预测模型,旨在优化ESD手术适应证、提高治愈性切除率,降低复发风险、改善患者长期生存率,同时丰富早期胃癌ESD术后风险评估理论体系。

2. 临床资料与方法

2.1. 研究对象

本研究回顾性收集2020年1月1日至2024年1月1日于烟台毓璜顶医院行ESD治疗且病理确诊为EGC的患者。纳入标准:① 接受了胃ESD术;② 术后病理结果均证实为EGC;③ 术前无放疗、化疗以及其他免疫治疗史;④ 具备完整的病理与临床资料。排除标准:① 既往合并其他恶性肿瘤病史;② 既往有胃癌ESD手术史、因胃良恶性肿瘤行胃切除术或残胃癌;③ 术前合并其他重大疾病;④ 资料缺失或不完整。所有入选患者胃癌的TNM分期依照第八版AJCC/UICC分期标准。本研究中病理学分型参照日本《胃癌处理公约》。本研究符合赫尔辛基宣言中的伦理要求,并通过青岛大学附属烟台毓璜顶医院伦理委员会审批标准(伦理号:2025-884)。

2.2. ESD手术适应证

根据日本胃癌学会的第6版《胃癌治疗指南》[17]以及我国的《胃癌临床诊疗指南(2021年)》[18],早期胃癌ESD的绝对适应证包括:① 病变局限于黏膜层、无溃疡的分化型癌;② 病变局限于黏膜层、有溃疡、大小 ≤ 30 mm。扩大适应证指符合以下条件的病灶:局限于黏膜层,无溃疡,≤20 mm的未分化型癌。不满足绝对适应证及扩大适应证的病变则属于ESD的相对适应证,因具有较高的淋巴结转移风险,该类患者的标准治疗手段为外科手术。但若患者存在较高的手术风险或拒绝手术,也可在充分了解ESD术后淋巴结转移风险、病变残余可能的情况下,签署ESD治疗同意书,接受ESD治疗。本研究包含了符合ESD三类适应证的早期胃癌患者。

2.3. ESD操作流程

ESD标准手术操作流程主要包含:标记病变周围,进行黏膜下注射以抬高病变,围绕标记进行环形切开,进行黏膜下剥离分离病变与固有肌层,完全剥离病变,处理裸露血管并夹闭创面,回收病变标本送病理。全部ESD均由我院经验丰富的高年资内镜医师完成。标本离体后均在有效时间内完成病理切片和染色,病理报告均由我院至少两位病理科医师阅片签发。

2.4. 临床资料收集内容

应用我院电子病历平台收集以下相关数据:身高、体重、年龄、性别、住院时间、内镜检查报告(肿瘤部位、肿瘤大小、大体类型、萎缩、肠化、黏膜红斑、溃疡、覆盖白苔、自发性出血等)、病理报告(肿瘤浸润深度、淋巴管侵犯、脉管癌栓、神经侵犯、水平切缘、垂直切缘、组织学类型、肿瘤分化程度等)、检验报告(中性粒细胞、淋巴细胞、单核细胞、血清白蛋白、血小板、血小板分布宽度、平均血小板体积等)等。所有血常规及生化指标均取患者ESD术前1周内最近一次检测结果。

2.5. 各炎症营养指标定义

(1) 预后营养指数,计算公式为PNI = 血清白蛋白(g/L) + 5 × 外周血淋巴细胞计数(×109/L);

(2) 淋巴细胞/单核细胞比值,计算公式为LMR = 外周血淋巴细胞绝对值 ÷ 单核细胞绝对值;

(3) 血小板分布宽度,直接读取血常规检测参数,反映血小板体积异质性;

(4) 平均血小板体积,直接读取血常规检测参数,代表血小板平均大小;

(5) 系统免疫炎症指数,计算公式为SII = 血小板计数 × 中性粒细胞计数 ÷ 淋巴细胞计数;

(6) 中性粒细胞/淋巴细胞比值,计算公式为NLR = 中性粒细胞绝对值 ÷ 淋巴细胞绝对值;

(7) 血小板/淋巴细胞比值,计算公式为PLR = 血小板绝对值 ÷ 淋巴细胞绝对值;

