基于潜伏者隔离的传染病模型演化分析
Evolutionary Analysis of Infectious Disease Models Based on Isolating Latent Individuals
摘要: 本文构建了一类引入潜伏者隔离仓(QE)的SEIR传染病动力学模型,旨在从动力学角度量化评估潜伏期隔离措施对传染病传播的影响。利用下一代矩阵法推导了模型的基本再生数R0,作为判定传染病是否消亡的阈值;通过Lyapunov第二方法与LaSalle不变集原理,严格证明了当R0 < 1时无病平衡点的全局渐近稳定性;利用灵敏度分析识别出影响传染病传播的关键参数。数值模拟结果表明,提高疫苗接种率及潜伏者隔离率能显著降低感染峰值、延缓传染病传播进程、缩短传染病持续时间。该研究针对潜伏期实施精准隔离、协同推进疫苗接种的防控策略提供了理论依据与决策支持。
Abstract: This paper constructs a class of SEIR infectious disease dynamics models that incorporate a quarantine compartment for latent individuals, aiming to quantitatively assess the impact of latent-period isolation measures on disease transmission from a dynamical perspective. Using the next-generation matrix method, the basic reproduction number (R0) is derived as the threshold for determining whether the infectious disease will die out. Through Lyapunov second method and LaSalle invariance principle, the global asymptotic stability of the disease-free equilibrium is rigorously proved. Sensitivity analysis is applied to identify key parameters influencing disease transmission. Numerical simulation results demonstrate that increasing the vaccination rate and the isolation rate of latent individuals can significantly reduce the peak number of infections, delay the spread process, and shorten the duration of the epidemic. This study provides theoretical foundations and decision-making support for the precise implementation of isolation during the latent period and the coordinated promotion of vaccination as part of prevention and control strategies.
文章引用:张妞妞, 周大勇, 韩莉莉, 刘天旭. 基于潜伏者隔离的传染病模型演化分析[J]. 理论数学, 2026, 16(1): 180-191. https://doi.org/10.12677/pm.2026.161021

1. 引言

传染病作为威胁人类健康的重大公共卫生问题,其传播机制与防控策略始终是研究热点。据世界卫生组织统计,全球每年约有1700万人死于传染病,占总死亡人数的28% [1]。传染病不仅直接危害个体健康,还可能通过家庭传播引发社会矛盾[2],甚至像COVID-19和埃博拉一样导致全球公共卫生危机[3]。传统防控手段如药物治疗、疫苗接种和卫生教育虽能有效降低发病率[4] [5],但面对新发传染病时,快速响应的隔离措施往往成为遏制传播的关键[6] [7]。经典的SEIR模型是分析传染病动力学的基础工具[8] [9],但其未充分考虑潜伏者的传染性和隔离干预的动态影响[10]

近年来,随着隔离措施在突发公共卫生事件中的广泛应用,学者们在经典 SEIR 框架中引入了隔离仓室,构建了多种带有控制项的动力学模型,并对其动力学性态进行了深入分析。例如,童亚纯通过扩散的SIS传染病模型研究了时空传播特征[11],发现在空间异质性环境下隔离措施效果显著;周嘉颖的分数阶建模方法为传染病时空动力学研究提供了新的视角[12],而非均匀环境中的空间动力学研究则强调了环境异质性对防控策略的影响[13]。付鑫婕基于复杂网络的动力学分析表明[14],早期隔离能有效降低网络中的传播效率。如在SIR模型中加入隔离措施,发现早期隔离可显著降低感染峰值[15];通过SEIR模型证明,隔离率的提升能有效缩短传染病持续时间。然而,现有研究多聚焦于显性感染者的隔离,对潜伏期个体的防控作用探讨不足[16] [17]。研究表明,潜伏期感染者同样具有传播能力[18],忽视这一群体的隔离可能导致防控效果大打折扣。扩散距离的研究表明空间因素对隔离效果产生重要影响,而基于排队网络的病例外溢问题研究为实际应用中的参数设定提供了实证支持。Alnafisah等人通过马尔可夫SEIR模型证实了潜伏期传播的重要性[19],Wang等则通过整合社会心理因素优化了SEIR模型[17],进一步强调了潜伏期干预的必要性。

