广西“一老一小”社区服务对增强社区归属感的影响机制研究
Research on the Influence Mechanism of “One Old and One Small” Community Service on Enhancing the Sense of Belonging to the Community in Guangxi
摘要: 本研究以广西为实证场域,运用结构方程模型(SEM)探讨“一老一小”社区服务对增强社区归属感的影响机制。通过分析服务动机、文化认同、社区融合度、实践参与度与社区归属感五个潜变量,发现社区融合度是影响机制中的核心中介变量,服务动机对其具有强驱动效应,而文化认同向实践参与的转化存在明显缺口。研究验证了变量间显著因果关系,提出应从动机激发、行为转化、情感融合三个层面,构建“一老一小”社区服务优化路径,并针对城市、农村及城乡结合部社区的特点提出差异化实施方案。
Abstract: In this study, Guangxi is used as an empirical field to explore the influence mechanism of “one old and one small” community service on enhancing the sense of belonging of the community by using the Structural Equation Model (SEM). By analyzing five latent variables, namely service motivation, cultural identity, community integration, practice participation and community belonging, it is found that community integration is the core mediating variable in the influence mechanism, and service motivation has a strong driving effect on it, while there is an obvious gap in the transformation of cultural identity to practice participation. This study verifies the significant causal relationship between variables, proposes to construct a “one old and one small” community service optimization path from three levels: motivation stimulation, behavior transformation and emotional integration, and proposes differentiated implementation plans for the characteristics of urban, rural and urban-rural communities.
文章引用:李露怡, 栗然, 张亿泽, 宰晓娜, 梁霄楠. 广西“一老一小”社区服务对增强社区归属感的影响机制研究 [J]. 现代管理, 2026, 16(1): 266-278. https://doi.org/10.12677/mm.2026.161027

1. 引言

自2013年以来,国家在“一老一小”领域陆续出台政策,推动养老托育服务体系建设。从《国务院关于加快发展养老服务业的若干意见》(国发〔2013〕35号) [1]到《关于促进养老托育服务健康发展的意见》(国办发〔2020〕52号) [2],政策逐步从补缺型转向普惠型,标志着该领域进入统筹推进的新阶段。为此,本研究聚焦广西多民族聚居区,运用结构方程模型(SEM),系统探究“一老一小”社区服务对增强社区归属感的影响机制。研究构建了包含服务动机(SM)、文化认同(CI)、社区融合度(CEI)、实践参与度(PE)、社区归属感形成(SOC)五个关键潜变量的理论模型,旨在揭示其内在作用路径。

2. 文献综述与理论基础

2.1. 国内文献综述

中国家庭结构正经历小型化与少子化的双重冲击,传统照护体系面临前所未有的压力。在这一背景下,“一老一小”的民生问题已不再是家庭内部的私事,而是关乎社会稳定的公共议题!学界的研究视角,从过去割裂的“养老”或“托育”讨论,逐步转向探索代际在社区场景中的协同共生。

在服务模式创新上,张蕊(2025)力主打破传统思维桎梏,呼吁通过设施升级与体系多元化的双轮驱动,实现老幼服务的深度整合[3]。林允照与林朦朦(2025)进一步勾勒出一幅系统性蓝图,优化空间规划、创新服务内容、强化资源共治,并构建闭环评估机制[4]。黄杰与徐中平(2025)将目光投向数字化前沿,主张以数智化与标准化为引擎,提升服务的可及性与可持续性[5]。杨雪燕(2023)的研究则强调“因地制宜”的重要性——社区需基于自身特质选择模式,借助多学科视角精准匹配供需,以协同治理框架激活服务效能[6]

在资源整合领域上,周建芳(2024)指出家庭正深陷照料人力短缺与成本高企的泥潭,并提出发展“在地化”弹性服务,将其作为老幼协同的基石,并通过机制完善、样本打造与平台建设实现提质增效[7]。丁赛姮(2024)则以“社区综合体”为研究对象,探讨如何将社会治理理念注入运营中,推动公共服务从“有”到“优”的跃迁[8]。庆德(2023)通过北京玉海园的案例,剖析了试点中的亮点与堵点,提出制度化建设、监管强化与数字鸿沟破解等具体方略[9]

在代际学习与社区教育上,侯美玲等(2024)开创性地提出代际学习服务的供给模式,使“老教少学、少助老乐”成为可能[10]。陶庆雯(2023)则倡导以社区经济为纽带,整合资源,编织代际良性互动的全龄友好网络[11]。侯勇等(2019)通过“成长小组”实践,结合社会工作介入,构建了老幼互助的社区新生态[12]

在健康服务与社区实践上,王远(2024)则通过济南济微路社区的具体实践,表明解决居民“急难愁盼”问题是打造温暖社区、展现工作价值的关键[13]

2.2. 国外研究概述

国外虽无直接对应的“一老一小”提法,但其在应对老龄化、少子化方面的社区服务实践为我国提供了宝贵借鉴。

在模式借鉴上,日本经验尤为突出。王玥与孟宪泽(2024)指出,为应对少子高龄化,日本建立了集居住、医疗、护理等多元素于一体的“地域共生社会”模式,为我国设计跨部门、多主体协同参与的公共服务供给结构提供了参考[14]。张京唐与陆宇(2022)则总结了发达国家形成的以社区为依托、家庭为本位的多元化养老服务模式,强调了政府与市场结合对促进服务多样化的重要作用[15]。徐子秋与杨超(2019)介绍了美国“高校养老社区”等创新范式,以及日韩由政府主导的UBRC模式,展现了不同文化背景下的解决方案[16]