(8) 系统性炎症反应指数,计算公式为SIRI = 中性粒细胞计数 × 单核细胞计数 ÷ 淋巴细胞计数。

2.6. 统计学方法

连续变量以平均值 ± 标准差表示,分类变量则以含百分比的数字表示。利用卡方检验、t检验进行单因素分析。将相关因素进行二元Logistic回归分析,最终用OR值及95% CI表示所得结果,P < 0.05表示差异有统计学意义。并使用单因素分析中的危险因素,构建用于预测患者NCR风险的诺模图。使用校准曲线来评估该模型的准确性以及区分能力,使用AUC检验该模型对NCR的诊断能力。AUC通过对该预测模型绘制ROC曲线获得。使用Bootstrap方法自抽样1000次生成的校准曲线,通过对比实际预测曲线与理想预测曲线之间一致性,来确定该诺莫图的准确性与区分度。P < 0.05的变量被认为具有统计学意义。所有数据的计算均使用SPSS 26.0完成,诺莫图的构建与验证皆使用R语言完成。

3. 结果

3.1. 早期胃癌患者基本资料

根据本研究的纳排标准,共纳入302例早期胃癌病例。其中男性201例(66.5%),女性101例(33.4%),性别比约为2:1,患者年龄范围36~88岁,平均年龄为64.69岁。依据术后病理结果将所有病例分为NCR组和CR组,NCR组共55例,NCR组男性39例(70.9%),女性16例(29.1%),平均年龄为67.02岁;CR组共247例,CR组男性162例(65.5%),女性85例(34.5%),平均年龄为64.17岁。NCR患者均为整块切除(如图1)。

Figure 1. Distribution of CR and NCR groups and gender distribution in each group

1. CR、NCR两组占比以及各组性别分布情况

3.2. 非治愈性切除组与治愈性切除组间临床特征差异

表1图2所示,非治愈性切除组与治愈性切除组间在年龄、肿瘤大小、肿瘤部位、分化程度、浸润深度、溃疡、黏膜红斑、萎缩等因素上存在显著差异。而两组在性别、大体分型、肠化、覆盖白苔、自发性出血、PNI、LMR、PDW、MPV、SII、NLR、PLR、SIRI上无统计学差异。

Table 1. Single factor analysis of risk factors associated with non-curative resection after early gastric cancer ESD

1. 早期胃癌ESD术后非治愈性切除相关风险因素单因素分析

参数

总数

治愈性切除

非治愈性切除

P

萎缩

236

209

27

<0.001

黏膜红斑

60

35

25

<0.001

肿瘤大小

1.92 ± 0.97

2.75 ± 1.36

<0.001

浸润深度

黏膜层

292

245

47

<0.001

黏膜下层

10

2

8

溃疡

19

10

9

0.002

分化程度

高级别上皮内瘤变

178

157

21

0.004

高分化腺癌

55

40

15

中分化腺癌

66

48

18

低分化腺癌

3

2

1

肿瘤位置

胃上1/3

18

12

6

0.008

胃中1/3

81

60

21

胃下1/3

203

175

28

年龄

64.17 ± 8.7

67.02 ± 7.45

0.02

肠化

107

81

26

0.06

大体分型

隆起

169

132

37

0.08

平坦

25

24

1

凹陷

17

13

4

混合

91

78

13

MPV

10.11 ± 5.76

9.91 ± 0.79

0.24

PNI

49.47 ± 7.87

48.44 ± 4.67

0.28

PLR

141.71 ± 58.67

147.25 ± 55.97

0.42

SIRI

0.92 ± 0.73

0.85 ± 0.63

0.42

SII

492.38 ± 327.33

447.53 ± 230.62

0.47

性别

男性

201

162

39

0.55

女性

101

85

16

PDW

12.97 ± 16.61

11.74 ± 2.28

0.76

NLR

2.26 ± 1.6

2.21 ± 1.3

0.81

LMR

4.67 ± 3.23

4.54 ± 1.93

0.94

白苔

21

17

4

1.00

自发性出血

11

9

2

1.00

Figure 2. P-values of single-factor analysis for factors with differences between the non-curative resection group and the cure resection group