本研究基于Anderson和May提出的传染病传播理论框架[15],结合关于隔离措施的实验数据,构建了带有潜伏者隔离仓的SEIR模型。通过量化隔离措施对传播参数的影响,揭示不同防控强度下的传染病演化规律。含非线性发病率和垂直传播的SEIR模型研究为本模型处理复杂传播机制提供了重要参考[13],研究结果可为突发公共卫生事件中的精准隔离策略提供理论依据,具有重要的现实意义。

2. 模型建构

将某一地区的人群分为易感者、潜伏者、被隔离的潜伏者、有症状感染者、被隔离的感染者、恢复者。假定各个人群混合均匀,人口自然输入率和死亡率分别为 p μ 。S代表那些尚未感染但有可能被感染的人群。假设易感者以 β 的概率接触潜伏者或者染病者。考虑疫苗供给能力的影响,接种率为 ε ,短期内接种疫苗具有完全保护效力,接种疫苗后转化为恢复者。 E 是具有传染性但未表现出任何症状的人群。从易感者中,一部分人在接触到病原体后,会进入潜伏期。在这个阶段,他们可能不会表现出症状,但仍然可以传播疾病。 η 表示潜伏者与有症状感染者的传染率的比值 ( 0<η<1 ) ,潜伏者发病率为 α ,潜伏者中检测确诊后以隔离率 δ 进行入院隔离成为被隔离的潜伏者 Q E Q E 代表在潜伏期被检测出并被隔离在特殊设施(如隔离仓)的人群。被隔离的潜伏者的发病率为 α ,被隔离的潜伏者以 σ 的概率发病转入有症状感染者隔离仓,被隔离的潜伏者以 r 1 的概率自愈转化为恢复者,被隔离的潜伏者的病死率为 θ 1 。I 在潜伏期结束后,个体进入感染期,开始表现出症状并具有传染性。有症状感染者中检测确诊后以隔离率 λ 进行入院隔离治疗成为被隔离的感染者 Q I ,有症状感染者自愈率为 r ,有症状感染者的病死率概率为 θ Q I 代表在感染期被检测出并被隔离的人群。被隔离的感染者的自愈率为 r 2 ,被隔离的感染者的病死率为 θ 2 R 代表有症状感染者在康复后进入这个阶段,他们通常对疾病具有免疫力,不再具有传染性。

在以上假设下的各个人群转化见图1

Figure 1. Evolutionary relationship diagram of different population groups

1. 各人群演化关系图

建立微分方程为:

{ S ˙ =NpεS βS( I+ηE ) N μS E ˙ = βS( I+ηE ) N δEαEμE I ˙ =αErIλIμIθI Q ˙ E =δEσ Q E r 1 Q E θ 1 Q E μ Q E Q ˙ I =σ Q E +λI r 2 Q I θ 2 Q I μ Q I R ˙ =εS+ r 1 Q E + r 2 Q I +rIμR (1)

且初始条件满足: S( 0 ),E( 0 ),I( 0 ), Q E ( 0 ), Q I ( 0 ),R( 0 )0,

Table 1. Description and assigned values of parameters

1. 各参数说明及对应取值

参数

表示含义

取值

来源

β

易感者接触到有症状感染者而被感染的概率

0.6

[1]

η

潜伏者与有症状感染者的传染率的比值

0.3

[16]

α

潜伏者的发病率

0.2

[15]

λ

有症状感染者被检测出后的隔离率

0.6

[15]

r

有症状感染者的恢复率

0.1

[13]

r 1

被隔离的潜伏者的治愈率

0.1

[18]

r 2

被隔离的感染者的治愈率

0.1

[18]

