不同胰岛素抵抗相关指标作为生物标志物预测2型糖尿病患者外周动脉病变的价值及比较研究
Value and Comparison of Insulin Resistance-Related Indexes as Biomarkers in Predicting Peripheral Artery Disease in Type 2 Diabetes Mellitus
DOI: 10.12677/acm.2026.161314, PDF, HTML, XML,    科研立项经费支持
作者: 马 莉, 杜 婧*, 丁玉梅, 刘竞之, 马蓉蓉:宁夏回族自治区人民医院(宁夏医科大学附属自治区人民医院)内分泌科,宁夏 银川
关键词: 胰岛素抵抗胰岛素抵抗相关指标2型糖尿病外周动脉病变Insulin Resistance Insulin Resistance-Related Indexes Type 2 Diabetes Mellitus Peripheral Artery Disease
摘要: 目的:本研究旨在探讨8种胰岛素抵抗(IR)相关指标[三酰甘油与葡萄糖乘积指数(TyG)、三酰甘油葡萄糖体质量指数(TyG-BMI)、三酰甘油–高密度脂蛋白胆固醇指数(TG/HDL-C)、胰岛素抵抗代谢指数(METS-IR)、稳态模型评估胰岛素抵抗指数(HOMA-IR)、非高密度脂蛋白胆固醇–高密度脂蛋白胆固醇指(Non-HDL-C/HDL-C)、脂质心血管指数(LCI)、胆固醇指数(CI)]作为生物标志物预测2型糖尿病(T2DM)患者外周动脉病变(PAD)的价值,并比较其预测效能。方法:回顾性收集2023年1月至2024年12月于宁夏回族自治区人民医院内分泌科住院期间收住的1055例T2DM患者临床资料,根据多普勒超声结果分为PAD组(420例)和非PAD组(635例)。采用统计学方法比较两组一般资料及生化指标的差异,通过Logistic回归分析IR相关指标与PAD的关联,运用ROC曲线、重分类改善指标(NRI)及综合判别改善指标(IDI)评估各指标的预测效能。结果:结果显示,PAD组的8种IR相关指标水平均显著高于非PAD组(P < 0.05),且与PAD风险呈正相关及剂量–反应关系(P < 0.05)。ROC曲线分析结果显示,TG/HDL-C指数的预测效能最佳(AUC = 0.689),而TyG指数的灵敏度最高(87.4%)。NRI和IDI分析表明,TyG指数在提升模型预测效能上表现最优。结论:TG/HDL-C指数和TyG指数可作为预测T2DM患者发生PAD的优质生物标志物,其中TG/HDL-C指数因检测便捷、效能突出,更适合在基层医疗机构推广应用。
Abstract: Objective: The purpose of this study is to explore the value of eight insulin resistance (IR)-related indicators [triglyceride-glucose index (TyG), triglyceride-glucose-body mass index (TyG-BMI), triglyceride-high-density lipoprotein cholesterol index (TG/HDL-C), metabolic score for insulin resistance (METS-IR), homeostasis model assessment of insulin resistance (HOMA-IR), non-high-density lipoprotein cholesterol-high-density lipoprotein cholesterol index (Non-HDL-C/HDL-C), lipid cardiovascular index (LCI), and cholesterol index (CI)] as biomarkers in predicting peripheral artery disease (PAD) in patients with type 2 diabetes mellitus (T2DM), and to compare their predictive efficacy. Methods: The clinical data of 1055 T2DM patients who were hospitalized in the Endocrinology Department of Ningxia Uygur Autonomous Region People’s Hospital from January 2023 to December 2024 were retrospectively collected. According to the results of vascular color Doppler ultrasound, the patients were divided into the PAD group (420 cases) and the non-PAD group (635 cases). Statistical methods were used to analyze the differences in general data and biochemical indicators between the two groups. Logistic regression was employed to explore the association between IR-related indicators and PAD. ROC curves, NRI and IDI were used to evaluate the predictive efficacy of each indicator. Results: The results showed that the levels of the 8 IR-related indicators in the PAD group were significantly higher than those in the non-PAD group (P < 0.05), and were positively correlated with and showed a dose-response relationship with the risk of PAD (P < 0.05). In the ROC curve analysis, the TG/HDL-C index had the best predictive efficacy (AUC = 0.689), and the TyG index had the highest sensitivity (87.4%). The NRI and IDI analyses indicated that the TyG index performed the best in improving the predictive efficacy of the model. Conclusion: TG/HDL-C index and TyG index can be used as high quality biomarkers for predicting PAD in patients with T2DM. TG/HDL-C index is more suitable for popularization and application in primary medical institutions because of its convenient detection and outstanding efficacy.
文章引用:马莉, 杜婧, 丁玉梅, 刘竞之, 马蓉蓉. 不同胰岛素抵抗相关指标作为生物标志物预测2型糖尿病患者外周动脉病变的价值及比较研究[J]. 临床医学进展, 2026, 16(1): 2527-2544. https://doi.org/10.12677/acm.2026.161314

1. 引言

据《国际糖尿病联盟》数据显示,全球糖尿病患者数量呈增长趋势,2021年20~79岁人群中确诊者达5.366亿,2045年预计增至7.832亿[1],我国2型糖尿病(Type 2 Diabetes Mellitus, T2DM)患病率达13.7%,血糖控制不佳率达60% [2],足见糖尿病筛查与管理形势严峻。随糖尿病病程延长,其中外周动脉病变(Peripheral artery disease, PAD)作为常见且危害大的血管并发症,临床诊断需求迫切。目前,数字减影血管造影(DSA)是诊断PAD的“金标准”,但因具有侵入性而应用受限;踝臂指数(ABI)是糖尿病及高危人群PAD的首选无创筛查工具,然而其对早期PAD的识别敏感性较低[3];彩色多普勒超声虽为PAD影像学检查的首选方式,且具备操作简便、无辐射、价格低廉等优势[4] [5],但对早期病变易出现漏诊情况,同时受操作者经验与技术水平影响较大,对深部或细小血管病变的显示效果也欠佳[6]。因此,临床上迫切需要找到新的生物标志物,可以在早期阶段识别糖尿病个体中的PAD。

胰岛素抵抗(Insulin Resistance, IR)是机体组织细胞对胰岛素敏感性下降的病理生理状态,会削弱胰岛素调控葡萄糖代谢的能力,导致血糖升高,是T2DM发病核心机制之一[7]。近年研究发现,IR还通过多重机制推动PAD发生发展,如促进血管壁慢性炎症、损害血管内皮功能、改变血细胞活性加剧血栓倾向、干扰止血平衡致血管结构与功能异常[8] [9],这些机制相互交织、共同作用,构成了IR驱动PAD进展的关键病理生理基础。此外,研究证实,PAD与糖尿病患者死亡率增加、下肢截肢风险增加和心血管事件发生率升高显著相关[10] [11],进一步凸显出深入研究IR与PAD关系的重要性。

目前,高胰岛素–正葡萄糖钳夹技术目前被认为是评估IR的“金标准”[12]。然而,该技术存在操作流程复杂、检测成本高昂及对操作人员技术要求苛刻等问题,限制了其在临床实践中的广泛应用。近年来,一些不依赖胰岛素测定的IR相关指标逐渐进入研究者的视野并受到广泛的关注。这些指标包括三酰甘油葡萄糖指数(TyG) [13]、三酰甘油葡萄糖体质量指数(TyG-BMI) [14]、三酰甘油–高密度脂蛋白胆固醇指数(TG/HDL-C) [15]、胰岛素抵抗代谢指数(METS-IR) [16]、稳态模型评估胰岛素抵抗指数(HOMA-IR) [17]等。它们在评估IR状态方面均展现出较高的价值,更为重要的是,计算这些指标所需的数据均来源于基层体检的常规项目,数据易获取、检测成本低、操作简便。因此,它们能够被应用于基层医疗卫生机构,用于评估T2DM患者的IR状态。

既往的研究已经证实,TyG与PAD之间存在显著相关性[18] [19]。然而,目前针对其他IR相关指标与PAD的关系尚显匮乏,这一领域仍存在较大的探索空间。基于此,本研究依托已建立的T2DM人群队列,首次通过回顾性分析TyG指数、TyG-BMI指数、TG/HDL-C指数、METS-IR指数、HOMA-IR指数等IR相关指标对PAD的预测价值,并比较各指标在预测PAD风险方面的效果,旨在筛选出能够精准预测PAD发生的优质指标。本研究的意义不仅在于有助于进一步解释PAD的发病机制,深化对疾病本质的认识,更将为PAD的预防和治疗提供坚实的理论依据,助力PAD的早期筛查与风险分层,推动临床实践向更加精准、有效的方向发展。

2. 对象和方法

2.1. 研究对象

2.1.1. 一般资料

本研究采用回顾性研究方法,收集了2023年1月至2024年12月期间,于宁夏回族自治区人民医院内分泌科住院的1055例明确诊断为2型糖尿病患者的临床资料。根据多普勒超声结果分为外周动脉病变组(PAD组,n = 420例)和非外周动脉病变组(非PAD组,n = 635例)。