在服务细节与影响因素上,卢延文等(2023)的研究提供了一个独特视角,他们发现国外社区体育设施的可用性、社区安全等因素会显著影响儿童青少年的体育活动参与,这提示我们在社区规划需兼顾不同年龄群体的多元需求,避免“一刀切”的陷阱[17]

陈玉光和冉文伟(2014)更系统总结了国外社区养老的五条经验:法律政策支撑、政府主导下的多元共治、服务差异化供给、人员专业化培养、以及严格监管机制[18]

2.3. 述评

通过对现有文献的梳理可以发现,国内外对社区服务的研究已呈现出多元化、系统化和交叉化的特点。国内研究尤其关注“一老一小”服务的协同与整合,提出了许多富有建设性的模式与路径,具有较强的现实针对性。国外研究则在模式创新、法制保障和精细化服务方面提供了成熟经验。但整体来看,现有研究多聚焦单一维度的实践探索或理论阐释,缺乏经典社会学、心理学理论对“一老一小”社区服务与增强社区归属感之间链式作用逻辑的深度拆解,尚未建立起微观服务行为与宏观意识建构的理论联结。为此,本研究引入社会资本理论、接触理论、社会认同理论三大经典理论,搭建理论分析框架,弥补这一研究缺口。基于上述理论框架与文献基础,本研究提出如下假设:

H1:服务动机对社区融合度具有显著正向影响。

H2:文化认同对实践参与度具有显著正向影响。

H3:社区融合度对社区归属感具有显著正向影响。

H4:实践参与度对社区归属感具有显著正向影响。

2.4. 核心概念

“一老一小”社区服务体系是指以兼顾家庭养老照护和儿童照护需求为目标、以社区和家庭为依托的服务体系[5];其中“一老”通常指的是60岁及以上的老年人,“一小”则指的是3岁以下的婴幼儿。

“一老一小”是关乎亿万家庭福祉、具有全局性影响的战略性事业。党的二十届三中全会对“一老一小”相关体制机制改革作出部署。新征程上,“一老一小”政策应紧密围绕高质量发展这一全面建设社会主义现代化国家的首要任务,加快养老托育服务从“有没有”转向“好不好”,助力提高人民生活品质,以人口高质量发展支撑中国式现代化[19]。广西也在积极推进“一老一小”工作,通过政策引导、网络构建、资源下沉和社会参与等多种方式,努力让老年人在社区安享幸福晚年,让儿童在关爱中健康成长;在整体布局上启动了“暖心民政”三年行动计划(2025~2027年),计划统筹各级资金用于支持养老、儿童福利等民生设施建设[20];在易地扶贫搬迁集中安置点,特别强调按照“就地就近、便民利民”和“一室多能、综合利用”的原则建设服务设施,提升资源利用效率;还注重激发市场和社会活力,鼓励社会力量参与,围绕养老服务网络建设和儿童关爱保护体系推出了多项具体措施。

2.5. 核心理论基础

2.5.1. 社会资本理论

社会资本理论的核心观点由Putnam (2000)率先系统阐释,其将社会资本划分为“桥接型社会资本”与“结合型社会资本”,前者用于连接不同群体、打破圈层壁垒,后者用于强化群体内部信任与协作,且明确指出社区层面的互助实践是积累社会资本的核心载体,社会资本存量直接决定社区凝聚力[21]。边燕杰、李煜(2012)基于中国本土化场景的研究进一步补充,认为邻里互助类非正式互动是城市居民社会资本的核心来源,可有效弥补制度性服务的供给短板[22]。朱新武、梁海凤(2024)则将社会资本与社区归属感关联,提出社会资本的“信任–网络–规范”三要素是意识建构的重要支撑[23]

该理论与本研究的契合点体现在“服务动机–社区融合”的驱动关系上。本研究实证发现服务动机对社区融合度具有强正向驱动效应,这一结论与社会资本理论的核心逻辑高度吻合:居民参与“一老一小”社区服务的动机越强,越易通过跨民族代际照护、邻里互助等行为积累桥接型社会资本,也能依托同民族文化共通性强化结合型社会资本,最终推动社区信任网络形成与融合度提升。

2.5.2. 接触理论

接触理论的核心框架由Allport (1954)的“接触假说”奠定,其指出跨群体接触需满足平等地位、共同目标、合作互动、制度支持四大条件,方可有效降低群体偏见、增进认同[24]。Pettigrew与Tropp(2006)通过元分析拓展了理论边界,证实“代际接触”“日常场景接触”等新型接触形式的有效性,且强调接触带来的“情感性收益”(共情、信任)比“认知性收益”更具长效性[25]。Elwert等(2023)则进一步提出,非刻意化的日常服务场景接触,比形式化的民族交流活动更易实现群体深度融合[26]

该理论与本研究的契合点集中于“社区融合–社区归属感”的转化路径。本研究发现社区融合度是增强社区归属感的核心中介,而社区融合的核心载体正是“一老一小”服务搭建的跨民族、跨代际接触场景,如城市社区的壮族绣娘教汉族儿童织锦、农村社区的多民族居民共办丰收节互助宴等,均满足Allport提出的四大接触条件,且契合Pettigrew等(2006)强调的“情感性收益”逻辑,实现了从群体接触到情感认同的转化。

