基于多参数MRI影像组学与深度学习预测高危多发性骨髓瘤的研究
Predicting High-Risk Multiple Myeloma Based on Multiparametric MRI Radiomics and Deep Learning
摘要: 目的:本研究旨在构建基于多参数MRI的影像组学模型、深度学习模型及影像组学深度学习联合模型,并评估不同模型预测高危多发性骨髓瘤的效能。方法:本研究回顾性收集了青岛大学附属医院从2014年5月至2025年3月经病理确诊的140例多发性骨髓瘤脊椎MRI图像,共258个病变,按照8:2的比例随机分为训练集(n = 206)、验证集(n = 52)。基于MRI常规序列矢状位T1WI、T2WI和FS-T2WI图像,使用ITK-SNAP软件对最大病灶累及椎体逐层勾画感兴趣区(Region of interest, ROI),人工提取影像组学特征,并采用2.5D Densenet169深度学习模型自动提取深度学习特征,分别构建影像组学模型和深度学习模型,然后通过多元逻辑回归将选择的影像组学特征和深度学习特征融合构建影像组学深度学习联合模型。采用受试者工作特征曲线(Operating characteristics curve, ROC)、曲线下面积(Area under curve, AUC)、灵敏度、特异度和准确度评估影像组学模型、深度学习模型和影像组学深度学习联合模型的预测效能。采用决策曲线分析(Decision curve analysis, DCA)比较三种模型在不同决策阈值下的净获益。结果:最终选择了4个影像组学特征和1个深度学习特征构建影像组学深度学习联合模型。影像组学深度学习联合模型的AUC值(训练集:0.996;验证集:0.893)高于影像组学模型和深度学习模型。决策曲线分析结果显示影像组学深度学习联合模型在预测高危多发性骨髓瘤方面具有更好的临床适用性。结论:影像组学深度学习联合模型在预测高危多发性骨髓瘤方面相较于其他两种模型具有更好的效能,有助于制定临床治疗策略。
Abstract: Objective: This study aimed to construct radiomics models, deep learning models, and integrated radiomics-deep learning models based on multiparametric MRI, and to evaluate the performance of different models in predicting high-risk multiple myeloma. Methods: This study retrospectively collected 140 patients in the Affiliated Hospital of Qingdao University from May 2014 and March 2025, including 258 vertebral lesions, all patients were pathologically confirmed multiple myeloma. The lesions were randomly divided into training (n = 206) and validation (n = 52) sets at an 8:2 ratio. Based on conventional MRI sequence, including sagittal T1-weighted imaging(T1WI), T2-weighted imaging (T2WI), and fat-suppressedT2-weighted imaging (FS-T2WI). The ROI was manually segmented on the largest lesion-involved vertebral body using ITK-SNAP software. Radiomics features were manually extracted, while a 2.5D DenseNet169 deep learning model was employed to automatically extract deep learning features. Separate radiomics and deep learning models were constructed, followed by an integrated radiomics-deep learning model developed by combining selected features through multivariate logistic regression. The predictive efficiency of the radiomics, deep learning, and integrated models was evaluated using receiver operating characteristic curves (ROC), area under the curve (AUC), sensitivity, specificity, and accuracy. Decision curve analysis (DCA) was applied to compare the net benefits of the three models across different decision thresholds. Results: A combined radiomics-deep learning model was constructed using four radiomic features and one deep learning feature. The AUC values of the combined radiomics-deep learning model (training set: 0.996; validation set: 0.893) were higher than those of the radiomics model and the deep learning model. Decision curve analysis results demonstrated that the combined radiomics-deep learning model has better clinical applicability in predicting high-risk multiple myelomacon. Conclusion: The integrated radiomics-deep learning model demonstrated superior performance in predicting high-risk multiple myeloma compared to the other two models, suggesting its potential for guiding clinical treatment strategies.
文章引用:张清源, 王瑶, 孙丽, 邵雅静, 高传平. 基于多参数MRI影像组学与深度学习预测高危多发性骨髓瘤的研究[J]. 临床医学进展, 2026, 16(1): 2611-2621. https://doi.org/10.12677/acm.2026.161321