2.1.2. 纳入标准

为确保研究对象的同质性和研究结果的可靠性,本研究制定了严格的纳入标准,具体如下:(1) T2DM患者,符合《中国2型糖尿病防治指南(2020年版)》[20]诊断标准:临床症状典型且FPG ≥ 7.0 mmol/L;(2) PAD诊断,纳入本研究的每位患者均依据血管外科学会和国际心血管外科学会报告标准特设委员会所确立的标准[21] [22],根据踝肱指数(ABI) < 0.9 or ABI > 1.3或存在动脉搏动减弱或消失定义PAD (足背动脉、胫后动脉或腘动脉),每个肢体的动脉血流指数通过将左或右肱动脉的较低压力值除以对应肢体的踝动脉压力值计算得出,测量时参与者需处于仰卧静止状态。除此之外,还会采用手持多普勒超声对动脉波形进行评估,以此来进一步诊断是否患有PAD。(3) 患者年龄 ≥ 18岁;(4) 糖尿病病程 ≥ 1年。

2.1.3. 排除标准

(1) 其他类型糖尿病;(2) 合并严重感染性疾病、糖尿病急性并发症;(3) 合并其它原发性血液疾病;(4) 合并原发性心脏病;(5) 合并恶性肿瘤;(6) 合并免疫性疾病;(7) 外周动脉病变诊断早于T2DM诊断者。

2.2. 研究方法

2.2.1. 一般资料的收集

全面收集患者的基本信息,涵盖年龄、性别、T2DM病程、吸烟史和饮酒史等。同时,精准测量收缩压(SBP)、舒张压(DBP)、身高(cm)、体重(kg),并依据测量结果计算体质指数(Body Mass Index, BMI)。

2.2.2. 生化指标的测定

为保证检测结果的准确性,要求所有患者于夜间禁食10 h,次日清晨,采集患者静脉血样本,并及时送至实验室进行血糖及胰岛素相关指标、血常规指标、肝功能相关指标、血脂相关指标、肾功能相关指标的监测。

2.2.3. IR相关指标及其它指标计算公式

本研究中的暴露变量包括8个胰岛素抵抗相关指标,相关各项指标的计算方法详见下文。

TyG指数 = ln [TG (mg/dL) × FBG (mg/dL)/2];TyG-BMI指数 = TyG指数 × BMI (kg/m2);TG/HDL-C指数 = TG (mmol/L)/HDL-C (mmol/L);METS-IR指数 = {ln [2 × FPG (mg/dL) + TG (mg/dL)] × BMI (kg/m2)/ln [HDL-C (mg/dL)]};HOMA-IR = 空腹血糖(mmol/L) × 空腹胰岛素(μIU/ml)/22.5;LCI指数 = TC (mmol/L) × TG (mmol/L) × LDL-C (mmol/L)/HDL-C (mmol/L);CI指数 = LDL-C (mg/dL) − HDL-C (mg/dL) (TG < 400 mg/dL)或LDL-C (mg/dL) − HDL-C (mg/dL) + TG (mg/dL)/5 (TG ≥ 400 mg/dL)

2.2.4. 外周动脉病变检查

对明确诊断的T2DM患者,由专业的操作人员先依据踝肱指数(ABI) < 0.9或ABI > 1.3,或足背、胫后、腘动脉搏动减弱或消失来判断是否为PAD [23]。接着让参与者仰卧静止,取左右肱动脉较低压力值除以对应肢体相关值算出动脉血流指数。最后用手持飞利浦EPIQ CVx多普勒超声波形,进一步诊断PAD。

多普勒超声评估PAD的标准为:动脉血管管腔出现狭窄;内中膜厚度 ≤ 0.9 mm;存在明显的血管斑块。

2.3. 统计学方法

采用SPSS 26.0软件、GraphPad Prism、R软件包进行统计学分析,符合正态分布的变量以均数 ± 标准差[mean (SD)]表示,不符合正态分布的变量以中位数[四分位距] [median (IQR)]表示,组间比较采用t检验(对于正态分布数据)或如Mann-Whitney U检验(对于非正态分布数据)。分类变量以频数(百分比) [n(%)]表示,两组间的差异采用卡方检验比较。建立Logistic回归评价IR指标与PAD发生的关系。采用分层多变量Logistic回归分析IR相关指标与PAD的关系,分析优势比(OR)和95%置信区间(CI)。采用受试者工作特征(ROC)和一致性统计(C-统计)比较各指标的预测信息。进一步采用重分类改善指标(NRI)和综合判别改善指标(IDI)评估各胰岛素抵抗相关指标附加预测效能,NRI、IDI > 0为正常改进,说明新模型预测能力较旧模型更好;NRI、IDI < 0为负向改进,新模型预测能力下降;NRI、IDI = 0说明新模型无改进。

3. 结果

3.1. 两组一般资料及生化指标比较

研究对象根据是否存在外周动脉病变被分为外周动脉病变组(PAD组)和非外周动脉组(非PAD组)。研究发现PAD组的年龄、病程、高血压病史占比、平均红细胞体积、甘油三酯、低密度脂蛋白、胱抑素C、尿酸、肌酐、空腹葡萄糖、空腹胰岛素水平,以及TyG指数、TyG-BMI指数、TG/HDL-C指数、METS-IR指数、HOMA-IR指数、Non-HDL-C/HDL-C指数、LCI指数、CI指数、单核细胞淋巴细胞比率(MLR)均高于非PAD组(P < 0.05),见表1

Table 1. Comparison of general data and biochemical indicators between the PAD group and the non-PAD group

1. PAD组和非PAD组一般资料和生化指标比较

组别

例数

性别[(%)]

高血压[(%)]

吸烟史[(%)]

饮酒史[(%)]

非PAD组

635

244 (38.4)

391 (61.6)

511 (80.5)

124 (19.5)

382 (60.2)

253 (39.8)

467 (73.5)

168 (26.5)

PAD组

420

166 (39.5)

254 (60.5)

234 (55.7)

186 (44.3)

237 (56.4)

183 (43.6)

303 (72.1)

117 (27.9)

总体

1055

410 (38.9)

645 (61.1)

745 (70.6)

310 (29.4)

619 (58.7)

436 (41.3)

770 (73.0)

285 (27.0)

P值

0.769

<0.001

0.254

0.667

组别

家族史[(%)]

年龄()

病程()

BMI (kg/m2)

收缩压(mmHg)

非PAD组

466 (73.4)

169 (26.6)

49.11 (11.21)

4.00 [2.00, 8.00]

25.01 [22.84, 27.59]

120.00 [112.00, 130.0]

PAD组

49 (83.1)

71 (16.9)

61.39 (10.26)

7.00 [4.00, 12.00]

24.85 [23.04, 27.04]

126.0 [120.00, 135.00]

总体

815 (77.3)

240 (22.7)

54.00 (12.40)

5.00 [3.00, 10.00]

24.93 [22.87, 27.42]

121.00 [117.00, 131.00]

P值

<0.001

<0.001

<0.001

0.483

<0.001

组别

淋巴细胞计数(109/L)

血小板(109/L)

血红蛋白(g/L)

红细胞压积(%)

平均红细胞体积(fL)

非PAD组

2.25

[1.80, 2.71]

215.00

[183.00, 254.5]

148.00

[136.00, 156.0]

43.50

[40.60, 46.10]

89.40

[86.30, 92.00]

PAD组

2.12

[1.73, 2.57]

206.00

[175.00, 240.0]

145.00

[135.00, 154.0]

43.10

[40.30, 45.40]

90.60

[87.97, 93.30]

总体

2.19

[1.76, 2.64]

211.00

[179.00, 246.00]

146.00

[136.00, 156.00]

43.40

[40.40, 45.90]

89.90

[87.00, 92.50]

P值

0.014

0.001

0.044

0.036

<0.001

组别

谷丙转氨酶(U/L)

总胆固醇(mmol/L)

甘油三酯(mmol/L)

高密度脂蛋白(mmol/L)

低密度脂蛋白(mmol/L)

非PAD组

22.10 [15.15, 36.00]

4.49 [3.92, 5.10]

1.46 [0.90, 2.38]

0.98 [0.84, 1.12]

2.52 [2.05, 3.07]

PAD组

21.00 [15.28, 28.60]

4.60 [3.93, 5.27]

2.06 [1.54, 2.80]

0.86 [0.73, 1.05]

2.74 [2.18, 3.21]

总体

22.00 [15.20, 32.40]

4.53 [3.92, 5.17]

1.77 [1.19, 2.64]

0.94 [0.80, 1.10]

2.61 [2.08, 3.16]

P值

0.014

0.169

<0.001

<0.001

0.001

续表

组别

胱抑素C(mg/L)

肌酐(umol/L)

尿素氮(mmol/L)