2.5.3. 社会认同理论

社会认同理论由Tajfel与Turner (1979)奠基,其核心逻辑为“社会分类–社会比较–积极区分”,即个体通过群体归类形成群体认同,并通过群体比较强化身份归属[27]

该理论与本研究的契合点在于“社区认同–社区归属感的形成”的层级升华机制。本研究实证显示,居民先通过“一老一小”服务形成“社区互助”的小群体认同,再依托社区融合的中介作用,提升社区归属感,这一过程完全契合社会认同理论的层级升华逻辑。传统社会认同理论多强调文化、政治因素对认同的驱动,本研究则证实广西社区的“一老一小”民生服务可成为认同建构的核心载体,且明确了“服务行为–社区认同–社区归属”的转化链条及触发条件,让抽象的认同建构过程具象化为可操作的民生服务实践。

3. 实证分析与结果

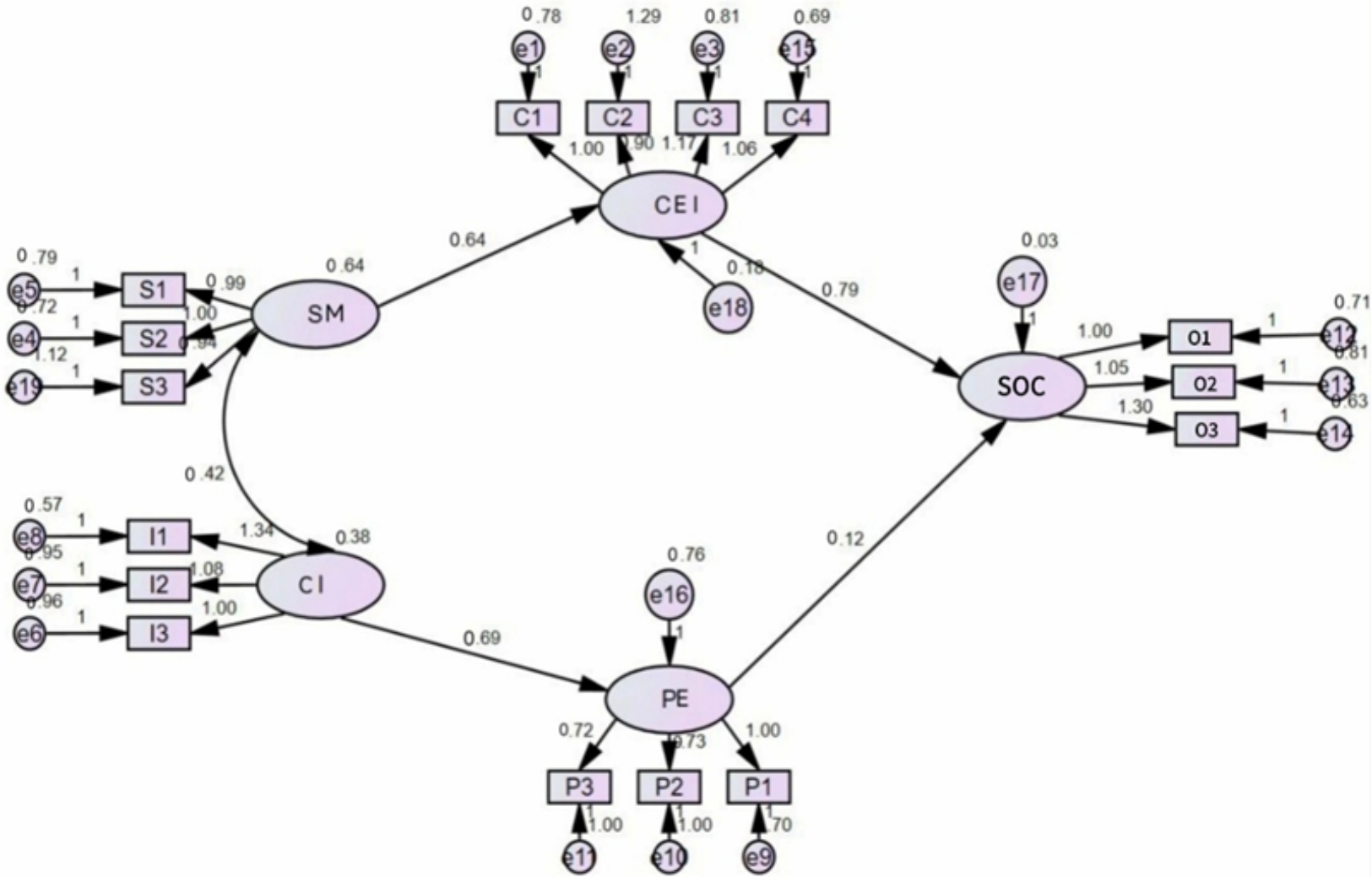
以下分析基于202份有效问卷及访谈数据,运用IBMSPSSStatistics及AmosGraphics进行统计分析,信度检验(α = 0.825),效度分析(KMO = 0.845),证实数据有效性。同时,我们采用了多种拟合指标进行综合判断(见表1)。相对拟合指标中,规范拟合指数(NFI = 0.739)、相对拟合指数(RFI = 0.684)、增量拟合指数(IFI = 0.817)、非规范拟合指数(TLI = 0.773)和比较拟合指数(CFI = 0.813)表明模型相较于基准的独立模型,对数据的拟合效果有显著提升,相对拟合程度良好。简约调整指标方面,简约比(PRATIO = 0.825)、简约规范拟合指数(PNFI = 0.610)和简约比较拟合指数(PCFI = 0.671)说明模型在拟合度与简约性之间实现了较好平衡(图1)。