σ

被隔离的潜伏者的发病率

0.2

[15]

ε

疫苗接种率

[0, 1]

变量

p

人口输入率

0.1

[13]

μ

人口自然死亡率

0.0001

[13]

δ

潜伏者被检测出后的隔离率

[0, 1]

变量

θ

有症状感染者的病死率

0.005

[18]

θ 1

被隔离的潜伏者病死率

0.001

[18]

θ 2

被隔离的感染者病死率

0.005

[18]

3. 基本再生数R0

利用下一代矩阵法[15]求模型的基本再生数 R 0 ,受感染仓室为 E I F( X ) 表示新感染疾病的矩阵, V( X ) 表示传染病方程组间的转移矩阵,设中间变量: m 1 =δ+α+μ m 2 =r+λ+μ+θ m 3 =σ+ r 1 + θ 1 +μ m 4 = r 2 + θ 2 +μ

由(1)得到:

F( x )=( βS( I+ηE ) N 0 0 0 )

V( x )=( ( δ+α+μ )E ( r+λ+μ+θ )IαE ( σ+ r 1 + θ 1 +μ ) Q E δE ( r 2 + θ 2 +μ ) Q I σ Q E λI )=( m 1 E m 2 IαE m 3 Q E δE m 4 Q I σ Q E λI )

F( X ) V( X ) 关于 E,I, Q E , Q I 的雅可比矩阵为:

F= F( X ) ( E,I, Q E , Q I ) =( β S 0 η N β S 0 N 0 0 0 0 0 0 0 0 0 0 0 0 0 0 )

V= V( X ) ( E,I, Q E , Q I ) =( m 1 0 0 0 α m 2 0 0 δ 0 m 3 0 0 λ σ m 4 )

V 1 =( 1 m 1 0 0 0 α m 1 m 2 1 m 2 0 0 δ m 1 m 3 0 1 m 3 0 0 λ m 2 m 4 σ m 3 m 4 1 m 4 )

则模型(1)的下一代矩阵为:

F V 1 =( β S 0 m 1 N ( η+ α m 2 ) β S 0 m 2 N 0 0 0 0 0 0 0 0 0 0 0 0 0 0 )

模型(1)的基本再生数为:

R 0 = β S 0 m 1 N ( η+ α m 2 )= βp m 1 ( ε+μ ) ( η+ α m 2 )

4. 平衡点的稳定性

通过线性化模型(1)分析平衡点的稳定性得到如下雅可比矩阵:

J=( ε β N ( I+ηE )μ βη N S βS N 0 0 β N ( I+ηE ) βη N S(δ+α+μ) βS N 0 0 0 α ( r+λ+μ+θ ) 0 0 0 δ 0 ( σ+ r 1 + θ 1 +μ ) 0 0 0 λ σ ( r 2 + θ 2 +μ ) )

定理4.1 (无病平衡点的局部稳定性)

当基本再生数 R 0 <1 时,无病平衡点 A 0 ( Np ε+μ 0,0,0,0,0 ) 局部稳定。

证明:

模型(1)在无病平衡点 A 0 ( Np ε+μ 0,0,0,0,0 ) 处的雅可比矩阵为:

J( A 0 )=( εμ βηp ε+μ βp ε+μ 0 0 0 βηp ε+μ ( δ+α+μ ) βp ε+μ 0 0 0 α ( r+λ+μ+θ ) 0 0 0 δ 0 ( σ+ r 1 + θ 1 +μ ) 0 0 0 λ σ ( r 2 + θ 2 +μ ) )