空腹葡萄糖(mmol/L)

空腹胰岛素 (mU/L)

非PAD组

0.74 [0.62, 0.86]

58.00 [49.00, 68.00]

5.36 [4.48, 6.22]

8.88 [6.70, 11.88]

10.30 [6.55, 16.60]

PAD组

0.83 [0.73, 0.96]

62.00 [52.00, 71.00]

5.62 [4.68, 6.67]

9.66 [7.65, 12.09]

13.91 [9.11, 19.81]

总体

0.78 [0.66, 0.90]

59.00 [50.00, 69.00]

5.45 [4.55, 6.42]

9.19 [7.08, 11.99]

11.61 [7.50, 18.20]

P值

<0.001

0.002

0.001

<0.001

<0.001

组别

糖化血红蛋白(%)

TyG指数

TyG-BMI指数

TG/HDL-C指数

METS-IR指数

非PAD组

8.38

[6.78, 10.08]

9.72

[9.29, 10.16]

233.61

[201.99, 263.7]

1.53

[0.88, 2.53]

42.57

[37.33, 48.60]

PAD组

8.60

[7.10, 10.10]

9.26

[8.66, 9.82]

242.65

[218.49, 270.0]

2.40

[1.66, 3.46]

44.89

[40.60, 50.78]

总体

8.48

[6.90, 10.09]

9.47

[8.95, 10.01]

236.91

[210.54, 265.48]

1.90

[1.14, 3.03]

43.52

[38.21, 49.43]

P值

0.055

<0.001

<0.001

<0.001

<0.001

组别

HOMA-IR指数

LCI指数

CI指数

NonHDL-C/ HDL-C指数

MLR比率

非PAD组

4.03 [2.49, 7.45]

17.79 [8.89, 35.57]

63.42 [46.79, 85.46]

3.60 [2.91, 4.38]

0.19 [0.16, 0.25]

PAD组

5.79 [3.89, 9.46]

29.46 [18.36, 48.03]

75.79 [56.26, 95.13]

4.20 [3.47, 5.01]

0.20 [0.16, 0.26]

总体

4.82 [2.89, 8.23]

22.91 [11.77, 40.76]

68.06 [49.11, 89.71]

3.85 [3.08, 4.67]

0.20 [0.16, 0.25]

P值

<0.001

<0.001

<0.001

<0.001

0.014

3.2. PAD的危险因素

表2展示了T2DM患者发生PAD的传统基线危险因素。单因素分析结果显示,年龄、病程、高血压病史、家族史、收缩压、白细胞计数、淋巴细胞计数、血小板计数等指标,以及TyG指数、TyG-BMI指数、TG/HDL-C指数、METS-IR指数、HOMA-IR指数、Non-HDL-C/HDL-C指数、LCI指数、CI指数、单核细胞淋巴细胞比率均为T2DM患者发生PAD的影响因素(P < 0.05)。多因素回归分析最终筛选出年龄、高血压病史、谷丙转氨酶、空腹葡萄糖、空腹胰岛素、甘油三酯、高密度脂蛋白、低密度脂蛋白八项指标(P < 0.05)。

Table 2. Logistic regression analysis of risk factors related to PAD

2. PAD相关危险因素的Logistic回归分析

变量

单因素

多因素

OR (95%CI)

P

OR (95%CI)

P

性别

0.955 (0.742~1.229)

0.72

年龄

1.111 (1.095~1.128)

<0.001

1.13 (1.109~1.151)

<0.001

病程

1.089 (1.064~1.114)

<0.001

续表

高血压

3.276 (2.488~4.312)

<0.001

1.774 (1.272~2.474)

0.001

吸烟史

1.166 (0.908~1.497)

0.229

饮酒史

1.073 (0.814~1.416)

0.616

家族史

0.561 (0.411~0.765)

<0.001

BMI (kg/m2)

0.976 (0.943~1.012)

0.185

收缩压(mmHg)

1.023 (1.013~1.033)

<0.001

白细胞(109/L)

0.923 (0.854~0.997)

0.042

淋巴细胞计数(109/L)

0.814 (0.677~0.979)

0.029

血小板(109/L)

0.996 (0.994~0.998)

0.001

血红蛋白(g/L)

0.993 (0.985~1.002)

0.117

红细胞压积(%)

0.986 (0.962~1.011)

0.281

平均红细胞体积(fL)

1.062 (1.033~1.092)

<0.001

谷丙转氨酶(U/L)

0.987 (0.981~0.994)

<0.001

0.989 (0.98~0.998)

0.02

总胆固醇(mmol/L)

1.1 (0.967~1.252)

0.147

甘油三酯(mmol/L)

1.232 (1.135~1.338)

<0.001

1.403 (1.251~1.575)

<0.001

高密度脂蛋白(mmol/L)

0.139 (0.077~0.252)

<0.001

0.044 (0.019~0.104)

<0.001

低密度脂蛋白(mmol/L)

1.32 (1.128~1.545)

0.001

2.269 (1.78~2.891)

<0.001

胱抑素C (mg/L)

3.856 (2.039~7.291)

<0.001

0.501 (0.213~1.181)

0.114

尿酸(umol/L)

0.999 (0.997~1)

0.040

肌酐(umol/L)

1 (0.999~1.001)

0.580

尿素氮(mmol/L)

1.138 (1.051~1.233)

0.001

空腹葡萄糖(mmol/L)

1.065 (1.033~1.098)

<0.001

1.104 (1.058~1.153)

<0.001

空腹胰岛素(mU/L)

1.012 (1.003~1.022)

0.012

1.023 (1.01~1.036)

0.001

糖化血红蛋白(%)

1.048 (0.99~1.11)

0.106

1.048 (0.99~1.11)

0.106

MLR比率

4.556 (1.079~19.233)

0.039

4.556 (1.079~19.233)

0.039

3.3. IR相关指标与PAD的关系

为了进一步分析8个IR相关指标预测PAD发生的风险,进行了分层多变量逻辑回归分析,模型1没有调整任何危险因素,模型2调整了年龄和性别,模型3在模型2的基础上增加了通过Logistic回归筛选出的其他显著相关危险因素。然而,TG、LDL和HDL被排除在外,因为它们与IR相关指标中具有强的多重共线性。详细结果见表3

当将各胰岛素抵抗指标作为连续变量进行分析时,TyG指数、TyG-BMI指数、TG/HDL-C指数、METS-IR指数、HOMA-IR指数、LCI指数、CI指数、Non-HDL-C/HDL-C指数这8项胰岛素抵抗指标与2型糖尿病患者发生PAD的风险均呈显著正相关(P < 0.05)。当各胰岛素抵抗指标经过四分位数的分层分析时,在模型3中可以看到,Q4的PAD发生风险均高于Q1,各指标Q4与Q1相比的OR值分别为:18.115 (TyG指数)、3.765 (TyG-BMI指数)、19.751 (TG/HDL-C指数)、4.147 (METS-IR指数)、5.577 (HOMA-IR指数)、12.825 (LCI指数)、3.991 (CI指数)、6.346 (Non-HDL-C/HDL-C指数)。此外,TyG指数、TyG-BMI指数、TG/HDL-C指数、METS-IR指数、HOMA-IR指数、LCI指数、CI指数及Non-HDL-C/HDL-C指数的增加与2型糖尿病发生PAD的风险表现出显著的剂量-反应关系(趋势P值 < 0.05)。

Table 3. Association between IR-related indicators and PAD

3. IR相关指标与PAD之间的关联

模型1 OR (95%CI) P

模型2 OR (95%CI) P

模型3 OR (95%CI) P

TyG指数

2.179 (1.839~2.582) < 0.001

3.652 (2.898~4.601) < 0.001

4.65 (3.446~6.377) < 0.001

TyG-BMI指数

1.005 (1.002~1.008) 0.001

1.015 (1.011~1.019) < 0.001

1.013 (1.009~1.018) < 0.001

TG/HDL-C指数

1.21 (1.135~1.290) < 0.001

1.363 (1.258~1.475) < 0.001

1.347 (1.238~1.472) < 0.001

METS-IR指数

1.028 (1.013~1.043) < 0.001

1.067 (1.047~1.088) < 0.001

1.056 (1.033~1.08) < 0.001

HOMA-IR指数

1.037 (1.017~1.057) < 0.001

1.062 (1.038~1.087) < 0.001

1.036 (1.011~1.063) 0.005

LCI指数

1.02 (1.014~1.025) < 0.001

1.031 (1.024~1.039) < 0.001

1.031 (1.024~1.039) < 0.001

CI指数

1.007 (1.004~1.011) < 0.001

1.013 (1.009~1.017) < 0.001

1.013 (1.008~1.017) < 0.001

NonHDL/CHDL-C指数

1.464 (1.316~1.627) < 0.001

1.655 (1.457~1.879) < 0.001

1.665 (1.457~1.913) < 0.001

TyG指数四分位数

Q1

1.0 (Reference)