Figure 1. Structural equation model diagram

1. 结构方程模型图

Table 1. The model fits the evaluation results of the index

1. 模型拟合指标评估结果

指标类型

指标名称

数值

解释说明

相对拟合指标

规范拟合指数(NFI)

0.739

略低,但>0.6,达到结构方程模型拟合的基础可接受标准,模型对数据的解释力具备基本支撑。

相对拟合指数(RFI)

0.684

略低,但>0.6,符合基础拟合要求,相较于基准独立模型有明显改进,拟合效果具备可接受性。

增量拟合指数(IFI)

0.817

接近0.9的理想拟合阈值,模型增量拟合效果较好,对数据的适配性处于较高水平。

非规范拟合指数(TLI)

0.773

>0.7的可接受拟合标准,兼顾模型简约性后仍保持较好拟合质量,适配效果良好。

比较拟合指数(CFI)

0.813

接近0.9的理想值,模型整体拟合质量较高,对样本数据的解释力较强,属于良好拟合范畴。

简约调整指标

简约比(PRATIO)

0.825

>0.5的标准值,模型简约性表现优秀,在拟合效果与模型复杂度之间实现良好平衡。

简约规范拟合指数(PNFI)

0.610

>0.5的可接受标准,兼顾简约性与规范拟合效果,模型实用性与科学性兼具。

简约比较拟合指数(PCFI)

0.671

>0.5的标准值,经简约性调整后仍保持良好拟合效果,模型具备较强的推广与应用价值

3.1. 问卷样本分析

调研数据显示(见表2),受访者所呈现的人口特征为:性别分布中男性占比51.49%,女性占比48.51%,表明参与调查的性别比例基本均衡。

Table 2. Gender distribution of respondents

2. 受访者性别分布情况

性别

数量

百分比

104

51.49%

98

48.51%

年龄分布呈现明显的右偏态特征(见表3),18~25岁年龄段占比最高(42.57%),中老年群体占比依次递减,说明样本以年轻人为主,年龄结构偏向低龄。

Table 3. Age distribution of the respondents

3. 受访者年龄分布情况

年龄

数量

百分比

17岁及以下

22

10.89%

18~25岁

86

42.57%

26~40岁

53

26.24%

41~59岁

29

14.36%

60岁及以上

12

5.94%

Table 4. Ethnic distribution of respondents

4. 受访者所属民族分布情况

民族

数量

百分比

汉族

105

51.98%

壮族

64

31.68%

瑶族

13

6.44%

侗族

9

4.46%

其他

11

5.44%

民族构成涵盖汉族(51.98%)、壮族(31.68%)及瑶、侗等少数民族(合计16.34%),体现了广西社区“多民族混居”的现实背景(见表4)。这种结构为“一老一小”社区服务在促进民族交往、交流、交融方面提供了天然场域,有助于增强社区归属感。

受访者身份呈现多元化特征(见表5),其中在校学生为最主要的参与群体(46.04%),其次为社区工作人员(28.22%)与社区居民(含老人及儿童家长,23.27%),其他仅占比2.48%。

Table 5. Distribution of the respondents’ identities

5. 受访者身份分布情况

身份

数量

百分比

社区居民(老人及儿童家长)

47

23.27%

在校学生

93

46.04%

社区工作人员

57

28.22%

其他

5

2.48%

受访者所属社区类型以城市社区为主(52.48%),农村社区(38.61%),城乡结合部社区(8.91%),表明调研样本主要集中在城市社区(见表6)。

Table 6. Type of community to which the respondents belong

6. 受访者所属社区类型

社区类型

数量

百分比

城市社区

106

52.48%

农村社区

78

38.61%

城乡结合部社区

18

8.91%

3.2. 结构方程模型结果分析

为深入探究广西“一老一小”社区服务对增强社区归属感的影响机制,本研究构建了包含服务动机、社区融合度、文化认同、实践参与度与社区归属感五个潜变量的结构方程模型,并进行了实证检验。回归权重分析结果显示(见表7),模型中各主要路径系数均达到显著水平,表明变量间存在稳定的因果关系,为本研究假设提供了有力的数据支持。以下将对假设路径进行逐一解读。

H1:服务动机对社区融合度具有显著正向影响,服务动机(SM) → 社区融合度(CEI)的路径系数显著(β = 0.774, P < 0.001),表明服务动机每提升1个单位,社区融合度将增加0.774个单位,因此H1假设成立。这一数据表明,“一老一小”社区服务项目通过有效激发居民的服务意愿,对促进社区融合起到了关键作用。当居民被动员起来,为社区中的老人和儿童提供志愿服务时,其邻里间的互动频率与质量得到实质性提升,从而打破了现代城市社区中常见的隔阂与疏离感。这种基于互助行为的社区互动,在本质上构建了一种“我为人人,人人为我”的社区共同体氛围,为增强社区归属感奠定了至关重要的情感与社会基础。