2. 非治愈性切除组与治愈性切除组存在差异的因素的单因素分析P值

3.3. 早期胃癌ESD术后非治愈性切除的危险因素

将单因素分析中年龄、肿瘤大小、肿瘤部位、分化程度、浸润深度、溃疡、病变发红、萎缩等存在统计学差异的指标纳入二元Logistic回归分析,以进一步明确NCR的独立危险因素。如表2所示,肿瘤大小、溃疡、黏膜红斑、萎缩是NCR的独立危险因素。随着这些独立风险因素数量的增加,ESD术后NCR的发生率也随之提高。

Table 2. Multivariate analysis of non-curative resection after EDS in early gastric cancer

2. 早期胃癌EDS术后非治愈性切除的多因素分析

参数

OR

95%置信区间

P

萎缩

0.162

0.001~0.272

<0.001

黏膜红斑

3.624

0.076~0.341

<0.001

溃疡

7.379

2.305~23.944

<0.001

肿瘤位置

胃中1/3

1.036

0.278~4.252

0.9593

胃下1/3

0.494

0.141~1.904

0.283

年龄

1.041

0.998~1.088

0.0647

肿瘤大小

1.729

1.297~2.342

<0.001

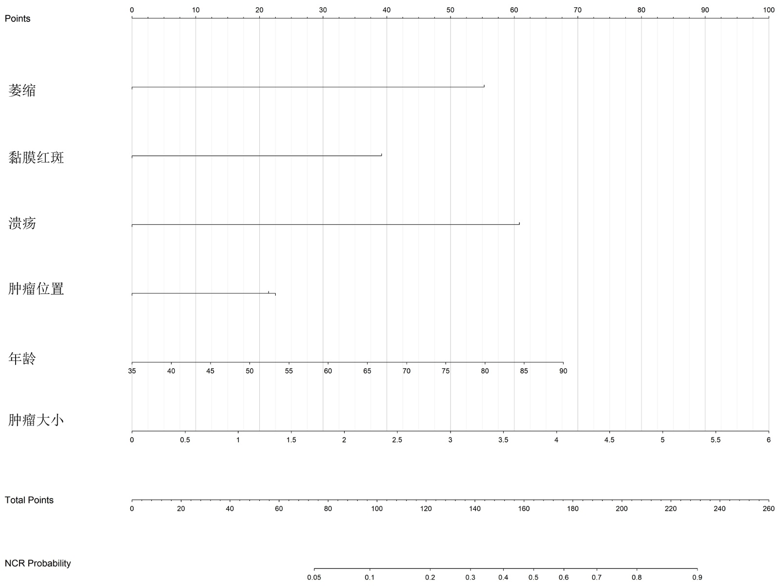
3.4. 非治愈性切除诺莫图的构建与验证

Figure 3. Predictive model for non-curative resection based on risk factors identified by single-factor analysis

3. 基于单因素分析中的危险因素构建的非治愈性切除的预测模型

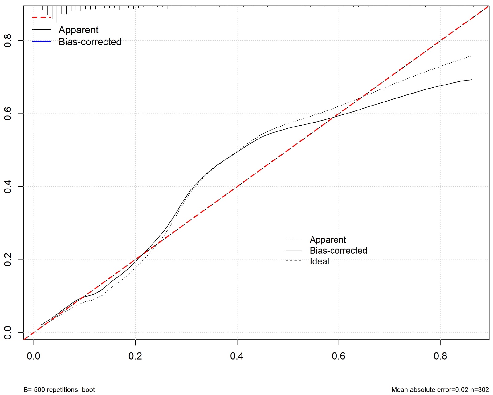
使用以上单因素分析中证实的危险因素,并排除只能通过术后病理报告获取的浸润深度和分化程度,将萎缩、黏膜红斑、溃疡、肿瘤位置、年龄及肿瘤大小纳入考虑,构建预测评估早期胃癌患者NCR风险的诺莫图。如图3所示,图中每个变量都被分配了从0到100的分数,将某患者这6个变量对应的分数相加,就可以计算出该患者的总分数,然后选取总分数栏上相对应的坐标点,向下作垂线,垂线与“NCR可能性”一栏相交所获得的坐标的数值即为患者ESD术后发生NCR的风险。使用Bootstrap方法自抽样1000次对诺莫图进行内部验证,生成的实际校准曲线如图4所示。该曲线与偏倚校准曲线之间有着较高的一致性,提示该模型具备良好的准确性与区分度。利用该诺莫图绘制预测早期胃癌ESD术后NCR的ROC曲线如图5所示,所得曲线的AUC (95% CI)为0.853,提示该诺莫图对早期胃癌患者的非治愈性切除具有较好的预测价值。