1.0 (Reference)

1.0 (Reference)

Q2

4.591 (3.003~7.019) < 0.001

5.611 (3.41~9.232) < 0.001

6.411 (3.829~10.961) < 0.001

Q3

6.57 (4.302~10.033) < 0.001

10.315 (6.217~17.113) < 0.001

12.699 (7.35~22.491) < 0.001

Q4

6.324 (4.142~9.654) < 0.001

15.363 (9.069~26.025) < 0.001

18.115 (9.637~34.989) < 0.001

趋势P值

<0.001

<0.001

<0.001

TyG-BMI指数四分位数

Q1

1.0 (Reference)

1.0 (Reference)

1.0 (Reference)

Q2

2.18 (1.517~3.133) < 0.001

2.427 (1.584~3.72) < 0.001

2.152 (1.38~3.375) < 0.001

Q3

2.002 (1.392~2.880) < 0.001

3.57 (2.298~5.546) < 0.001

3.114 (1.954~5.007) < 0.001

Q4

1.958 (1.361~2.816) < 0.001

5.13 (3.234~8.138) < 0.001

3.765 (2.208~6.494) < 0.001

趋势P值

0.001

<0.001

<0.001

续表

TG/HDL-C指数四分位数

Q1

1.0 (Reference)

1.0 (Reference)

1.0 (Reference)

Q2

5.971 (3.783~9.425) < 0.001

6.976 (4.143~11.748) < 0.001

6.863 (4.032~11.986) < 0.001

Q3

9.084 (5.761~14.324) < 0.001

10.236 (6.061~17.288) < 0.001

11.083 (6.458~19.568) < 0.001

Q4

9.149 (5.803~14.424) < 0.001

18.789 (10.835~32.58) < 0.001

19.751 (11.036~36.518) < 0.001

趋势P值

<0.001

<0.001

<0.001

METS-IR指数四分位数

Q1

1.0 (Reference)

1.0 (Reference)

1.0 (Reference)

Q2

1.664 (1.157~2.394) < 0.006

2.074 (1.356~3.173) < 0.001

1.955 (1.254~3.066) < 0.003

Q3

1.928 (1.342~2.769) < 0.001

2.988 (1.93~4.627) < 0.001

2.518 (1.584~4.031) < 0.001

Q4

2.301 (1.605~3.299) < 0.001

5.106 (3.246~8.032) < 0.001

4.147 (2.496~6.975) < 0.001

趋势P值

<0.001

<0.001

<0.001

HOMA-IR指数四分位数

Q1

1.0 (Reference)

1.0 (Reference)

1.0 (Reference)

Q2

2.844 (1.929~4.192) < 0.001

3.726 (2.372~5.853) < 0.001

3.449 (2.176~5.528) < 0.001

Q3

3.775 (2.565~5.554) < 0.001

5.089 (3.234~8.011) < 0.001

4.204 (2.583~6.909) < 0.001

Q4

3.804 (2.586~5.596) < 0.001

7.485 (4.678~11.976) < 0.001

5.577 (3.083~9.964) < 0.001

趋势P值

<0.001

<0.001

<0.001

LCI指数四分位数

Q1

1.0 (Reference)

1.0 (Reference)

1.0 (Reference)

Q2

3.765 (2.490~5.695) < 0.001

4.568 (2.804~7.442) < 0.001

4.825 (2.926~8.105) < 0.001

Q3

5.736 (3.801~8.657) < 0.001

8.286 (5.062~13.564) < 0.001

9.397 (5.616~16.082) < 0.001

Q4

5.779 (3.830~8.719) < 0.001

12.289 (7.379~20.465) < 0.001

12.825 (7.459~22.597) < 0.001

趋势P值

<0.001

<0.001

<0.001

CI指数四分位数

Q1

1.0 (Reference)

1.0 (Reference)

1.0 (Reference)

Q2

1.378 (0.954~1.992) < 0.088

1.644 (1.07~2.525) < 0.023

1.728 (1.102~2.724) < 0.018

Q3

2.379 (1.661~3.409) < 0.001

2.703 (1.773~4.12) < 0.001

2.91 (1.862~4.589) < 0.001

Q4

2.324 (1.620~3.333) < 0.001

3.922 (2.543~6.048) < 0.001

3.991 (2.507~6.424) < 0.001

趋势P值

<0.001

<0.001

<0.001

续表

NonHDL-C/HDL-C指数 四分位数

Q1

1.0 (Reference)

1.0 (Reference)

1.0 (Reference)

Q2

1.707 (1.167~2.495) < 0.006

1.624 (1.046~2.52) < 0.031

1.714 (1.083~2.726) < 0.022

Q3

2.518 (1.733~3.657) < 0.001

3.473 (2.235~5.398) < 0.001

3.712 (2.325~5.993) < 0.001

Q4

4.134 (2.846~6.004) < 0.001

6.027 (3.836~9.469) < 0.001

6.346 (3.922~10.426) < 0.001

趋势P值

<0.001

<0.001

<0.001

模型1:未调整;模型2:调整年龄、性别;模型3:调整年龄、性别、病程、高血压病史、家族史、收缩压、白细胞、淋巴细胞计数、血小板、平均红细胞体积、谷丙转氨酶、胱抑素C、尿酸、尿素氮、空腹葡萄糖、空腹胰岛素、单核细胞淋巴细胞比率。

3.4. IR相关指标预测T2DM患者发生PAD的ROC曲线

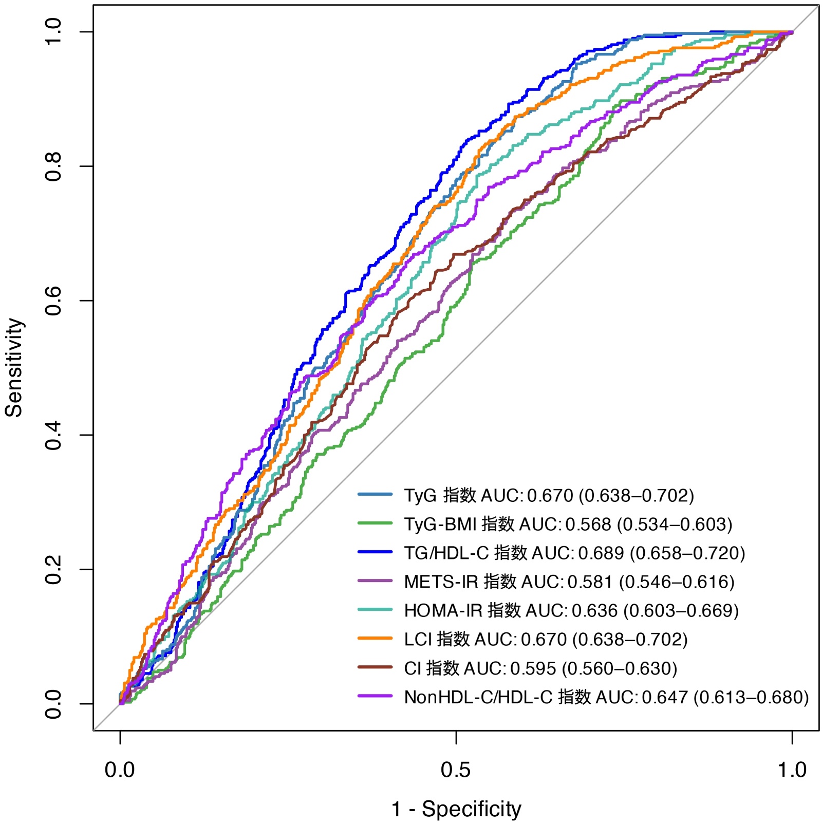
采用ROC曲线分析,评估8个IR相关指标对PAD的预测效能,结果显示:TG/HDL-C指数的AUC最高,为0.689,最佳截点值为1.477,灵敏度为83.80%,特异度为48.5%;再次为TyG指数和LCI指数,二者的AUC均为0.670,最佳截点值分别为9.051、15.677,灵敏度分别为为87.40%、83.3%,特异度分别为41.4%、45.7%;其次为Non-HDL-C/HDL-C指数,AUC均为0.647 [95%CI (0.613~0.680)],HOMA-IR指数AUC均为0.636;而CI指数、METS-IR指数和TyG-BMI指数对PAD的预测效力较低,AUC值在0.5和0.6之间(见表4图1)。

Figure 1. ROC curve of insulin resistance indicators for predicting PAD

1. 胰岛素抵抗指标预测PAD的ROC曲线

Table 4. ROC curve for predicting the occurrence of PAD in T2DM patients based on insulin resistance-related indicators

4. 胰岛素抵抗相关指标预测T2DM患者发生PAD的ROC曲线

指标

最佳截断值

曲线下面积(95%CI)

灵敏度

特异度

TyG指数

9.051

0.670 (0.638~0.702)

87.40%

41.10%

TyG-BMI指数

204.084

0.568 (0.534~0.603)