H2:文化认同对实践参与度虽然具有正向影响,文化认同(CI) → 实践参与度(PE)的路径系数显著(β = 0.440, P < 0.001),但是影响强度中等。因此H2假设不成立,这揭示了从“文化认同”这一态度构念到“实践参与”这一行为构念之间存在显著的转化差距。这一发现与Ajzen (1991)的计划行为理论相呼应,即行为意向是行为的关键预测变量,但行为的最终发生还受到感知行为控制、主观规范等因素的调节[28]。换言之,居民即便在情感和认知上高度认同社区文化,若缺乏参与的具体机会、技能或感知到较高的参与成本,其转化为实际行动的效能便会受到限制。这提示我们,文化认同是参与行为的“必要非充分条件”。

H3:社区融合度对社区归属感具有显著正向影响,社区融合度(CEI) → 社区归属感(SOC)的路径系数最高(β = 0.880, P < 0.001),验证了社区融合是增强社区归属感的关键中介变量。H3假设成立,表明社区融合度对社区归属感发挥核心作用。其内在机制在于,社区融合通过构建高信任度、强归属感的邻里环境,为居民提供了一个“微型共同体”的实践场域。在这个场域中形成的认同感和归属感,构成了社会认同理论中所描述的“内群体偏好”,并成为将认同扩展至更宏大的“外群体”的心理桥梁,最终实现了社区归属感的内化与升华。

H4:实践参与度对社区归属感的影响较弱,实践参与度(PE) → 社区归属感(SOC)的路径系数虽然显著(β = 0.189, P = 0.031),但影响较弱,表明其间存在复杂的传导机制。H4假设不成立,说明单纯参与活动不足以显著提升社区归属感,需结合情感认同(如社区融合)。即实践参与并非直接作用于社区归属感,而是通过提升“社区融合度”等情感性变量,间接地、更为强有力地促进社区归属感的形成。具体而言,其逻辑链条可能是:实践参与 → 社区融合(情感中介) → 社区归属感。此外,研究结果亦暗示,社区融合度本身可能调节着实践参与向社区归属感转化的效率。这一发现深化了对“行为–情感–意识”转化路径的理解。

Table 7. Path coefficient analysis results

7. 路径系数分析结果

路径关系

未标准化估计值

标准误

临界比

P值

标准化估计值

影响强度

SM → CEI

0.644

0.104

6.200

<0.001

0.774

强正向影响

CI → PE

0.694

0.174

3.980

<0.001

0.440

中等正向影响

CEI → SOC

0.786

0.134

5.886

<0.001

0.880

极强正向影响

PE → SOC

0.115

0053

2.159

0.031

0.189

弱正向影响

3.3. 小结

综上所述,本研究的核心贡献在于,不仅验证了各变量间的因果关系,更识别出“社区融合”是整个影响机制中的核心枢纽与关键中介变量。它既是服务动机的直接产物,又是社区归属感的最强预测源,同时还可能是实践参与发挥效用的调节器。这一发现将抽象的社区归属感建构过程,具象化为可感知、可操作的社区融合实践。

4. 讨论:影响机制与关键因素

4.1. 核心发现解读

4.1.1. 服务动机对社区融合的强驱动效应

本研究通过结构方程模型开展实证探究,结果清晰显示服务动机(SM)与社区融合度(CEI)间存在显著且稳定的正向关联。

为进一步验证结论的稳健性,本研究额外实施Bootstrap检验(如表8),结果表明该路径90%置信区间为[0.447, 0.911],区间内无零点且偏差仅0.006,由此可明确“服务动机助推社区融合”这一结论具有扎实的科学性,绝非统计误差所致。

从理论推导与实证逻辑来看,服务动机的驱动作用在不同类型社区的表现可基于社会互动理论分析,同时契合社会资本理论的核心观点在城市社区,因居民日常互动较少、邻里关系相对疏远,服务动机成为打破“陌生人隔阂”的关键抓手,从社会资本积累视角,居民通过服务行为建立跨民族的桥接型社会资本,进而提升社区融合度;而在农村社区,服务动机依托熟人社会的信任基础,进一步强化同民族的结合型社会资本,推动社区融合向更深层次发展。

4.1.2. 文化认同到实践参与的转化缺口与成因

文化认同(CI)对实践参与度(PE)的路径系数为0.440 (P < 0.001) (见表7),虽满足统计显著性要求,但从影响强度衡量仅处于中等水平。更值得关注的是,该路径的Bootstrap 90%置信区间为[0.188, 1.313],区间跨度较大,反映出对这一路径的估计精度较低,直接体现了文化认同向实践参与转化的效率不足。

从潜在变量解释力维度分析,实践参与度潜在变量(PE)的多元相关平方仅为0.194,这意味着在本研究构建的模型中,文化认同仅能解释19.4%的实践参与度变异,剩余80.6%的变异无法被当前模型覆盖,这一数据进一步表明,文化认同并非驱动实践参与的唯一因素,转化梗阻的形成还与其他变量存在关联。

4.1.3. 社区融合度的核心中介与稳定效应

本研究最关键的发现是:社区融合度(CEI) → 社区归属感(SOC)的路径系数最高(β = 0.880, P < 0.001) (表7)。且Bootstrap分析显示,其90%置信区间[0.537, 1.139]跨度窄、偏差仅为0.027,该路径的估计稳定性在所有路径中最强。

结合社会认同理论的经典观点与本土化拓展成果,这一结论具备扎实的理论支撑,具体而言,社区融合通过构建高信任度的邻里环境,为居民提供了“微型共同体”的实践场域,居民在“一老一小”服务中形成了社区归属感。