Figure 4. Calibration curve for internal validation of Nomogram

4. 诺莫图内部验证的校准曲线

Figure 5. ROC curve of Nomogram for predicting non-curative resection

5. 诺莫图预测非治愈性切除的ROC曲线

4. 讨论

早期胃癌作为胃癌发展过程中的初始阶段,其诊治方案的选择直接关系到患者的长期生存与生活质量。ESD因其微创、保留胃功能及高整块切除率等优势,已成为早期胃癌的首选治疗方式之一[19] [20]。然而,ESD术后NCR的存在,仍是临床实践中不可忽视的重要问题。NCR不仅与局部复发和淋巴结转移风险增加密切相关,还可能导致患者需接受追加外科手术[21],从而加重身心负担与经济压力。因此,系统识别NCR的危险因素,并构建有效的预测模型,对于优化治疗决策、提高治愈性切除率具有重大意义。本研究通过回顾性分析302例行ESD治疗的早期胃癌患者,旨在全面探讨NCR的相关危险因素,并建立可用于临床术前风险评估的预测模型。

本研究结果显示,在炎症与营养指标方面,包括预后营养指数、淋巴细胞/单核细胞比值、中性粒细胞/淋巴细胞比值、血小板/淋巴细胞比值、系统免疫炎症指数、系统性炎症反应指数、血小板分布宽度及平均血小板体积在内的八项指标,在单因素分析中均未显示出与NCR的显著相关性。近年来,大量研究致力于探索系统性炎症与营养状态在肿瘤发生、发展及预后评估中的作用。例如,宋书彬等[22]与刘燕燕等[23]的研究均证实,术前PNI低水平是进展期胃癌患者术后生存的危险因素。Jing等人[24]对早期胃癌根治性胃切除术预后的研究也发现高SII、低PNI往往意味着相对低的5年无病生存率和总生存率。类似地,Pan等[25]与Szor等[12]认为LMR与NLR在胃癌预后评估中的重要价值,低LMR与高NLR与胃癌患者的生存率差存在相关性,且LMR能独立预测行根治性胃癌切除术患者的预后。本研究队列中,NCR组与CR组各项炎症指标均值均处于正常或轻度波动范围内,显著低于文献报道的进展期胃癌患者水平(如进展期胃癌患者NLR通常>3.0,PNI常<45)。这些指标在进展期胃癌中表现出良好的预测效能,可能源于肿瘤进展过程中所伴随的全身性炎症反应激活、营养状况恶化及免疫微环境失衡。在进展期胃癌中,肿瘤负荷较大,局部浸润深,常伴有明显的系统性炎症状态,炎症细胞及介质通过促进血管生成、抑制凋亡及上皮–间质转化等多重机制,推动疾病进展[26]。然而,本研究聚焦于早期胃癌,其肿瘤生物学行为与进展期存在一定差异。早期胃癌病变多局限于黏膜或黏膜下层,尤其是符合ESD适应证的早期胃癌,其较进展期胃癌或需要行外科手术的早期胃癌肿瘤负荷更小,全身性炎症反应可能尚未被充分激活。这可能是相关指标在本研究中与NCR不存在显著相关性但在进展期胃癌预后相关研究中存在预测价值的原因。这提示,在早期胃癌的ESD决策中或许应更加关注肿瘤本身的内镜下表现。