88.80%

26.60%

TG/HDL-C指数

1.477

0.689 (0.658~0.720)

83.80%

48.50%

METS-IR指数

41.022

0.581 (0.546~0.616)

73.10%

42.00%

HOMA-IR指数

3.693

0.636 (0.603~0.669)

78.60%

46.90%

LCI指数

15.677

0.670 (0.638~0.702)

83.30%

45.70%

CI指数

65.546

0.595 (0.560~0.630)

64.30%

53.10%

Non-HDL-C/HDL-C指数

3.756

0.647 (0.613~0.680)

66.90%

56.40%

为了进一步评估IR相关指标的预测能力,比较了根据基线风险因素(年龄、高血压病史、空腹葡萄糖、空腹胰岛素)建立的模型和基于基线风险因素与各IR相关指标建立的模型的AUC。结果显示:除HOMA-IR指数外,其余IR相关指标的AUC均显著高于基线模型的C统计量(见图2)。

Figure 2. Baseline model vs. + ROC curves of each insulin resistance index. The baseline model includes age, history of hypertension, fasting glucose, and fasting insulin

2. 基线模型vs. + 各胰岛素抵抗指标ROC曲线。基线模型包括:年龄、高血压病史、空腹葡萄糖、空腹胰岛素

3.5. NRI和IDI分析

表5显示,TyG指数在NRI和IDI分析中表现最佳,其次TG/HDL-C指数、HOMA-IR指数、Non-HDL-C/HDL-C指数、LCI指数、CI指数,均表现出额外的积极作用;而TyG-BMI指数和METS-IR指数在NRI分析中未表现出积极作用(P > 0.05),但IDI分析中显示有一定的鉴别能力。

Table 5. Analysis of NRI and IDI

5. NRI和IDI分析

变量

NRI

IDI

Estimate (95%CI)

P

Estimate (95%CI)

P

基础模型

Reference

Reference

TyG指数

0.140 [0.085, 0.196]

<0.001

0.084 [0.069, 0.100]

<0.001

TyGBMI指数

0.039 [−0.007, 0.084]

0.094

0.023 [0.014, 0.032]

<0.001

TG/HDLC指数

0.072 [0.023, 0.121]

0.004

0.043 [0.031, 0.055]

<0.001

METSIR指数

0.028 [−0.017, 0.073]

0.226

0.021 [0.012, 0.029]

<0.001

HOMAIR指数

0.063 (0.026, 0.099)

0.001

0.023 (0.014, 0.031)

<0.001

LCI指数

0.099 [0.044, 0.155]

<0.001

0.062 [0.047, 0.076]

<0.001

CI指数

0.056 [0.009, 0.104]

0.021

0.027 [0.017, 0.037]

<0.001

Non-HDL-C/HDL-C指数

0.085 [0.030, 0.140]

0.002

0.051 [0.037, 0.064]

<0.001

基线模型:年龄、高血压病史、空腹葡萄糖、空腹胰岛素。

4. 讨论

既往多项研究已证实,胰岛素抵抗(IR)相关指标在评估胰岛素敏感性方面表现优异,不仅能规避高胰岛素–正葡萄糖钳夹试验操作复杂、成本高昂的局限性,还在预测糖尿病、高尿酸血症、代谢性脂肪性肝病等代谢性疾病及心血管疾病的发生风险中展现出显著价值[24]-[28]。基于此,本研究创新性地首次对8种IR相关指标——TyG指数、TyG-BMI指数、TG/HDL-C指数、METS-IR指数、HOMA-IR指数、LCI指数、CI指数及Non-HDL-C/HDL-C指数与PAD之间的关联性展开了较全面且深入的研究。研究结果显示,在预测PAD方面,TG/HDL-C指数是预测PAD的最佳指标,其次是TyG指数和LCI指数,而CI指数、METS-IR指数和TyG-BMI指数对预测PAD的诊断效能相对较低。本研究有望为PAD的早期精准识别提供新的生物学标志物,预期有助于实现疾病的早发现、早干预、早治疗,为深入探究临床实践中胰岛素抵抗与血管病变之间的内在关联机制提供了坚实的实证依据,为后续相关研究及临床实践指明了方向。

胰岛素抵抗作为T2DM的核心特征,其与PAD的密切关联已被多项研究证实,本研究结果进一步支持了这一观点。从病理生理机制来看,IR可通过多重途径参与PAD的发生与发展,这一机制与本研究中PAD组各IR指标显著升高的结果高度吻合。首先,胰岛素通过胰岛素信号通路而发挥促进其代谢合成与维持血糖平衡的作用,而IR可通过抑制胰岛素信号通路(如PI3K/Akt途径),从而减少血管内皮细胞一氧化氮(NO)的生成与释放,导致血管舒张功能受损,同时促进内皮素-1等缩血管物质分泌,加剧血管痉挛与缺血[29]。另外,IR引发的高胰岛素血症可直接刺激血管平滑肌细胞增殖,加速动脉粥样硬化斑块形成[30] [31]。本研究中PAD组的HOMA-IR指数显著升高,而既往研究已经证实HOMA-IR指数与内皮功能障碍的生物标志物(如可溶性细胞间黏附分子-1)密切相关[32],进一步提示IR可能通过损伤内皮功能推动PAD进展。另有研究表明,肥胖患者血中升高的肾上腺髓质素(ADM)可通过激活Gαs/PKA通路,磷酸化PTP1B并使胰岛素受体去磷酸化,阻断胰岛素信号传导,进而抑制胰岛素的内吞与跨细胞转运,引发血管舒张障碍,为IR损伤血管内皮功能的机制提供了新的研究视角[33]。在脂质代谢紊乱的协同作用方面,本研究结果显示,PAD组的甘油三酯(TG)水平显著升高,高密度脂蛋白胆固醇(HDL-C)显著降低,而TG/HDL-C指数、LCI指数(整合TC、TG、LDL-C与HDL-C)等复合脂质指标与PAD风险呈强关联。这一发现印证了“IR-脂质异常–血管损伤”的协同机制[34]:IR可激活胆固醇调节元件结合蛋白-1c (SREBP-1c)以促进肝脏甘油三酯(TG)合成。正常情况下,胰岛素通过激活mTORC1信号通路增强SREBP-1cmRNA转录,推动其成熟入核;而IR状态下该过程被异常强化,导致SREBP-1c持续激活,进而上调脂肪酸合成酶(FASN)、乙酰辅酶A羧化酶(ACC)等关键酶的表达,最终造成TG合成增加[35]。同时抑制HDL-C的逆向转运功能,一方面,IR可能抑制肝脏中HDL的生成,降低HDL水平;另一方面,IR可能促进肝细胞膜上HDL受体的表达,增强HDL的清除,还可能通过抑制肝脏中胆固醇酯转移蛋白的活性,降低HDL中的胆固醇酯化水平,这些都会阻碍胆固醇的逆向转运。当IR导致TG升高和HDL-C逆向转运功能受抑制时,会使得脂质在血管壁沉积,进而被巨噬细胞吞噬形成泡沫细胞,并诱发慢性炎症[36]。此外,LDL-C的氧化修饰产物(ox-LDL)可进一步激活巨噬细胞和内皮细胞,加剧动脉粥样硬化。最新的研究表明,ox-LDL可以通过激活巨噬细胞表面的清道夫受体,如CD36和SR-A,促使巨噬细胞摄取更多的脂质,形成泡沫细胞[37]。其次,慢性炎症与血栓前状态,IR可通过激活STAT3 [38]、MAPK [39]等炎症通路,促进肿瘤坏死因子-α (TNF-α)、白细胞介素-6 (IL-6)等促炎因子释放,引发血管壁慢性炎症。本研究中PAD组的单核细胞/淋巴细胞比率(MLR)显著升高,并且这一结果与既往的研究结果是相符的[40]。不仅如此,以往的诸多研究还发现,MLR比率与2型糖尿病相关并发症(如周围神经病变[41]、糖尿病足[42])与心血管系统疾病[43]都密切相关,炎症是这些疾病的发病机制之一,其与外周动脉病变密切相关,这提示炎症可能是IR与PAD之间的重要中介因素。同时,IR可增强血小板活性、降低纤溶酶原激活物抑制剂-1 (PAI-1)的清除,导致血栓形成风险增加[44],这与PAD组血小板计数降低(可能因血小板活化消耗增加)的结果一致。在肾脏与血管损伤的交互影响方面,本研究发现PAD组的胱抑素C(CysC)、肌酐(Scr)水平显著升高,提示肾功能损伤与PAD可能存在交互作用。IR通过升高肾小球内压、促进蛋白尿形成,加速糖尿病肾病进展,而肾功能下降又可通过蓄积尿毒症毒素进一步加重血管内皮损伤,形成“IR–肾损伤–血管病变”的恶性循环[45]。这也解释了为何在调整传统危险因素后,CysC仍与PAD风险相关。