求上述雅可比矩阵的特征值:

| λEJ( A 0 ) |=( λ+ε+μ )( λ+ r 2 + θ 2 +μ )( λ+σ+ r 1 + θ 1 +μ )M

其中,

M=| λ+( δ+α+μ ) βηp n+μ βp n+μ α λ+( r+λ+μ+θ ) |= λ 2 + a 1 λ+ a 2

{ a 1 =r+λ+μ+θ+δ+μ+α βηp ε+μ = m 1 + m 2 βηp ε+μ a 2 = βpα ε+μ βηp ε+μ ( r+λ+μ+θ )+ m 1 m 2 = βp ε+μ ( α+η m 2 )+ m 1 m 2

R 0 <1 时,即

βp m 1 ( ε+μ ) ( η+ α m 2 )<1

有:

βp ε+μ ( α+η m 2 ) m 1 m 2 <0

可得:

a 2 >0

有:

βpη ε+μ + βαp m 2 ( ε+μ ) < m 1

可得:

a 1 = m 1 + m 2 βηp ε+μ m 2 + βαp m 2 ( ε+μ ) 0

综上,由韦达定理,上述雅可比矩阵的特征值 λ 1 , λ 2 满足:

{ λ 1 + λ 2 = a 1 <0 λ 1 λ 2 = a 2 >0

λ 1 , λ 2 <0

R 0 <1 ,无病平衡点 A 0 局部稳定。

定理4.2 (无病平衡点的全局稳定性)

当基本再生数 R 0 <1 时,无病平衡点 A 0 =( Np ε+μ 0,0,0,0,0 ) 全局渐近稳定。

证明:

构造Lyapunov函数:

V=E+kI

其沿系统轨迹得导数为:

dV dt = βS( I+ηE ) N m 1 E+k( αE m 2 I ) =E( βSη N m 1 +kα )+I( βS N k m 2 )

k= 1 α ( m 1 βSη N )

dV dt =I( βS N k m 2 ) =I( βS N m 2 α ( m 1 βηS N ) ) =I( βS N m 2 m 1 α + βηS αN ) = IS Npα ( ε+μ ) m 2 m 1 ( βpα m 2 m 1 ( ε+μ ) pN S( ε+μ ) + βηp m 1 ( ε+μ ) )

代入 S S 0 并合并同类项得:

dV dt IS Npα ( ε+μ ) m 1 m 2 ( R 0 1 )

R 0 <1 时,有

dV dt 0

当且仅当 E=I=0 时, V=0 。由LaSalle不变集原理,所有轨迹收敛于 A 0 ,无病平衡点 A 0 全局渐近稳定。

5. 灵敏度分析

定理5.1 (灵敏度指数)

设模型任意参数为 θ ,基本再生数 R 0 θ 的函数( R 0 = R 0 ( θ ) ),则参数 θ R 0 的标准化灵敏度指数(NSI)定义为:

S I θ ( R 0 )= R 0 θ θ R 0

在传染病动力学模型中,对基本再生数 R 0 进行参数灵敏度分析有助于理解各因素对疾病传播的影响。本灵敏度分析旨在探究模型中各参数,如易感者接触感染概率、潜伏者发病率等对传染病传播关键指标,如感染者数量峰值、传染病持续时间的影响程度,明确哪些参数变动会显著改变传播态势,为防控决策提供依据结合所给的传染病传播流程图及灵敏度指数柱状图,具体分析如图2

Figure 2. Sensitivity indices of various parameters to the basic reproduction number