1. 引言

多发性骨髓瘤(Multiple Myeloma, MM)是一种浆细胞恶性增殖性疾病,其特征是产生过量的单克隆免疫球蛋白,约占血液系统恶性肿瘤的10% [1] [2]。临床表现包括病人感染风险增加、贫血以及由溶骨性病变引起的骨痛、病理性骨折等[3]。近年来,虽然MM的治疗取得了显著进展,然而标危多发性骨髓瘤(Standard-Risk Multiple Myeloma, SRMM)和高危多发性骨髓瘤((High-Risk Multiple Myeloma, HRMM))患者预后仍存在明显差异[4]-[6]

目前,MM的危险分层主要依据细胞遗传学因素和临床指标[6]。相关研究将t (4; 14)、t (14; 16)、t (14; 20)、del 17p、1q21染色体扩增或p53突变确定为MM高危细胞遗传学(High risk cytogenetics abnormalities, HRCAs)状态,当患者同时携带两种HRCAs时,定义为“双打击”骨髓瘤;如果存在三种及以上异常,则归为“三打击”骨髓瘤,这类患者预后往往更差[7]。HRMM临床指标主要有高乳酸脱氢酶、高浆细胞增殖指数、肾衰竭、髓外病变等[8]。目前,确定HRMM最可靠的方法仍为细胞遗传学检查[4]

影像组学是从CT、MRI图像提取出数量庞大的、能用来做定量分析的特征数据,分析肉眼无法观察到却可能和疾病预测相关的高维信息。既往,影像组学在MM中已有较多相关研究,如预测MM预后、MM和溶骨性骨转移瘤的鉴别及对MM治疗反应的预测[2] [9] [10],并有相关研究证明了影像组学预测HRCAs及骨髓活检结果的可行性[11] [12]

深度学习特指以深层神经网络模型为基础的机器学习。其中2.5D模型是介于传统2D模型和3D模型深度学习之间的混合维度分析方法,通过多视角2D切片组合来近似3D空间信息。2D模型将孤立的2D切片作为输入,忽视3D图像的空间信息和2D切片之间的相关性[13]。而3D模型对样本数据要求较大,小样本数据易出现过拟合问题,并且3D模型的参数是2D模型的几倍,其数据分析负担明显高于2D模型[14]。2.5D模型则是两者间的一种均衡,既可以保留2D模型计算轻量化的优势,又一定程度保留3D模型的空间信息。

在本研究中,我们旨在开发基于多参数MRI的深度学习特征和影像组学特征的影像组学模型、深度学习模型以及影像组学深度学习联合模型,并对预测高危多发性骨髓瘤的不同模型的诊断效能进行评估。

2. 材料与方法

2.1. 研究对象

本研究回顾性地收集了于青岛大学附属医院从2014年5月至2025年3月经病理确诊的140名多发性骨髓瘤患者的258个不同部位(颈椎、胸椎和腰椎)椎体MRI检查图像及临床信息。其中包括61例HRMM患者及79例SRMM患者。本研究经青岛大学附属医院医学伦理委员会批准,放弃患者签署知情同意书。本研究中,将所有患者每个检查部位的MRI矢状位图像分别作为单独的研究对象,按照8:2的比例,随机划分为训练集(n = 206)和验证集(n = 52)。

本研究中HRMM患者的定义:(1) FISH检测至少存在以下一种细胞遗传学状态:t (4; 14)、t (14; 16)、t (14; 20)、del 17p、1q21染色体扩增或p53突变;(2) 存在髓外病变(Extramedullary Disease, EMD)。

2.2. 纳入标准

(1) 患者有完整的常规脊柱MRI检查;

(2) 患者行MRI检查前未进行手术或放化疗等临床干预;

(3) 患者经病理确诊为多发性骨髓瘤;

(4) 患者进行FISH检测,获得可靠的FISH检测结果。

2.3. 排除标准

(1) 脊椎骨转移瘤和其他原发性脊柱骨肿瘤;

(2) 病灶过小无法勾画感兴趣区域(Region of Interest, ROI);

(3) 图像质量差,无法用于分析。

2.4. MRI图像获取

本研究中所有患者(n = 140)均接受了脊椎常规MRI检查,包括矢状位T1WI、T2WI和FS-T2WI三种序列。本研究使用的MRI扫描仪包括:德国Siemens Magnetom Skyra 3.0T磁共振仪和德国Siemens Prism3.0T磁共振仪,扫描参数如表1所示。医学数字成像和通信(Digital imaging and communications in medicine, DICOM)图像数据用于提取影像组学特征。在深度学习特征提取中,所有的图像被导出成PNG格式。