本研究综合采用受试者工作特征曲线(ROC曲线)、分层多变量回归分析,以及重分类改善指标(NRI)和综合判别改善指标(IDI)分析方法,对8种胰岛素抵抗(IR)相关指标在预测PAD方面的价值展开了系统比较。结果显示,不同指标的预测效能存在显著差异,具体分析如下:TG/HDL-C指数堪称最优综合预测指标,在本研究中展现出最高的ROC曲线下面积(AUC) 0.689,灵敏度为83.8%,特异度为48.5%。当该指数超过临界值1.477时,PAD的发生风险显著翻倍。然而,该结果略低于既往研究中TG/HDL-C指数对下肢动脉疾病的预测效能(AUC 0.71) [46]。经分析发现,既往研究的样本量相对较少,可能存在抽样偏差,进而影响了结果的准确性。在应用方面,TG/HDL-C指数具有显著优势:其一,TG和HDL-C均为临床常规血脂检测项目,基层医疗机构本身常开展此类检测,无需额外增加检测成本,易于在基层推广应用,基层医护人员可直接利用已有的检测数据进行计算和分析,快速对患者的PAD风险进行初步评估;其二,该指数能够同时反映胰岛素抵抗状态(高TG)和血管保护因子(低HDL-C)的失衡情况,与动脉粥样硬化的病理过程直接相关,医护人员可基于此指数直观了解患者的糖脂代谢情况及潜在血管病变风险,为后续进一步诊疗提供方向;其三,本研究确定的1.477最佳截点,可为临床风险分层提供量化依据;TyG指数是高灵敏度的初筛工具,其AUC为0.670,灵敏度高达87.4%,显著高于其他IR相关指标,这一结果表明TyG指数在PAD早期筛查中具有明显优势。TyG指数作为IR的经典替代指标,通过整合TG和空腹血糖(FBG),能够更全面地反映糖脂代谢紊乱情况[13]。本研究进一步发现,TyG指数在NRI和IDI分析中表现最佳,说明在传统风险模型基础上加入TyG指数可显著提升预测准确性。然而,该指数的特异度相对较低,可能导致假阳性率升高,因此,在临床应用中,需结合其他指标(如TG/HDL-C)进行综合判断,以提高诊断的准确性;LCI指数与Non-HDL-C/HDL-C指数展现出复合脂质指标的协同价值,二者的预测效能仅次于TG/HDL-C指数和TyG指数,且均显著高于基线模型。其中,LCI指数的AUC为0.670,它通过整合总胆固醇TC、TG、LDL-C与HDL-C,能够更全面地反映致动脉粥样硬化脂质谱的整体异常。本研究确定的其最佳截点15.677,可作为评估多重脂质紊乱的参考阈值,适用于需要全面评估脂质代谢紊乱情况的人群,比如那些患有复杂脂质代谢异常疾病的患者。对于这类患者,其脂质代谢情况往往较为复杂,单一指标难以准确反映全貌,而LCI指数则能很好地弥补这一不足;Non-HDL-C/HDL-C指数的AUC为0.647,该指数聚焦于非HDL-C (即致动脉粥样硬化脂蛋白的总和,通过TC减去HDL-C计算得出)与HDL-C的比值,更能反映动脉粥样硬化的风险。其预测价值与既往研究中“Non-HDL-C是心血管风险更强预测因子”的结论一致[47],这提示在PAD评估中,相比于单独的LDL-C仅反映其中一种动脉粥样硬化脂蛋白的水平,Non-HDL-C涵盖范围更广,更能捕捉整体脂质代谢紊乱对血管的影响。Non-HDL-C/HDL-C指数适用于糖尿病、代谢综合征、高甘油三酯血症、极低LDL-C患者有ASCVD (动脉粥样硬化性心血管疾病)风险的人群,尤其适用于甘油三酯轻、中度升高且已经是ASCVD或ASCVD高危的人群,从而为疾病的评估和治疗提供更全面的信息;HOMA-IR指数是效能有限的传统指标,其AUC为0.636,且在亚组分析中未表现出与PAD的显著关联,提示其预测价值有限。这一结果与HOMA-IR指数的固有缺陷密切相关:首先,其检测需依赖空腹胰岛素水平,而胰岛素作为一种蛋白质激素,稳定性较差,易受多种因素影响。例如,高温会导致其分子结构变性并形成不可逆的聚合体,低温则会使胰岛素结晶析出,这些因素都会影响检测结果的准确性[48];对于β细胞功能严重受损或缺失的患者,HOMA-IR指数可能无法提供准确的评估结果[49]。其次,HOMA-IR指数主要反映肝脏胰岛素抵抗状态[50]。肝脏作为血糖调控的核心器官,可通过HOMA-IR指数中包含的空腹血糖和胰岛素水平,调节血糖的储存与释放。当发生肝脏胰岛素抵抗时,外周脂肪组织分解会增加,游离脂肪酸向肝脏的转运增多,进而导致甘油三酯合成增加,引发肝细胞脂肪变性。这一过程会影响空腹血糖和胰岛素水平,并体现在HOMA-IR指数中,因此该指数在临床中可用于评估代谢性脂肪肝病的发生风险。而PAD更与外周血管胰岛素抵抗相关[51],这导致其与PAD的关联性较弱,从而限制了其在PAD预测中的应用。TyG-BMI指数、METS-IR指数与CI指数的预测效能欠佳,三者的AUC均低于0.6,且TyG-BMI指数、METS-IR指数在NRI分析中未表现出积极作用。具体原因分析如下:TyG-BMI指数通过TyG指数与BMI的乘积计算得出,但其预测效能并未优于单独使用TyG指数,这可能是由于BMI与胰岛素抵抗之间存在非线性关系,其中中心性肥胖的影响尤为显著。在中心性肥胖状态下,内脏脂肪会分泌多种物质干扰胰岛素信号传导,且内脏脂肪代谢活跃,会释放游离脂肪酸影响肝脏和肌肉的代谢功能,进而加重胰岛素抵抗。然而,TyG-BMI指数未充分考量这一复杂情况[52],从而干扰了其对PAD的预测结果;METS-IR指数的计算公式包含BMI、FBG、TG及HDL-C的对数转换,尽管从理论层面来看更为全面,但复杂的计算方式可能引入误差,且该指数受BMI波动的影响较大。PAD的发病机制具有多元性,并非仅由代谢相关指标的变化所决定,BMI的不稳定使METS-IR指数难以契合PAD复杂的病理生理过程;此外,PAD的发生主要与外周血管胰岛素抵抗及血管内皮功能障碍等因素密切相关,而METS-IR指数侧重于反映整体代谢状态,与PAD的核心致病因素关联性不强;CI指数仅基于LDL-C与HDL-C的差值计算得出,未整合总胆固醇等关键指标。以总胆固醇为例,其包含胆固醇酯和游离胆固醇,水平变化不仅反映膳食摄入情况,更与体内肝脏合成、代谢以及各组织器官对胆固醇的摄取密切相关。因此,CI指数反映脂质紊乱的全面性不足,这导致其在本研究中的预测效能较低。

当然,本研究也存在一定局限性:其一,本研究为单中心回顾性分析,可能存在选择偏倚和信息偏倚,难以代表广泛人群中PAD患者的真实状况,未来需通过扩大样本量、建立标准化质量控制体系、在研究设计阶段预设分层分析、多中心前瞻性队列研究减少偏倚,并验证研究结果的外推性;其二,研究仅检测了基线IR相关指标,未分析其随时间的变化与PAD进展的关联;其三,本研究未考虑不同类型药物IR相关指标及PAD病理进程的影响存在异质性,如,二甲双胍等胰岛素增敏剂可降低空腹胰岛素、胰岛素抵抗指数(HOMA-IR)等指标,可能弱化IR与PAD的关联强度;磺脲类等促胰岛素分泌剂则可能升高胰岛素水平,进而放大两者的关联性;此外,他汀类降脂药物在调脂的同时,可通过抗炎、改善血管内皮功能等机制间接影响IR指标与PAD进展,导致研究观察到的关联程度偏离真实情况。尽管存在上述局限性,但本研究作为初步探索性研究,仍具有一定的理论意义和基层应用价值。基于本研究结果,未来可从以下方面开展进一步研究:一是进一步分析IR相关指标与PAD患者截肢风险、心血管事件发生率的关系,以明确其对PAD预后的预测价值;二是结合IR相关指标、传统危险因素及其他生物标志物构建联合预测模型,以提升PAD风险评估的准确性;三是开展以IR相关指标为靶点的干预试验,验证通过改善IR是否能降低PAD的发生率。