在患者内镜所见方面,本研究通过多因素Logistic回归分析明确,肿瘤大小、溃疡存在、黏膜红斑及胃黏膜萎缩是NCR的独立危险因素。这些发现进一步印证了其他中心的研究结果。Oyokawa等[27]在一项纳入1123例胃早癌及癌前病变的研究中指出,肿瘤大小超过2cm及溃疡存在是预测NCR的显著危险因素。这与Eun等人[28]的研究结果也相似。Lee等[29]在韩国进行的一项多中心研究也强调了较大的肿瘤大小和伴有溃疡在ESD治疗中的挑战性。黏膜红斑作为黏膜炎症或微血管密度增加的内镜下表现,可能反映了肿瘤区域的活跃增生或微环境改变,本研究证实其与NCR风险增加独立相关。Ohno等人[30]的研究也显示胃癌患者黏膜弥漫性发红更明显,地图状发红的发生率也显著更高。胃黏膜萎缩作为慢性胃炎发展的后期阶段,是胃癌发生的背景条件,其存在可能提示胃内环境不稳定及多灶性病变风险,本研究中萎缩与NCR的强关联性与周璇等[31]的国内研究结果一致。

在年龄与肿瘤部位等方面,本研究的结果与部分既往研究存在一定差异。例如,本研究中年龄在单因素分析中显示与NCR相关,但在多因素模型中未成为独立危险因素。这一现象可能与本研究样本的年龄分布特征,或年龄与萎缩等变量之间存在共线性或交互作用有关。在Ma等人[32]的研究中,高龄是独立危险因素。但与本研究类似,Guo等人[33]在多因素分析中发现年龄并非独立危险因素。这种差异可能反映了不同研究人群在年龄结构、合并症及手术适应症把握上的异质性。在肿瘤部位方面,本研究发现肿瘤部位在单因素分析中与NCR相关,但在多因素分析中显著性消失。而多项研究包括日本胃癌学会指南中均提及,胃上部尤其是贲门部病变,因操作难度大、解剖位置特殊,更易发生NCR [34] [35]。本研究结果提示,胃上部位置对NCR的影响,可能并非直接作用,而是通过与其他因素(如更易出现大型病变、溃疡或特定组织学类型)相关联而体现。这些不一致之处,或许揭示了不同地域、不同医疗中心、不同手术医师经验以及不同患者群体特征所带来的临床异质性,也凸显了在特定临床背景下开展本土化研究的必要性。

在预测模型的构建与验证方面,本研究基于术前即可获取的六个变量(年龄、肿瘤大小、肿瘤部位、溃疡、黏膜红斑、萎缩)建立了NCR风险预测诺莫图。该模型显示出优异的判别效能,ROC曲线下面积(AUC)达到0.853。目前也有许多研究者就早期胃癌ESD术后NCR建立了预测模型。Ma等[32]所构建的模型同样具有较高的预测价值(AUC 0.85),其模型中纳入了“年龄、性别、手术方式(EMR / ESD)、术后病理类型、肿瘤直径、溃疡和浸润深度”等变量。董娜等人[36]在近期发表的模型与此类似,其纳入了“病灶直径、病灶形态、组织学类型和黏膜下层浸润深度”作为变量。Guo等人的团队[33]在建立预测模型时则更注重于内镜特征。本模型更聚焦于术前评估价值,排除术后病理相关因素,全部基于术前临床与内镜资料进行预测评估,以期能更好地指导临床医生的决策选择。此外,本研究通过Bootstrap法进行1000次重抽样内部验证,生成的校准曲线显示预测概率与实际观察概率高度一致,证明了模型具有良好的校准度与稳健性。

尽管如此,本研究仍存在若干局限性。首先,本研究为单中心回顾性队列研究,尽管总样本量达302例,但NCR组仅55例(18.2%),样本量相对有限。这可能导致部分危险因素被低估或高估,影响模型系数的精确性和稳健性。此外,单中心数据在外部验证时往往面临可推广性挑战,不同中心的内镜医师操作水平、设备条件、患者人群特征(如HP感染率、萎缩性胃炎患病率)的差异可能显著影响模型表现。因此,本模型的结果需谨慎解读,其临床应用价值有待进一步验证。其次,本研究缺乏外部验证。本研究虽通过Bootstrap法进行了内部验证(AUC = 0.853),但内部验证易产生过度乐观的偏倚,无法真实反映模型在新患者群体中的表现。未来亟需开展多中心、大样本的前瞻性研究对本模型进行外部验证,明确其在不同地区、不同医疗环境下的适用性。第三,所有炎症营养指标均来源于术前单时间点的血液检测,未能动态观察其在围手术期的变化趋势,也无法探讨其与患者长期预后(如无复发生存期、总生存期)的关联。本研究也未纳入诸如循环肿瘤DNA (ctDNA)、肿瘤相关外泌体或特定microRNA等新型分子标志物、人工智能内镜影像分析等新兴指标,这些领域或许是未来实现更精准预测的重要方向。