Table 1. Scanning parameters of vertebrae MRI examination sequences

1. 脊椎MRI检查各序列扫描参数

成像参数

矢状位T1WI

矢状位T2WI

矢状位FS-T2WI

颈椎

胸椎

腰椎

颈椎

胸椎

腰椎

颈椎

胸椎

腰椎

重复时间(ms)

420~650

600~800

400~800

2800~3400

3000~3500

2500~3500

2600~3400

3000~3500

3000~4000

回波时间(ms)

10~20

8~10

10~30

80~100

80~150

100~120

80~100

40~100

50~110

视野(mm2)

260 × 260

320 × 320

300 × 300

320 × 320

260 × 260

300 × 300

260 × 260

320 × 320

300 × 300

矩阵

224 × 320

269 × 384

240 × 320

224 × 320

269 × 384

288 × 384

224 × 320

269 × 384

384 × 384

层厚(mm)

4

4

4

4

4

4

4

4

4

层间距(mm)

0.8

0.8

0.8

0.8

0.8

0.8

0.8

0.8

0.8

2.5. 三维ROI分割及影像组学特征提取

在提取影像组学特征之前,采用“μ ± 3σ”方法校正不同设备和扫描参数导致的图像差异,对图像强度进行标准化处理。采用“N4ITK”偏置校正来校正图像采集过程中由于扫描仪磁场的不均匀性而引起的强度不均匀性,以提高图像的信噪比。由两名分别具有8年和15年骨骼肌肉系统影像诊断经验的放射科医师使用ITK-SNAP软件(版本3.8.0,http://www.itksnap.org)勾画病变ROI。提取影像组学特征在OnekeyAI平台(https://github.com/OnekeyAI-Platform/onekey)进行。利用原始MRI 图像上描绘的病变ROI提取影像组学特征。每个序列各提取了1197个定量影像组学特征。这些影像特征包括灰度依赖矩阵特征(n = 182)、灰度共生矩阵特征(n = 312)、一阶特征(n = 234)、三维形状特征(n = 14)、灰度游程长度矩阵特征(n = 208)、灰度大小区域矩阵特征(n = 208)、邻域灰度差矩阵特征(n = 65)和小波变换类型特征(n = 744)。

2.6. 影像组学特征的组内和组间相关系数

本研究中通过组内及组间相关系数(Inter-class and intra-class correlation coefficients, ICCs)对ROI观察者一致性进行评估。具体实施办法为:首先由一名具有15年影像诊断经验的资深放射科医师和一名中级放射科医师(8年影像诊断经验)完成全部ROI勾画,将两位医师勾画的ROI结果进行联合分析,以评估组间相关系数。具有15年影像诊断经验的资深放射科医师在间隔时间1个月后重复勾画,将前后两次结果进行联合分析,以评估组内相关系数;两名放射科医生均对MM患者危险分层不知情。ICCs均 ≥ 0.75的特征被认为是一致性稳定的特征,并被纳入后续研究中,排除ICCs < 0.75的影像组学特征。

2.7. 影像组学特征筛选

首先,我们利用Z-分数归一化,使影像组学特征数据标准化。特征选择过程包括以下四个步骤:(1) 使用Mann-Whitney U检验保留P < 0.05特征;(2) 进行Pearson相关分析。通过随机选择排除相关系数超过0.9的特征;(3) 采用最大相关–最小冗余(minimum redundancy - maximum relevance, mRMR)筛选100个影像组学特征;(4) 利用最小绝对收缩选择算子(least absolute shrinkage selection operator, LASSO)识别具有统计学意义的特征影像组学特征标准化及特征筛选在OnekeyAI平台上实现。

2.8. 深度学习模型数据预处理

通过计算ROI每个层面的面积来找到ROI最大截面,对于每个提取的层面,根据ROI区域计算边界框并向外扩展5个像素,然后裁剪出包含ROI的图像区域。接着对裁剪后的图像进行归一化处理(转换为0~255范围的8位图像),使用unsharp mask技术进行锐化增强以及90度顺时针旋转校正。最终将处理后的图像以PNG格式保存,图片分辨率归一化为224 × 224,以适应网络的输入大小,实现从3D医学影像到2D切片图像的批量转换和预处理。随后,将每个患者T1WI、T2WI和FS-T2WI序列上的3个2D最大截面的切片图像进一步融合成一个文件,作为NumPy数组存储,该步骤在OnekeyAI平台上实现。在此步骤中,病灶在三个序列中的最大截面2D切片转换为一个2.5D数据,这些2.5D数据将用于深度学习模型的训练与验证。