5. 小结

本研究结果表明,在T2DM患者群体中,多项胰岛素抵抗(IR)相关指标与PAD的发生存在紧密关联。其中,TG/HDL-C指数和TyG指数在预测PAD发生方面展现出较高价值,尤其值得一提的是,TG/HDL-C指数凭借检测便捷、预测效能突出的优势,在临床应用中可被优先考虑。本研究为T2DM患者的健康管理开辟了全新思路,并提供了实用工具。在初级卫生保健机构对T2DM患者开展管理工作的过程中,医生应充分发挥这些IR相关指标的作用:一方面,借助这些指标更精准地评估患者的IR状态;另一方面,将其作为预测PAD发生风险的有效工具。医生可依据指标所反映的情况,为患者量身定制个性化干预策略。对于指标已达到或即将达到危险阈值的患者,医生需及时采取干预措施,引导患者调整行为模式与生活方式,从而预防PAD的发生。此外,密切关注IR相关指标的动态变化,不仅有助于更好地控制血糖水平,还能有效减缓T2DM的病情进展,提升患者的生活质量。

声 明

本研究获得宁夏回族自治区人民医院伦理委员会批准(审批号:伦理[2024]-LL-135),患者均签署知情同意书。

基金项目

宁夏回族自治区卫生健康科研项目(项目编号:2025-NWZD-B003) (宁夏回族自治区卫生健康基金资助项目)。

NOTES

*通讯作者。

参考文献

[1] Sun, H., Saeedi, P., Karuranga, S., Pinkepank, M., Ogurtsova, K., Duncan, B.B., et al. (2023) Erratum to “IDF Diabetes Atlas: Global, Regional and Country-Level Diabetes Prevalence Estimates for 2021 and Projections for 2045” [Diabetes Res. Clin. Pract. 183 (2022) 109119]. Diabetes Research and Clinical Practice, 204, Article ID: 110945. [Google Scholar] [CrossRef] [PubMed]
[2] Zhou, Y.C., Liu, J.M., Zhao, Z.P., et al. (2025) The National and Provincial Prevalence and Non-Fatal Burdens of Diabetes in China from 2005 to 2023 with Projections of Prevalence to 2050. Military Medical Research, 12, Article No. 28. [Google Scholar] [CrossRef] [PubMed]
[3] American Diabetes Association (2019) 1. Improving Care and Promoting Health in Populations: Standards of Medical Care in Diabetes—2020. Diabetes Care, 43, S7-S13. [Google Scholar] [CrossRef] [PubMed]
[4] 赵培. 下肢动脉血管彩色多普勒超声检查在糖尿病周围血管病变中的应用价值研究[J]. 中国社区医师, 2019, 35(36): 127-129.
[5] Rehman, Z.U. and Ram, N. (2023) Peripheral Arterial Disease (PAD) in Diabetics: Diagnosis and Management—A Narrative Review. Journal of the Pakistan Medical Association, 73, 621-626. [Google Scholar] [CrossRef] [PubMed]
[6] Hur, K.Y., Jun, J.E., Choi, Y.J., Lee, Y., Kim, D.J., Park, S.W., et al. (2018) Color Doppler Ultrasonography Is a Useful Tool for Diagnosis of Peripheral Artery Disease in Type 2 Diabetes Mellitus Patients with Ankle-Brachial Index 0.91 to 1.40. Diabetes & Metabolism Journal, 42, 63-73. [Google Scholar] [CrossRef] [PubMed]
[7] Singh, A., Shadangi, S., Gupta, P.K. and Rana, S. (2025) Type 2 Diabetes Mellitus: A Comprehensive Review of Pathophysiology, Comorbidities, and Emerging Therapies. Comprehensive Physiology, 15, e70003. [Google Scholar] [CrossRef] [PubMed]
[8] Lu, Y., Wang, W., Liu, J., Xie, M., Liu, Q. and Li, S. (2023) Vascular Complications of Diabetes: A Narrative Review. Medicine, 102, e35285. [Google Scholar] [CrossRef] [PubMed]
[9] Paneni, F., Beckman, J.A., Creager, M.A. and Cosentino, F. (2013) Diabetes and Vascular Disease: Pathophysiology, Clinical Consequences, and Medical Therapy: Part I. European Heart Journal, 34, 2436-2443. [Google Scholar] [CrossRef] [PubMed]
[10] American Diabetes Association (2003) Peripheral Arterial Disease in People with Diabetes. Diabetes Care, 26, 3333-3341. [Google Scholar] [CrossRef] [PubMed]
[11] Thiruvoipati, T., Kielhorn, C.E. and Armstrong, E.J. (2015) Peripheral Artery Disease in Patients with Diabetes: Epidemiology, Mechanisms, and Outcomes. World Journal of Diabetes, 6, 961-969. [Google Scholar] [CrossRef] [PubMed]
[12] DeFronzo, R.A., Tobin, J.D. and Andres, R. (1979) Glucose Clamp Technique: A Method for Quantifying Insulin Secretion and Resistance. American Journal of Physiology-Endocrinology and Metabolism, 237, E214-E223. [Google Scholar] [CrossRef] [PubMed]
[13] Ramdas Nayak, V.K., Satheesh, P. and Shenoy, M.T. (2022) Triglyceride Glucose (TyG) Index: A Surrogate Biomarker of Insulin Resistance. Journal of the Pakistan Medical Association, 72, 986-988. [Google Scholar] [CrossRef] [PubMed]
[14] Yuan, Y., Sun, W. and Kong, X. (2022) Comparison between Distinct Insulin Resistance Indices in Measuring the Development of Hypertension: The China Health and Nutrition Survey. Frontiers in Cardiovascular Medicine, 9, Article ID: 912197. [Google Scholar] [CrossRef] [PubMed]
[15] Nur Zati Iwani, A.K., Jalaludin, M.Y., Yahya, A., Mansor, F., Md Zain, F., Hong, J.Y.H., et al. (2022) TG: HDL-C Ratio as Insulin Resistance Marker for Metabolic Syndrome in Children with Obesity. Frontiers in Endocrinology, 13, Article ID: 852290. [Google Scholar] [CrossRef] [PubMed]
[16] Bello-Chavolla, O.Y., Almeda-Valdes, P., Gomez-Velasco, D., Viveros-Ruiz, T., Cruz-Bautista, I., Romo-Romo, A., et al. (2018) METS-IR, a Novel Score to Evaluate Insulin Sensitivity, Is Predictive of Visceral Adiposity and Incident Type 2 Diabetes. European Journal of Endocrinology, 178, 533-544. [Google Scholar] [CrossRef] [PubMed]
[17] Tahapary, D.L., Pratisthita, L.B., Fitri, N.A., Marcella, C., Wafa, S., Kurniawan, F., et al. (2022) Challenges in the Diagnosis of Insulin Resistance: Focusing on the Role of HOMA-IR and Tryglyceride/Glucose Index. Diabetes & Metabolic Syndrome: Clinical Research & Reviews, 16, Article ID: 102581. [Google Scholar] [CrossRef] [PubMed]
[18] 王亭. 三酰甘油-葡萄糖指数与2型糖尿病周围血管病变相关性分析[J]. 标记免疫分析与临床, 2021, 28(12): 2045-2049.
[19] 雷丽英. 2型糖尿病患者甘油三酯葡萄糖乘积对糖尿病周围血管病变的评估价值研究[J]. 黑龙江中医药, 2023, 52(6): 382-384.
[20] 中华医学会糖尿病学分会. 中国2型糖尿病防治指南(2020年版) [J]. 国际内分泌代谢杂志, 2021, 41(5): 482-548.
[21] Aboyans, V., Ricco, J.B., Bartelink, M.L.E.L., Björck, M., Brodmann, M., Cohnert, T., et al. (2018) 2017 ESC Guidelines on the Diagnosis and Treatment of Peripheral Arterial Diseases, in Collaboration with the European Society for Vascular Surgery (ESVS): Document Covering Atherosclerotic Disease of Extracranial Carotid and Vertebral, Mesenteric, Renal, Upper and Lower Extremity Arteries Endorsed by: The European Stroke Organization (ESO) the Task Force for the Diagnosis and Treatment of Peripheral Arterial Diseases of the European Society of Cardiology (ESC) and of the European Society for Vascular surgery (ESVS). European Heart Journal, 39, 763-816.
[22] Gerhard-Herman, M.D., Gornik, H.L., Barrett, C., Barshes, N.R., Corriere, M.A., Drachman, D.E., et al. (2017) AHA/ACC Guideline on the Management of Patients with Lower Extremity Peripheral Artery Disease: A Report of the American College of Cardiology/American Heart Association Task Force on Clinical Practice Guidelines. Circulation, 135, e726-e779.
[23] Ren, B., Li, B., Pan, T., Zhao, E., Ju, S., Li, X., et al. (2023) Risk Factors for At-Risk Foot and Peripheral Artery Disease among the Population with Diabetes: A Multicommunity-Based Cross-Sectional Study. Diabetes Research and Clinical Practice, 203, Article ID: 110869. [Google Scholar] [CrossRef] [PubMed]