4.1.4. 实践参与度的弱效性与补充性

同时,实践参与度(PE) → 社区归属感(SOC)的路径虽统计显著(β = 0.189),但Bootstrap置信区间[−0.056, 0.228]包含0,稳定性较差。这一结果表明,实践参与度对社区归属感的正向影响缺乏跨样本的一致性,易受参与场景、参与深度等外部条件干扰,无法形成稳定可复制的作用机制。

Table 8. Bootstrap tests the results of the analysis

8. Bootstrap检验分析结果

路径

置信区间下限

置信区间上限

抽样均值

参数估计值

估计偏差

CEI → SM

0.447

0.911

0.651

0.644

0.006

CI → PE

0.188

1.313

0.698

0.694

0.004

CEI → SOC

0.537

1.139

0.813

0.786

0.027

PE → SOC

−0.056

0.228

0.099

0.115

0.016

结合计划行为理论与接触理论的观点,行为对意识的转化需以“态度认同 + 行为投入”的双重支撑为前提,而单纯的实践参与仅满足“行为投入”的表层条件,缺乏对社区归属感的深度认知与情感共鸣。例如,部分参与者可能因外部要求、短期利益等被动参与社区服务,未在行为中感知互帮互助、集体共生的核心价值,导致参与行为难以内化为稳定的社区归属感。

从路径效力对比来看,该路径的标准化系数(β = 0.189)远低于社区融合度 → 社区归属感(β = 0.880)、服务动机 → 社区融合度(β = 0.774)等核心路径,仅能对社区归属感的形成起到微弱的补充作用。其功能定位更偏向“行为载体”,需与认知认同、情感联结等元素结合才能释放价值,无法独立承担社区归属感培育的核心功能。

4.2. 关键因素分析

从回归权重与模型拟合结果来看,社区融合度(CEI)对社区归属感(SOC)的正向影响最为显著,反观实践参与度(PE)稳定性较差。这一对比说明,单纯的实践参与难以有效强化社区归属感,必须依托社区融合度的支撑才能实现,进一步凸显了社区融合度的核心地位。

结合社会认同理论可对这一结果作出解释:社区融合通过构建高信任度的邻里环境,让居民在频繁互动中形成“我们同属一个社区”的归属感,进而为社区归属感的培育提供土壤。

从样本社区类型差异的理论推演来看,社区融合度的作用呈现出不同特点:

城市社区:通过提升社区融合度,有效弥补了“邻里疏离”的短板,从社会网络密度视角,社区融合度提升可增加居民间的连接节点,为社区归属感形成奠定基础;

农村社区:在原本“熟人社会”的基础上,社区融合度推动邻里关系升级,基于社会嵌入理论,居民在协作中加深信任,社区归属感的强化效果更为显著。

此外,社区融合度潜在变量(CEI)的多元相关平方为0.600,意味着60%的社区融合度变异可由服务动机解释,这一数据表明,社区融合度兼具“承上启下”的枢纽作用:既承接服务动机的驱动,将居民的服务意愿转化为实际的融合行为,又直接决定社区归属感的形成效果,是整个影响机制运行的关键环节。

5. 结论与建议

5.1. 研究结论

基于202份有效问卷与结构方程模型分析,本研究围绕广西“一老一小”社区服务对增强社区归属感的影响机制,得出以下核心结论:

服务动机对社区融合具有强效驱动作用,为社区归属感培育提供了实践抓手。从社会心理机制来看,服务动机(SM)通过利他主义与责任感驱动,打破城市社区“陌生人隔阂”,强化农村社区“熟人协作”,表明服务行为是重建社区信任网络的关键抓手。

文化认同向实践参与转化存在明显梗阻,反映出“态度–行为”转化的不充分性。从社会心理机制来看,文化认同(CI)对实践参与(PE)的路径系数印证了Ajzen计划行为理论——态度向行为转化为感知行为控制(如时间、技能)的支撑。

社区融合度是机制中的核心枢纽的同时能支撑实践参与对社区归属感的影响,是连接“服务行为–意识形成”的关键环节。从社会心理机制来看,社区融合度(CEI)通过构建高信任度的邻里互动网络,形成“微型共同体”实践场域(路径系数β = 0.880)。居民在互助服务中产生情感共鸣,触发社会认同理论中的“内群体偏好”,从而推动社区归属感的形成。

实践参与(PE)对社区归属感(SOC)的影响呈现“弱直接、强中介”的特征,其独立作用有限且需依托社区融合实现价值转化。从社会心理机制来看,实践参与(PE)对社区归属感(SOC)的直接影响微弱,表明缺乏情感联结的机械参与难以内化意识而当实践参与嵌入社区融合的场域中时,通过共同服务“一老一小”搭建的协作场景,能打破身份壁垒、深化邻里信任,触发计划行为理论中的“主观规范认同”,并借助社区融合的中介作用,将场景协作体验转化为对社区的归属感。

5.2. 对策建议

基于上述研究发现,本研究识别出“社区融合度是增强社区归属感的核心枢纽,而文化认同向实践参与的转化存在显著缺口,实践参与需情感赋能才能有效发挥作用”。为破解这些关键瓶颈,本研究提出以下系统性对策建议,旨在从动机激发、行为转化、情感融合三个层面,构建“一老一小”社区服务优化路径,并针对城市、农村及城乡结合部社区的特点提出差异化实施方案。

5.2.1. 构建“动机–融合”强化生态系统,破解服务动机持续性难题

针对服务动机持续性难题,基于社会资本理论,建议以“数字赋能 + 文化浸润 + 家庭联动”为核心,创新社区服务价值量化与转化机制,推行“数字时间银行 + 社区积分”一体化模式,将居民志愿服务行为精准转化为可计量、可流通、可增值的社区社会资本。