2.9. 影像组学与深度学习模型选择

在本研究中,我们采用了极端随机树算法(Extremely Randomized Trees, ExtraTrees)来进行多发性骨髓瘤患者的危险分层。ExtraTrees模型的初始超参数设定如下:n_estimators = 4,max_depth = 2,min_samples_split = 2,random_state = 0,并且我们使用了5折交叉验证来优化影像组学模型的参数。

对于深度学习模型,我们选择DenseNet169模型框架。2.5D DenseNet169模型批量大小设置为16。参数通过基于无穷范数的自适应矩估计优化器(Adamax)进行更新。在本研究中,交叉熵损失函数的初始学习率为0.0001,模型的批量大小设置为16,迭代次数为300。2.5D DenseNet169模型的训练和验证在OnekeyAI平台上完成。

影像组学深度学习联合模型基于筛选后的影像组学与深度学习特征构建,ExtraTrees仍然作为联合模型的架构,联合模型初始超参数设定同影像组学模型参数。

2.10. 不同模型性能评估

在训练集和测试集中,本研究采用受试者工作特征曲线(Operating characteristics curve, ROC)、曲线下面积(area under the curve, AUC)、灵敏度、特异度和准确度评估影像组学模型、深度学习模型和影像组学深度学习联合模型的预测效能,训练集和测试集的置信区间(Confidence intervals, CI)为95%。采用决策曲线分析(Decision curve analysis, DCA)评估三种不同模型获得的临床净收益。工作流程见图1

2.11. 统计学分析

本研究统计分析采用R统计软件(https://www.r-project.org;4.1.2版本)和SPSS软件(v25.0, IBM)完成。双尾P值 < 0.05为有统计学意义。使用R统计软件进行受试者工作特征曲(ROC)绘制并计算曲线下面积(AUC),对于不同模型之间AUC的差异则通过DeLong 检验进行比较。本研究每一步使用的R软件包如表2所示。

Table 2. The R packages utilized in this analysis

2. R软件中应用的R包

步骤

R包

受试者工作特征曲线(ROC)

pROC

列线图和校准曲线

Hmsic, lattice, survival, Formula, ggplot2, rms

决策曲线分析(DCA)

rmda

Figure 1. Workflow for building the radiomics, deep learning, and integrated Radiomics-Deep learning models

1. 影像组学模型、深度学习模型及影像组学深度学习联合模型构建工作流程

3. 结果

3.1. 研究对象基本情况

本研究共纳入了140名患者的258个不同部位椎体MRI图像及临床信息。其中包括61例HRMM (男26例,女35例,年龄范围:44~78岁,平均年龄:61岁)患者及79例SRMM患者(男42例,女37例,年龄范围:34~84岁,平均年龄:62岁)。将所有患者每个检查部位的MRI矢状位图像分别作为单独的研究对象,按照8:2随机分为训练集及验证集。

3.2. 影像组学模型、深度学习模型和影像组学深度学习联合模型构建

影像组学特征经过最小绝对收缩和选择算子方法(LASSO)共筛选21个影像组学特征,使用ExtraTrees模型构建多模态影像组学模型。本研究中使用2.5Ddensenet169深度学习模型框架,用于预测高危多发性骨髓瘤,在OnekeyAI平台上完成该模型的训练和验证。使用主成分分析方法(PCA)将提取的深度学习特征降维至256个。将经过降维处理后最终筛选出的21个影像群学特征与256个深度学习特征进行整合,重复影像组学特征筛选方法,最终筛选出1个深度学习特征和4个影像组学特征,使用ExtraTrees模型构建影像组学深度学习联合模型。

3.3. 不同预测模型性能比较

本研究基于影像组学特征与深度学习特征融合建立影像组学深度学习联合模型。校准曲线显示,影像组学深度学习联合模型在训练集和测试集上都有很好的校准。(如图2)

(a) (b)

Figure 2. Calibration curves of the radiomics model, deep learning model, and integrated radiomics-deep learning model in the training set (a) and validation set (b)

2. 影像组学模型、深度学习模型及影像组学深度学习联合模型在训练集(a)和验证集(b)上的校准曲线

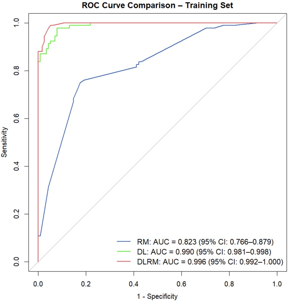
(a) (b)