5. 结论

综上所述,本研究通过系统性分析,明确了肿瘤大小、溃疡、黏膜红斑及胃黏膜萎缩是早期胃癌黏膜下剥离术后发生非治愈性切除的独立危险因素。本研究发现外周血炎症与营养指标对早期胃癌ESD术后NCR的预测价值有限,推测可能与早期肿瘤负荷较低、全身炎症反应未充分激活有关。基于术前变量(萎缩、黏膜红斑、溃疡、肿瘤位置、年龄及肿瘤大小)构建的预测诺莫图在本研究队列中展现出良好的区分度与校准度(AUC = 0.853),可作为识别NCR高风险患者的有潜力的筛选工具。然而,受限于单中心小样本设计且缺乏外部验证,该模型的临床应用价值尚需通过多中心、大样本的前瞻性研究进一步验证。未来研究应重点关注模型的外部验证、动态炎症指标监测以及联合新型分子标志物,以期开发出更具稳健性和泛化能力的早期胃癌ESD术前风险评估体系。

利益冲突

所有作者均声明本研究不存在利益冲突。

NOTES

*通讯作者。

参考文献

[1] Sung, H., Ferlay, J., Siegel, R.L., Laversanne, M., Soerjomataram, I., Jemal, A., et al. (2021) Global Cancer Statistics 2020: GLOBOCAN Estimates of Incidence and Mortality Worldwide for 36 Cancers in 185 Countries. CA: A Cancer Journal for Clinicians, 71, 209-249. [Google Scholar] [CrossRef] [PubMed]
[2] Bray, F., Ferlay, J., Soerjomataram, I., Siegel, R.L., Torre, L.A. and Jemal, A. (2018) Global Cancer Statistics 2018: GLOBOCAN Estimates of Incidence and Mortality Worldwide for 36 Cancers in 185 Countries. CA: A Cancer Journal for Clinicians, 68, 394-424. [Google Scholar] [CrossRef] [PubMed]
[3] 李茁钰, 刘凯, 张维汉, 等. 全球及中国胃癌的流行病学特点及趋势: 2018-2022《全球癌症统计报告》解读[J]. 中国普外基础与临床杂志, 2024, 31(10): 1236-1245.
[4] Wu, Y.C., Cai, Y.L., Rong, L., et al. (2020) Characteristics of Lymph Node Metastasis and Evaluating the Efficacy of Endoscopic Submucosal Dissection in Early Gastric Cancer. Journal of Peking University, 52, 1093-1097.
[5] 郑承超, 曾庆新, 彭如洁. 消化内镜黏膜下剥离术治疗早期胃癌的效果观察[J]. 中国卫生标准管理, 2024, 15(1): 119-122.
[6] Liu, J.M., Liang, L., Zhang, J.X., et al. (2023) Pathological Evaluation of Endoscopic Submucosal Dissection for Early Gastric Cancer and Precancerous Lesion in 411 Cases. Journal of Peking University, 55, 299-307.
[7] Bauer, A.T., Gorzelanny, C., Gebhardt, C., Pantel, K. and Schneider, S.W. (2022) Interplay between Coagulation and Inflammation in Cancer: Limitations and Therapeutic Opportunities. Cancer Treatment Reviews, 102, Article 102322. [Google Scholar] [CrossRef] [PubMed]
[8] 李启松, 崔玉宝. 炎症促进肿瘤发生发展的研究进展[J]. 医学综述, 2015, 21(16): 2918-2920.
[9] Maiorino, L., Daßler-Plenker, J., Sun, L. and Egeblad, M. (2022) Innate Immunity and Cancer Pathophysiology. Annual Review of Pathology: Mechanisms of Disease, 17, 425-457. [Google Scholar] [CrossRef] [PubMed]
[10] Fiflis, S., Christodoulidis, G., Papakonstantinou, M., Giakoustidis, A., Koukias, S., Roussos, P., et al. (2024) Prognostic Nutritional Index in Predicting Survival of Patients with Gastric or Gastroesophageal Junction Adenocarcinoma: A Systematic Review. World Journal of Gastrointestinal Oncology, 16, 514-526. [Google Scholar] [CrossRef] [PubMed]