在城市社区,依托数字化治理平台开发集服务对接、时长记录、积分管理、价值兑换于一体的社区服务APP,建立“服务时长–数字积分–多元权益”的闭环转化通道,积分可用于抵扣物业费、社区商业场景消费、专业技能培训课程兑换等,实现传统“一对一”时间银行向“多对多”社区内循环经济生态的升级,通过数字化手段降低运营管理成本,提升激励机制的即时性、精准性与多样性。

在农村社区,聚焦民族文化传承与乡村振兴深度融合,打造“民族技艺传承工坊”,邀请非物质文化遗产传承人、民族技艺长者担任导师,鼓励青壮年以志愿服务形式参与老人照护、技艺辅助等工作,将服务时长与“技艺认证等级”挂钩,建立“志愿服务–技艺习得–等级认证–文化传播”的激励链条,使服务动机从单纯“利他”升华为“文化认同建构 + 自我价值实现”的双重驱动。

在城乡结合部社区,立足“熟人社会”向“半熟人社会”转型的治理特点,设立“家庭融合积分账户”,以家庭为基本治理单元归集志愿服务积分,鼓励家庭成员共同参与社区公共服务、矛盾调解、环境整治等工作,积分可兑换家庭文旅体验包、亲子教育课程、社区公共服务优先权等“家庭型权益”,借助家庭的情感凝聚力与社会支持功能,激活家庭单元参与社区治理的内生动力,实现个体激励向家庭协同激励的延伸。

5.2.2. 实施“认知–行为”转化赋能计划,弥合文化认同与实践参与的鸿沟

为了破解文化认同与实践参与脱节问题,基于计划行为理论,可以降低参与成本和提供便捷渠道,即构建“微参与”线上赋能体系,将宏观层面的“社区服务”理念解构为微观化、即时化、可操作性强的行动单元,降低参与成本,提升参与意愿。

在差异化实施路径设计上,具体分为三方面:

一是面向全域社区青年群体(18~25岁),开发“微参与”微信小程序平台,嵌入“15分钟任务包”模块(涵盖邻里快递代取、少儿绘本伴读等轻量化服务内容),搭建线上打卡、成果分享与社交互动机制,以社交激励效应激活青年群体碎片化时间价值,实现参与门槛的极致降低与参与热情的有效激发。

二是针对城乡结合部社区地理分布分散、居民参与便利性不足等特点,启动“移动服务驿站”项目,依托改装专用车辆,在集市、公交站点等人员流动密集区域设立流动服务点,提供短时段、现场化的服务报名与参与渠道,实现服务供给模式从“被动等待参与”向“主动上门赋能”的转型。

三是构建全域通用的“社区技能–需求”智能匹配系统,在现有社区服务APP中增设专属功能模块,支持居民自主发布技能供给信息与服务需求信息,通过算法模型实现供需信息的精准匹配与高效对接,推动社区参与模式从“被动任务分配”向“主动价值认领”转变,切实提升居民参与的价值获得感与行动效能感。

5.2.3. 深化“情感–意识”共融场景设计,激活社区融合的核心枢纽作用

针对社区融合度作为核心枢纽的作用如何发挥问题,基于社会认同理论,构建以“情感联结为核心、文化认同为纽带”的社区融合实践体系。通过设计跨代际、跨民族的协作场景,推动“服务动机–情感互动–文化共创”的闭环转化;同时依托数字平台、实体空间及常态化活动等载体,打破物理与心理隔阂,形成“共学、共食、共劳、共情”的多元融合路径,为增强社区归属感提供可操作的情感实践范式。

在城市社区,打造“跨代际–跨民族”共生空间,建立“老幼共学中心”,通过组织壮族绣娘教汉族儿童织锦、汉族退休教师教少数民族儿童书法等“双向文化传承”活动,以协作任务触发代际与民族间的情感联结。开发“社区记忆地图”数字平台,邀请各族居民共同标注社区历史地标、民族互助故事,通过“集体叙事创作”强化社区归属感。

在农村社区,构建“技艺传承–互助养老”情感融合体,设立“民族技艺互助工坊”,由瑶族银匠、侗族木工等非遗传承人带领多民族青壮年学习技艺,同时为社区老人制作生活辅具,形成“技艺传习 → 服务老人 → 民族协作”闭环。举办“丰收节互助宴”,各族家庭共烹民族菜肴照料独居老人,通过“共食共劳”深化“一老一小”服务中的情感共生体验。

在城乡结合部社区,创设“新邻里关系重建”项目,针对搬迁安置点多民族杂居特点,开展“我家拿手菜”楼道厨房计划:每层楼由“1户汉族 + 1户少数民族”家庭结对,为楼内老人、幼儿家庭提供每周一次免费餐食,通过“共享厨房”打破物理隔阂。

基金项目

广西民族师范学院(国家级)大学生创新创业训练计划项目“广西高校大学生在‘一老一小’社区服务中增强社区归属感的实践与创新研究”(项目编号:202510604007);2024年广西哲学社会科学研究年度课题:铸牢中华民族共同体意识下广西民族互嵌式社区治理绩效提升研究(24SHC002),广西民族师范学院2024年度中国边疆学科研项目:广西沿边地区社会治理助力铸牢中华民族共同体意识路径研究(2024ZGBJX098),广西民族师范学院2022年校级课题:广西边疆民族地区构建社会治理共同体的嵌合机制与路径创新研究(2022YB056)。