[24] Cai, X., Zhu, Q., Liu, S., Wang, M., Wu, T., Hong, J., et al. (2021) Associations between the Metabolic Score for Insulin Resistance Index and the Risk of Type 2 Diabetes Mellitus among Non-Obese Adults: Insights from a Population-Based Cohort Study. International Journal of General Medicine, 14, 7729-7740. [Google Scholar] [CrossRef] [PubMed]
[25] Diniz, M.d.F.H.S., Beleigoli, A.M.R., Schmidt, M.I., Duncan, B.B., Ribeiro, A.L.P., Vidigal, P.G., et al. (2020) Homeostasis Model Assessment of Insulin Resistance (HOMA-IR) and Metabolic Syndrome at Baseline of a Multicentric Brazilian Cohort: ELSA-Brasil Study. Cadernos de Saúde Pública, 36, e00072120. [Google Scholar] [CrossRef] [PubMed]
[26] Son, D., Lee, H.S., Lee, Y., Lee, J. and Han, J. (2022) Comparison of Triglyceride-Glucose Index and HOMA-IR for Predicting Prevalence and Incidence of Metabolic Syndrome. Nutrition, Metabolism and Cardiovascular Diseases, 32, 596-604. [Google Scholar] [CrossRef] [PubMed]
[27] Duan, M., Zhao, X., Li, S., Miao, G., Bai, L., Zhang, Q., et al. (2024) Metabolic Score for Insulin Resistance (METS-IR) Predicts All-Cause and Cardiovascular Mortality in the General Population: Evidence from NHANES 2001-2018. Cardiovascular Diabetology, 23, Article No. 243. [Google Scholar] [CrossRef] [PubMed]
[28] Xiao, D., Sun, H., Chen, L., et al. (2024) Assessment of Six Surrogate Insulin Resistance Indexes for Predicting Cardiometabolic Multimorbidity Incidence in Chinese Middle-Aged and Older Populations: Insights from the China Health and Retirement Longitudinal Study. Diabetes/Metabolism Research and Reviews, 40, e3764.
[29] Renna, N.F., Lembo, C., Diez, E. and Miatello, R.M. (2013) Role of Renin-Angiotensin System and Oxidative Stress on Vascular Inflammation in Insulin Resistence Model. International Journal of Hypertension, 2013, Article ID: 420979. [Google Scholar] [CrossRef] [PubMed]
[30] Kosmas, C.E., Bousvarou, M.D., Kostara, C.E., Papakonstantinou, E.J., Salamou, E. and Guzman, E. (2023) Insulin Resistance and Cardiovascular Disease. Journal of International Medical Research, 51, 3000605231164548. [Google Scholar] [CrossRef] [PubMed]
[31] 肖露露, 梁永林, 李钦, 等. IRS1/PI3K信号通路在T2DM骨骼肌胰岛素抵抗中的相关研究进展[J]. 实用中医内科杂志, 2023, 37(6): 71-75.
[32] Cho, H., Lai, C., Bonnavion, R., Alnouri, M.W., Wang, S., Roquid, K.A., et al. (2025) Endothelial Insulin Resistance Induced by Adrenomedullin Mediates Obesity-Associated Diabetes. Science, 387, 674-682. [Google Scholar] [CrossRef
[33] Cho, H., Lai, C., Bonnavion, R., Alnouri, M.W., Wang, S., Roquid, K.A., et al. (2025) Endothelial Insulin Resistance Induced by Adrenomedullin Mediates Obesity-Associated Diabetes. Science, 387, 674-682. [Google Scholar] [CrossRef] [PubMed]
[34] Beverly, J.K. and Budoff, M.J. (2019) Atherosclerosis: Pathophysiology of Insulin Resistance, Hyperglycemia, Hyperlipidemia, and Inflammation. Journal of Diabetes, 12, 102-104. [Google Scholar] [CrossRef] [PubMed]
[35] Yecies, J.L., Zhang, H.H., Menon, S., Liu, S., Yecies, D., Lipovsky, A.I., et al. (2011) Akt Stimulates Hepatic SREBP1c and Lipogenesis through Parallel Mtorc1-Dependent and Independent Pathways. Cell Metabolism, 14, 21-32. [Google Scholar] [CrossRef] [PubMed]
[36] Biddinger, S.B., Hernandez-Ono, A., Rask-Madsen, C., Haas, J.T., Alemán, J.O., Suzuki, R., et al. (2008) Hepatic Insulin Resistance Is Sufficient to Produce Dyslipidemia and Susceptibility to Atherosclerosis. Cell Metabolism, 7, 125-134. [Google Scholar] [CrossRef] [PubMed]
[37] Ji, K.T., Qian, L., Nan, J.L., Xue, Y., Zhang, S., Wang, G., et al. (2015) Ox-LDL Induces Dysfunction of Endothelial Progenitor Cells via Activation of NF-κB. BioMed Research International, 2015, Article ID: 175291. [Google Scholar] [CrossRef] [PubMed]
[38] 刘宏飞, 魏翠英. STAT3信号通路在胰岛素抵抗中的研究进展[J]. 天津医药, 2020, 48(4): 343-347.
[39] Matulewicz, N. and Karczewska-Kupczewska, M. (2016) Insulin Resistance and Chronic Inflammation. Postępy Higieny i Medycyny Doświadczalnej (Online), 70, 1245-1258.
[40] Song, Y., Zhao, Y., Shu, Y., Zhang, L., Cheng, W., Wang, L., et al. (2023) Combination Model of Neutrophil to High-Density Lipoprotein Ratio and System Inflammation Response Index Is More Valuable for Predicting Peripheral Arterial Disease in Type 2 Diabetic Patients: A Cross-Sectional Study. Frontiers in Endocrinology, 14, Article ID: 1100453. [Google Scholar] [CrossRef] [PubMed]
[41] 张言佳, 王颖. 外周血血小板与淋巴细胞比值、中性粒细胞与淋巴细胞比值、单核细胞与淋巴细胞比值及全身免疫炎症指数对2型糖尿病周围神经病变的临床诊断价值[J]. 临床内科杂志, 2025, 42(2): 140-142.
[42] 黄光京, 周安邦, 徐媛媛, 等. 2型糖尿病患者单核细胞-淋巴细胞比值与糖尿病足的相关性[J]. 右江医学, 2023, 51(3): 204-210.
[43] 师佩华. 中性粒细胞/淋巴细胞比值、血小板/淋巴细胞比值和单核细胞/淋巴细胞比值与2型糖尿病合并冠心病的研究[D]: [硕士学位论文]. 锦州: 锦州医科大学, 2024.
[44] Juhan-Vague, I., Morange, P.E. and Alessi, M. (2002) The Insulin Resistance Syndrome: Implications for Thrombosis and Cardiovascular Disease. Pathophysiology of Haemostasis and Thrombosis, 32, 269-273. [Google Scholar] [CrossRef] [PubMed]
[45] Bonner, R., Albajrami, O., Hudspeth, J. and Upadhyay, A. (2020) Diabetic Kidney Disease. Primary Care: Clinics in Office Practice, 47, 645-659. [Google Scholar] [CrossRef] [PubMed]
[46] 苏晓燕, 黄昭穗, 郭琦. TG/HDL-C比值预测2型糖尿病下肢动脉硬化的价值[J]. 临床军医杂志, 2011, 39(5): 881-883.
[47] Raja, V., Aguiar, C., Alsayed, N., Chibber, Y.S., ElBadawi, H., Ezhov, M., et al. (2023) Non-HDL-Cholesterol in Dyslipidemia: Review of the State-of-the-Art Literature and Outlook. Atherosclerosis, 383, Article ID: 117312. [Google Scholar] [CrossRef] [PubMed]
[48] Richter, B., Bongaerts, B. and Metzendorf, M. (2023) Thermal Stability and Storage of Human Insulin. Cochrane Database of Systematic Reviews, 11, CD015385. [Google Scholar] [CrossRef] [PubMed]
[49] Miller, W.G., Thienpont, L.M., Van Uytfanghe, K., Clark, P.M., Lindstedt, P., Nilsson, G., et al. (2009) Toward Standardization of Insulin Immunoassays. Clinical Chemistry, 55, 1011-1018. [Google Scholar] [CrossRef] [PubMed]
[50] Cetin, E.G., Demir, N. and Sen, I. (2020) The Relationship between Insulin Resistance and Liver Damage in Non-Alcoholic Fatty Liver Patients. The Medical Bulletin of Sisli Hospital, 54, 411-415. [Google Scholar] [CrossRef] [PubMed]
[51] Signorelli, S.S., Scuto, S., Marino, E., Xourafa, A. and Gaudio, A. (2019) Oxidative Stress in Peripheral Arterial Disease (PAD) Mechanism and Biomarkers. Antioxidants, 8, Article No. 367. [Google Scholar] [CrossRef] [PubMed]
[52] Mocciaro, G. and Gastaldelli, A. (2022) Obesity-Related Insulin Resistance: The Central Role of Adipose Tissue Dysfunction. In: Eckel, J. and Clément, K., Eds., Handbook of Experimental Pharmacology, Springer International Publishing, 145-164. [Google Scholar] [CrossRef] [PubMed]