Figure 3. ROC curves for the radiomics model, deep learning model, and integrated radiomics-deep learning model in the training set (a) and validation set (b)

3. 影像组学模型、深度学习模型及影像组学深度学习联合模型在训练集(a)和验证集(b)上的ROC曲线

与影像组学和深度学习预测模型比较,影像组学深度学习联合模型在预测HRMM方面表现良好,具有最高AUC,为0.893 (95% CI: 0.787~0.999)。图3显示了训练集和测试集的三种模型的ROC曲线。

临床决策曲线分析(图4)显示,在一个合理的阈值概率范围内,影像组学深度学习联合模型的曲线下面积高于影像组学模型和深度学习模型,可以为患者提供最大的临床收益。

(a) (b)

Figure legend. The y-axis represents net benefit, and the x-axis represents threshold probability. The “All” curve indicates the net benefit when all patients are assumed to be positive, while the “None” curve indicates the net benefit when all patients are assumed to be negative. The combined diagnostic model (green line) demonstrated the largest area under the curve and provided a higher overall net benefit in predicting HRMM compared to the radiomics model (red line) and the deep learning model (purple line).

图注. y轴表示净收益,x轴表示阈值概率。“All”曲线表示假设所有患者均为阳性时的净收益,“None”曲线表示假设所有患者均为阴性时的净收益。联合诊断模型(绿线)具有最大的曲线下面积,比影像组学模型(红线)和深度学习模型(紫线)在预测HRMM方面具有更高的总体净收益。

Figure 4. Decision curve analysis for the radiomics model, deep learning model, and integrated radiomics-deep learning model in the training set (a) and validation set (b)

4. 影像组学模型、深度学习模型及影像组学深度学习联合模型在训练集(a)和验证集(b)上的临床决策曲线

4. 讨论

在这项回顾性研究中,我们开发并验证了基于多参数MRI的影像组学模型、深度学习模型和影像组学深度学习联合模型用于预测HRMM。我们对三种模型效能进行评估,发现与单独使用影像组学模型和深度学习模型相比,影像组学深度学习联合模型预测效能最好(AUC:测试集,0.893),同时DCA曲线显示出良好的适应度和较高的临床实用性,可以为临床策略决策提供有效支撑。

MM在血液系统恶性肿瘤居第二位,目前仍无法根治[11]。MM患者标准一线治疗为VRd (硼替佐米/来那度胺/地塞米松)方案,完全缓解率达50% [15]。但现有临床证据显示,HRMM患者对RVd治疗方案疗效较差,需要探索基于新药物的优化治疗方案,以缓解深度不足和远期生存获益欠佳[8]。另外,相关研究表明对于符合自体造血干细胞移植(Autologous Stem Cell Transplantation, ASCT)的SRMM患者采用KRd方案(卡非佐米/来那度胺/地塞米松)或VRd (硼替佐米/来那度胺/地塞米松)方案虽无明显差异,但对于HRMM患者,采用ASCT联合KRd方案(卡非佐米/来那度胺/地塞米松)可使患者的长期生存结局得到明显改善[16]。对于不符合ASCT的HRMM患者,在疾病早期接受D-VRd (达雷妥尤单抗/硼替佐米/来那度胺/地塞米松)方案对患者的总生存期有明显的改善[17]-[19]。因此,早期对MM患者的危险分层进行准确评估,对患者的个体化管理和临床治疗决策非常重要,能明显减轻或延缓终末脏器损害,延长患者生存期。

目前对MM细胞遗传学检测的方法主要是荧光原位杂交法(Fluorescence in situ hybridization, FISH)或新一代测序技术(Next-generation sequencing, NGS)分析[20] [21]。FISH技术凭借高灵敏度、特异性及稳定性成为MM细胞遗传学异常检测的金标准[1]。NGS技术又称“二代测序技术”,与传统测序一次只能测一条DNA片段不同,NGS的核心思想是“边合成边测序”和“大规模并行测序”,其高通量的特点将生物学研究带入了大数据时代,其自动化分析也可有效降低人工计数造成的主观判读误差。然而MM具有高度空间异质性,骨髓内病灶分布不均,而FISH或NGS检查均需要通过骨髓抽吸或骨髓活检后获得,因此可能因样本不足、漏检局部高危克隆导致穿刺失败或出现假阴性结果[22]。并且FISH和NGS检查均为侵入性检查方法,可能会引起患者的不适,同时存在出血、感染等并发症风险[12]。此外,FISH和NGS检查需要专业实验室支持,费用较高,部分医疗机构难以常规开展。为了克服这些局限性,亟需开发一种非侵入性检测方法准确评估MM患者的危险分层。