[11] Mei, P., Feng, W., Zhan, Y. and Guo, X. (2023) Prognostic Value of Lymphocyte-to-Monocyte Ratio in Gastric Cancer Patients Treated with Immune Checkpoint Inhibitors: A Systematic Review and Meta-Analysis. Frontiers in Immunology, 14, Article ID: 1321584. [Google Scholar] [CrossRef] [PubMed]
[12] Szor, D.J., Dias, A.R., Pereira, M.A., Ramos, M.F.K.P., Zilberstein, B., Cecconello, I., et al. (2018) Prognostic Role of Neutrophil/Lymphocyte Ratio in Resected Gastric Cancer: A Systematic Review and Meta-Analysis. Clinics, 73, e360. [Google Scholar] [CrossRef] [PubMed]
[13] 熊建平, 田艳涛. 胃癌炎症相关预后评价体系的构建、优化与创新[J]. 中国医学前沿杂志, 2022, 14(12): 11-14+4.
[14] 张萌. 术前血小板分布宽度(PDW)与中性粒细胞-淋巴细胞比率(NLR)联合在胃癌患者预后中的应用价值[D]: [硕士学位论文]. 合肥: 安徽医科大学, 2022.
[15] 周发权, 陈师, 孙红玉, 等. 系统免疫炎症指数与胃癌患者预后关系的Meta分析[J]. 中国普通外科杂志, 2021, 30(10): 1142-1150.
[16] Niu, Z., Lin, L., Peng, H., Zheng, X., Wang, M., Sun, F., et al. (2025) The Prognostic Value of Systemic Inflammation Response Index in Digestive System Carcinomas: A Systematic Review and Meta-Analysis. BMC Gastroenterology, 25, Article No. 34. [Google Scholar] [CrossRef] [PubMed]
[17] Japanese Gastric Cancer Association (2022) Japanese Gastric Cancer Treatment Guidelines 2021 (6th Edition). Gastric Cancer, 26, 1-25. [Google Scholar] [CrossRef] [PubMed]
[18] 中华医学会肿瘤学分会, 中华医学会杂志社. 中华医学会胃癌临床诊疗指南(2021版) [J]. 中华医学杂志, 2022, 102(16): 1169-1189.
[19] 赫捷, 陈万青, 李兆申, 等. 中国胃癌筛查与早诊早治指南(2022, 北京) [J]. 中国肿瘤, 2022, 31(7): 488-527.
[20] Zhao, Y. and Wang, C. (2018) Long-Term Clinical Efficacy and Perioperative Safety of Endoscopic Submucosal Dissection versus Endoscopic Mucosal Resection for Early Gastric Cancer: An Updated Meta-Analysis. BioMed Research International, 2018, Article ID: 3152346. [Google Scholar] [CrossRef] [PubMed]
[21] 周红, 郭春光, 陈应泰, 等. 早期胃癌非治愈性内镜黏膜下剥离术后的治疗策略研究[J]. 2019, 41(11): 865-869.
[22] 宋书彬, 刘宏刚, 薛英威. 进展期胃癌患者预后营养指数的临床意义[J]. 中华胃肠外科杂志, 2018, 21(2): 180-184.
[23] 刘燕燕, 张明军. 预后营养指数对进展期胃癌患者术后并发症及短期生存率的影响分析[J]. 临床输血与检验, 2022, 24(2): 230-235.
[24] Jing, Y., Ren, M., Li, X., Sun, X., Xiao, Y., Xue, J., et al. (2024) The Effect of Systemic Immune-Inflammatory Index (SII) and Prognostic Nutritional Index (PNI) in Early Gastric Cancer. Journal of Inflammation Research, 17, 10273-10287. [Google Scholar] [CrossRef] [PubMed]
[25] Pan, Y., Jia, Z., Cao, D., Wu, Y., Jiang, J., Wen, S., et al. (2018) Preoperative Lymphocyte-to-Monocyte Ratio (LMR) Could Independently Predict Overall Survival of Resectable Gastric Cancer Patients. Medicine, 97, e13896. [Google Scholar] [CrossRef] [PubMed]
[26] Tan, S., Zheng, Q., Zhang, W., Zhou, M., Xia, C. and Feng, W. (2024) Prognostic Value of Inflammatory Markers NLR, PLR, and LMR in Gastric Cancer Patients Treated with Immune Checkpoint Inhibitors: A Meta-Analysis and Systematic Review. Frontiers in Immunology, 15, Article ID: 1408700. [Google Scholar] [CrossRef] [PubMed]