NOTES

*通讯作者。

参考文献

[1] 国务院. 国务院关于加快发展养老服务业的若干意见(国发〔2013〕35号) [EB/OL].
https://www.gov.cn/zhengce/zhengceku/2013-09/13/content_7213.htm?use_xbridge3=true&loader_name=forest&need_sec_link=1&sec_link_scene=im&theme=light, 2013-09-13.
[2] 国务院办公厅. 关于促进养老托育服务健康发展的意见(国办发〔2020〕52号) [EB/OL].
https://www.gov.cn/gongbao/content/2021/content_5581061.htm?use_xbridge3=true&loader_name=forest&need_sec_link=1&sec_link_scene=im&theme=light, 2020-12-14.
[3] 张蕊. 开封市构建“一老一小”社区服务体系路径研究[J]. 黑龙江科学, 2025, 16(3): 144-146.
[4] 林允照, 林朦朦. 社区嵌入式“一老一小”服务新模式研究——以浙江绍兴为例[J]. 浙江树人学院学报, 2025, 25(1): 29-38.
[5] 黄杰, 徐中平. 面向数智化: 杭州市“一老一小”社区服务现状、困境与优化路径——以杭州市11个未来社区为例[J]. 现代城市研究, 2025(2): 30-35.
[6] 杨雪燕. 探索“一老一小”社区居家服务协同治理之道[N]. 中国妇女报, 2023-02-13(005).
[7] 周建芳. “一老一小”服务体系协同发展的理论逻辑、现实基础及发展路径[J]. 北京社会科学, 2024(6): 100-109.
[8] 丁赛姮. 基于多元、参与、共享的“一老一小”社区综合体营造机制与优化路径研究——以X县M中心的实践为例[J]. 厦门特区党校学报, 2024(3): 59-66.
[9] 王庆德. 玉海园社区“一老一小”试点工程调查研究[J]. 中国管理信息化, 2023, 26(16): 189-191.
[10] 侯美玲, 张小茱, 王佳, 等. “一老一小”代际学习服务的社区教育供给模式研究[J]. 现代商贸工业, 2024(24): 74-76.
[11] 陶庆雯. 基于心理疏导与社工支持的社区“一老一小”心理健康服务体系的建设路径[J]. 黑龙江科学, 2023, 14(11): 38-41.
[12] 侯勇, 陈晓东, 徐黎. 小组工作介入社区代际融合养老服务实例研究——以“‘一老一小’成长ing”项目为例[J]. 长沙民政职业技术学院学报, 2019, 26(4): 18-21.
[13] 王远. 济南济微路社区服务好“一老一小”打造温暖社区[N]. 山东商报, 2024-06-03(012).
[14] 王玥, 孟宪泽. 全龄化视角下日本“一老一小”基本公共服务运行机制及对中国启示[J]. 天津师范大学学报(社会科学版), 2024(2): 120-130.
[15] 张京唐, 陆宇. 多元化供给: 国外城市社区养老服务的历程变迁、经验模式及实践启示[J]. 行政科学论坛, 2022, 9(4): 27-33.
[16] 徐子秋, 杨超. 国外以高校为依托的养老社区服务模式探究[J]. 社会与公益, 2019(7): 67-69.
[17] 卢延文, 王波, 沈亚丽, 等. 社区建成环境与儿童青少年运动参与的关系研究[J]. 冰雪体育创新研究, 2023(16): 188-190.
[18] 陈玉光, 冉文伟. 国外如何开展社区养老服务[J]. 共产党员(河北), 2014(16): 62-63.
[19] 国家发展和改革委员会. 面向高质量发展的“一老一小”政策[Z]. 习近平经济思想研究中心. 2024-11-07.
[20] 广西壮族自治区人民政府办公厅. 广西“暖心民政”三年行动计划(2025-2027年) [EB/OL].
http://www.gxzf.gov.cn/zt/jd/jbms/zcwj/t26178191.shtml?_refluxos=a10, 2025-09-10.
[21] Putnam, R.D. (2000) Bowling Alone: The Collapse and Revival of American Community. Simon & Schuster.
[22] 边燕杰, 李煜. 城市居民社会资本的来源及作用: 网络观点与调查发现[J]. 中国社会科学, 2012(3): 114-130+206.
[23] 朱新武, 梁海凤. 社会资本视域下增强社区归属感路径研究[J]. 广西民族研究, 2024(2): 1-8.
[24] Allport, G.W. (1954) The Nature of Prejudic E. Addison-Wesley.
[25] Pett-Grew, T.F. and Tropp, L.R. (2006) A Meta-Analytic Test of Intergroup Contact Theory. Journal of Personality and Social Psychology, 90, 751-783.
[26] E-wert, F., et al. (2023) Rearranging the Desk Chairs: A Large Randomized Field Experiment on Interethnic Contact. American Journal of Sociology, 129, 387-431.
[27] Tajfel, H. and Turner, J.C. (1979) An Integrative Theory of Intergroup Conflict. In: Austin, W.G. and Worchel, S., Eds., The Social Psychology of Inter Group Relations, Brooks/Cole, 33-47.
[28] Ajzen, I. (1991) The Theory of Planned Behavior. Organizational Behavior and Human Decision Processes, 50, 179-211. [Google Scholar] [CrossRef