MM主要累及骨髓[23]。磁共振成像(Magnetic resonance imaging, MRI)作为无创检查方法,具有良好的软组织对比度,可以在出现明确骨质破坏前探测肿瘤骨髓浸润,被欧洲骨髓瘤网络和欧洲肿瘤医学学会指南推荐为检测骨髓受累的金标准成像方式[24] [25]。脊椎MRI常规扫描包含反映肿瘤整体异质性的重要高维影像特征,而这些高维的影像特征无法用肉眼辨别。但近年来,影像组学及深度学习成为现代成像分析的重要工具,作为克服视觉评估局限性的一种手段,能够自动医学影像中提取和分析肉眼难以识别的更深、更细微的特征,这些特征可能与肿瘤的侵袭性及预后有关[26]-[28]。在本研究中,我们选择了更有利于临床工作的MRI常规序列(矢状位T1WI、矢状位T2WI和矢状位FS-T2WI)来预测HRMM,避免了额外的检查序列及使用对比剂增加检查成本及风险。我们开发的影像组学模型及基于2.5D densenet169的深度学习模型在预测HRMM方面表现良好,显示了较好的诊断效能。

模型融合不仅能够整合不同模型的优势,还可以实现多模态数据间的信息互通与协同[29]。为了进一步提高模型的效能,我们通过融合影像组学特征与深度学习特征,构建了影像组学深度学习联合模型,测试集AUC为0.893 (95% CI: 0.787~0.999),准确率为88.50%。在测试集中,我们的影像组学深度学习联合诊断模型相较于单一模型表现了更好的诊断效能以及最高的准确度,能够为临床治疗策略的制订提供有效信息、减少不必要的检查。

本研究也存在一定的局限性。第一,该研究为单中心、回顾性研究,虽然实行了严格的纳排标准,然而回顾性方法本身潜在的选择偏倚问题是难以完全规避的。第二,本研究中ROI的勾画依赖于放射科医生的手工操作,这是有一定的主观能动性的。在今后的学习中,我们将对减少主观偏差的半自动分割法和全自动分割法进行探索。第三,本次研究的样本量较小,仅采用常规MRI序列进行建模,为进一步提高影像组学深度学习联合模型对预测HRMM的效能,未来将纳入多中心医疗数据,扩大样本规模,构建独立的外部验证集。

5. 结论

基于对HRMM具有良好的预测效果的多参数MRI影像组学深度学习联合模型,能够为临床医生的治疗策略制定,减少不必要的影像学检查或创伤性活检,从而促进个性化治疗,提供有效的信息。