[27] Toyokawa, T., Inaba, T., Omote, S., Okamoto, A., Miyasaka, R., Watanabe, K., et al. (2015) Risk Factors for Non-Curative Resection of Early Gastric Neoplasms with Endoscopic Submucosal Dissection: Analysis of 1,123 Lesions. Experimental and Therapeutic Medicine, 9, 1209-1214. [Google Scholar] [CrossRef] [PubMed]
[28] Kim, E.H., Park, J.C., Song, I.J., Kim, Y.J., Joh, D.H., Hahn, K.Y., et al. (2017) Prediction Model for Non-Curative Resection of Endoscopic Submucosal Dissection in Patients with Early Gastric Cancer. Gastrointestinal Endoscopy, 85, 976-983. [Google Scholar] [CrossRef] [PubMed]
[29] Lee, S.H., Kim, M.C., Jeon, S.W., Lee, K.N., Park, J.J. and Hong, S.J. (2020) Risk Factors and Clinical Outcomes of Non-Curative Resection in Patients with Early Gastric Cancer Treated with Endoscopic Submucosal Dissection: A Retrospective Multicenter Study in Korea. Clinical Endoscopy, 53, 196-205. [Google Scholar] [CrossRef] [PubMed]
[30] Ohno, A., Miyoshi, J., Kato, A., Miyamoto, N., Yatagai, T., Hada, Y., et al. (2020) Endoscopic Severe Mucosal Atrophy Indicates the Presence of Gastric Cancer after Helicobacter Pylori Eradication-Analysis Based on the Kyoto Classification. BMC Gastroenterology, 20, Article No. 232. [Google Scholar] [CrossRef] [PubMed]
[31] 周璇, 李洪, 冯志杰, 等. 内镜黏膜下剥离术治疗早期胃癌非治愈性切除相关危险因素分析[J]. 河北医科大学学报, 2022, 43(7): 787-791.
[32] Ma, X., Zhang, Q., Zhu, S., Zhang, S. and Sun, X. (2021) Risk Factors and Prediction Model for Non-Curative Resection of Early Gastric Cancer with Endoscopic Resection and the Evaluation. Frontiers in Medicine, 8, Article ID: 637875. [Google Scholar] [CrossRef] [PubMed]
[33] Guo, L., Ding, Y., Wen, J., Miao, M., Hu, K. and Ye, G. (2025) Risk Factors and Predictive Nomogram for Non-Curative Resection in Patients with Early Gastric Cancer Treated with Endoscopic Submucosal Dissection: A Retrospective Cohort Study. World Journal of Surgical Oncology, 23, Article No. 213. [Google Scholar] [CrossRef] [PubMed]
[34] Japanese Gastric Cancer Association (2020) Japanese Gastric Cancer Treatment Guidelines 2018 (5th Edition). Gastric Cancer, 24, 1-21. [Google Scholar] [CrossRef] [PubMed]
[35] Ohara, Y., Toshikuni, N., Matsueda, K., Mouri, H. and Yamamoto, H. (2016) The Superficial Elevated and Depressed Lesion Type Is an Independent Factor Associated with Non-Curative Endoscopic Submucosal Dissection for Early Gastric Cancer. Surgical Endoscopy, 30, 4880-4888. [Google Scholar] [CrossRef] [PubMed]
[36] 董娜, 马甘青, 王露露, 等. 早期胃癌ESD术后非治愈性切除预测模型的建立与验证[J]. 协和医学杂志, 2024, 15(1): 109-116.