NOTES

*第一作者。

#通讯作者。

参考文献

[1] Rajkumar, S.V., Dimopoulos, M.A., Palumbo, A., Blade, J., Merlini, G., Mateos, M., et al. (2014) International Myeloma Working Group Updated Criteria for the Diagnosis of Multiple Myeloma. The Lancet Oncology, 15, e538-e548. [Google Scholar] [CrossRef] [PubMed]
[2] Wu, Z., Bian, T., Dong, C., Duan, S., Fei, H., Hao, D., et al. (2022) Spinal MRI-Based Radiomics Analysis to Predict Treatment Response in Multiple Myeloma. Journal of Computer Assisted Tomography, 46, 447-454. [Google Scholar] [CrossRef] [PubMed]
[3] Morita, K., Karashima, S., Terao, T., Yoshida, K., Yamashita, T., Yoroidaka, T., et al. (2024) 3D CNN-Based Deep Learning Model-Based Explanatory Prognostication in Patients with Multiple Myeloma Using Whole-Body MRI. Journal of Medical Systems, 48, Article No. 30. [Google Scholar] [CrossRef] [PubMed]
[4] Mohan Lal, B., van Rhee, F. and Al Hadidi, S. (2025) Current State of Evidence on Definitions and Management of High-Risk Multiple Myeloma. Current Oncology Reports, 27, 258-277. [Google Scholar] [CrossRef] [PubMed]
[5] Soekojo, C.Y., Chung, T., Furqan, M.S. and Chng, W.J. (2022) Genomic Characterization of Functional High-Risk Multiple Myeloma Patients. Blood Cancer Journal, 12, Article No. 24. [Google Scholar] [CrossRef] [PubMed]
[6] Caro, J., Al Hadidi, S., Usmani, S., Yee, A.J., Raje, N. and Davies, F.E. (2021) How to Treat High-Risk Myeloma at Diagnosis and Relapse. American Society of Clinical Oncology Educational Book, 41, 291-309. [Google Scholar] [CrossRef] [PubMed]
[7] Dingli, D., Ailawadhi, S., Bergsagel, P.L., Buadi, F.K., Dispenzieri, A., Fonseca, R., et al. (2017) Therapy for Relapsed Multiple Myeloma. Mayo Clinic Proceedings, 92, 578-598. [Google Scholar] [CrossRef] [PubMed]
[8] (2024) Chinese Expert Consensus on Diagnosis and Treatment of High Risk Multiple Myeloma. Chinese Journal of Hematology, 45, 430-435.
[9] Schenone, D., Dominietto, A., Campi, C., Frassoni, F., Cea, M., Aquino, S., et al. (2021) Radiomics and Artificial Intelligence for Outcome Prediction in Multiple Myeloma Patients Undergoing Autologous Transplantation: A Feasibility Study with CT Data. Diagnostics, 11, Article 1759. [Google Scholar] [CrossRef] [PubMed]
[10] Lee, S., Lee, S., Kim, S., Huh, Y., Lee, J., Lee, K., et al. (2023) Differentiating Multiple Myeloma and Osteolytic Bone Metastases on Contrast-Enhanced Computed Tomography Scans: The Feasibility of Radiomics Analysis. Diagnostics, 13, Article 755. [Google Scholar] [CrossRef] [PubMed]
[11] Liu, J., Wang, C., Guo, W., Zeng, P., Liu, Y., Lang, N., et al. (2021) A Preliminary Study Using Spinal MRI-Based Radiomics to Predict High-Risk Cytogenetic Abnormalities in Multiple Myeloma. La Radiologia Medica, 126, 1226-1235. [Google Scholar] [CrossRef] [PubMed]
[12] Wennmann, M., Ming, W., Bauer, F., Chmelik, J., Klein, A., Uhlenbrock, C., et al. (2023) Prediction of Bone Marrow Biopsy Results from MRI in Multiple Myeloma Patients Using Deep Learning and Radiomics. Investigative Radiology, 58, 754-765. [Google Scholar] [CrossRef] [PubMed]
[13] Huang, L., Zhao, Z., An, L., Gong, Y., Wang, Y., Yang, Q., et al. (2024) 2.5D Transfer Deep Learning Model for Segmentation of Contrast-Enhancing Lesions on Brain Magnetic Resonance Imaging of Multiple Sclerosis and Neuromyelitis OPTICA Spectrum Disorder. Quantitative Imaging in Medicine and Surgery, 14, 273-290. [Google Scholar] [CrossRef] [PubMed]
[14] Zhang, Y., Chen, Z., Bu, Y., Lei, P., Yang, W. and Zhang, W. (2024) Construction of a 2.5D Deep Learning Model for Predicting Early Postoperative Recurrence of Hepatocellular Carcinoma Using Multi-View and Multi-Phase CT Images. Journal of Hepatocellular Carcinoma, 11, 2223-2239. [Google Scholar] [CrossRef] [PubMed]
[15] Liu, S., Liu, C., Pan, H., Li, S., Teng, P., Li, Z., et al. (2025) Magnetic Resonance Imaging-Based Nomograms Predict High-Risk Cytogenetic Abnormalities in Multiple Myeloma: A Two-Centre Study. Clinical Radiology, 82, Article 106768. [Google Scholar] [CrossRef] [PubMed]
[16] Kumar, S.K., Jacobus, S.J., Cohen, A.D., Weiss, M., Callander, N., Singh, A.K., et al. (2020) Carfilzomib or Bortezomib in Combination with Lenalidomide and Dexamethasone for Patients with Newly Diagnosed Multiple Myeloma without Intention for Immediate Autologous Stem-Cell Transplantation (ENDURANCE): A Multicentre, Open-Label, Phase 3, Randomised, Controlled Trial. The Lancet Oncology, 21, 1317-1330. [Google Scholar] [CrossRef] [PubMed]
[17] Rajkumar, S.V. (2024) Multiple Myeloma: 2024 Update on Diagnosis, Risk-Stratification, and Management. American Journal of Hematology, 99, 1802-1824. [Google Scholar] [CrossRef] [PubMed]
[18] Facon, T., Venner, C.P., Bahlis, N.J., Offner, F., White, D.J., Karlin, L., et al. (2021) Oral Ixazomib, Lenalidomide, and Dexamethasone for Transplant-Ineligible Patients with Newly Diagnosed Multiple Myeloma. Blood, 137, 3616-3628. [Google Scholar] [CrossRef] [PubMed]
[19] Mateos, M., Cavo, M., Blade, J., Dimopoulos, M.A., Suzuki, K., Jakubowiak, A., et al. (2020) Overall Survival with Daratumumab, Bortezomib, Melphalan, and Prednisone in Newly Diagnosed Multiple Myeloma (ALCYONE): A Randomised, Open-Label, Phase 3 Trial. The Lancet, 395, 132-141. [Google Scholar] [CrossRef] [PubMed]
[20] Callander, N.S., Baljevic, M., Adekola, K., Anderson, L.D., Campagnaro, E., Castillo, J.J., et al. (2022) NCCN Guidelines® Insights: Multiple Myeloma, Version 3.2022. Journal of the National Comprehensive Cancer Network, 20, 8-19. [Google Scholar] [CrossRef] [PubMed]
[21] Smith, S.C., Althof, P.A., Dave, B.J. and Sanmann, J.N. (2020) High-Risk Cytogenetics in Multiple Myeloma: Further Scrutiny of Deletions within the IGH Gene Region Enhances Risk Stratification. Genes, Chromosomes and Cancer, 59, 569-574. [Google Scholar] [CrossRef] [PubMed]
[22] Kumar, S.K., Rajkumar, V., Kyle, R.A., van Duin, M., Sonneveld, P., Mateos, M., et al. (2017) Multiple Myeloma. Nature Reviews Disease Primers, 3, Article No. 17046. [Google Scholar] [CrossRef] [PubMed]
[23] Cowan, A.J., Green, D.J., Kwok, M., Lee, S., Coffey, D.G., Holmberg, L.A., et al. (2022) Diagnosis and Management of Multiple Myeloma. JAMA, 327, 464-477. [Google Scholar] [CrossRef] [PubMed]
[24] Zamagni, E., Tacchetti, P. and Cavo, M. (2019) Imaging in Multiple Myeloma: How? When? Blood, 133, 644-651. [Google Scholar] [CrossRef] [PubMed]
[25] Hillengass, J., Fechtner, K., Weber, M., Bäuerle, T., Ayyaz, S., Heiss, C., et al. (2010) Prognostic Significance of Focal Lesions in Whole-Body Magnetic Resonance Imaging in Patients with Asymptomatic Multiple Myeloma. Journal of Clinical Oncology, 28, 1606-1610. [Google Scholar] [CrossRef] [PubMed]
[26] Litjens, G., Kooi, T., Bejnordi, B.E., Setio, A.A.A., Ciompi, F., Ghafoorian, M., et al. (2017) A Survey on Deep Learning in Medical Image Analysis. Medical Image Analysis, 42, 60-88. [Google Scholar] [CrossRef] [PubMed]
[27] Truhn, D., Schrading, S., Haarburger, C., Schneider, H., Merhof, D. and Kuhl, C. (2019) Radiomic versus Convolutional Neural Networks Analysis for Classification of Contrast-Enhancing Lesions at Multiparametric Breast MRI. Radiology, 290, 290-297. [Google Scholar] [CrossRef] [PubMed]
[28] Staartjes, V.E., de Wispelaere, M.P., Vandertop, W.P. and Schröder, M.L. (2019) Deep Learning-Based Preoperative Predictive Analytics for Patient-Reported Outcomes Following Lumbar Discectomy: Feasibility of Center-Specific Modeling. The Spine Journal, 19, 853-861. [Google Scholar] [CrossRef] [PubMed]
[29] Mohsen, F., Ali, H., El Hajj, N. and Shah, Z. (2022) Artificial Intelligence-Based Methods for Fusion of Electronic Health Records and Imaging Data. Scientific Reports, 12, Article No. 17981. [Google Scholar] [CrossRef] [PubMed]