2. 各参数对基本再生数的灵敏度指数

β 的灵敏度指数为1,表明这个参数对基本再生数 R 0 有极强的正向影响,是影响传播的核心因素; β 值的微小增加意味着易感者有更高的几率被感染,从而显著提升 R 0 ,加速传染病的传播。 η 的灵敏度指数约为0.514009,说明该参数对 R 0 有中度正向影响; η 值增加,意味着潜伏者的传染性增强,对疾病的传播起到一定的促进作用。 α 的灵敏度指数为0.286011,说明其对 R 0 的影响较弱,但仍有一定意义; α 的变化会影响潜伏者向有症状感染者的转化速度,进而对整体传播风险产生影响。 σ 的灵敏度指数绝对值为0.2,说明其对 R 0 的影响较弱,但仍有统计学意义;通过减少潜伏者的数量,阻断其向有症状感染者 I 或被隔离的潜伏者 Q E 的转化,从而降低整体传播风险。 λ 的灵敏度指数为−0.413551,对 R 0 呈现中度负向影响; λ 值增大,意味着隔离措施执行力度加强,能有效阻断传播途径,从而降低 R 0 ,抑制疾病传播。 ε 的灵敏度指数为−0.999750,对 R 0 有极强的负向影响。加大疫苗接种率, μ 升高,会使有症状感染者数量减少,传染源减少,进而显著降低 R 0 δ 的灵敏度指数为−0.799920,对 R 0 有较强负向影响。 δ 值增大,表明潜伏者被隔离的效率提高,能减少潜伏者在人群中的传播时间,有效降低 R 0 r r 1 r 2 μ θ 1 θ 1 等参数的灵敏度指数接近0,说明在当前模型设定下,这些参数对基本再生数的影响甚微,改变其数值,对传染病的整体传播能力几乎无明显作用。

分析总结

综上所述,在防控传染病传播时,应重点关注 β α ,通过减少人群接触、控制易感人群规模等措施来降低 R 0 ;同时,合理提高 δ 也能有效抑制疾病的传播。

6. 数值模拟

本节介绍了本研究中进行的数值模拟。模拟主要关注疫苗接种和潜伏者进行隔离在人群中的效果。

数值模拟所用的参数值及其各自来源均列于表1

Figure 3. Time evolution of (a) susceptible individuals and (b) latent individuals, infected individuals, isolated latent individuals, and isolated infected individuals

3. (a)易感者(b)潜伏者、感染者、被隔离的潜伏者、被隔离的感染者随时间演化图像

图3(a)展示了易感者 S 随时间的变化趋势,可见在传染病传播初期,易感者数量迅速下降,随后趋于稳定,这反映了疾病传播对易感人群的消耗过程。图3(b)排除了数量级过大的易感者,更加清晰地展示了潜伏者 E 、感染者 I 、被隔离的潜伏者 Q E 和被隔离的感染者 Q I 的动态变化规律。模拟结果显示,各人群演化关系呈现典型的传染病传播特征:潜伏者数量首先达到峰值,随后感染者数量出现高峰,最后隔离人群数量逐渐增加。这种时序特征与经典传染病传播规律相符,验证了模型的合理性。

Figure 4. When δ=0.2 , impact of different vaccination rates on (a) latent individuals, (b) infected individuals, (c) isolated latent individuals, and (d) pre-symptomatic infectious individuals

4. δ=0.2 时,不同疫苗接种率 ε 对(a)潜伏者(b)感染者(c)被隔离的潜伏者(d)感染潜伏者的影响

图4模拟了不同疫苗接种率 ε 下各人群的动态变化。结果显示,随着疫苗接种率的提高,易感者转化为康复者的速度加快,有效降低了感染风险。具体而言,当疫苗接种率从0.1提升至0.6时,感染者峰值数量显著降低,传染病爆发规模得到有效控制。

Figure 5. When ε=0.4 , impact of different latent individual isolation rates on (a) latent individuals, (b) infected individuals, (c) isolated latent individuals, and (d) isolated infected individuals

5. ε=0.4 时,不同潜伏者隔离率 δ 对(a)潜伏者(b)感染者(c)被隔离的潜伏者(d)被隔离的感染者的影响

图5展示了不同潜伏者隔离率 δ 对各人群动态的影响。模拟发现,提高潜伏者隔离率能够有效阻断传播链,减少潜伏者在人群中的暴露时间。当隔离率从0.1提升至0.6时,感染者峰值出现时间推迟,且峰值强度显著降低,表明隔离措施不仅延缓了传染病传播速度,还减小了感染规模。

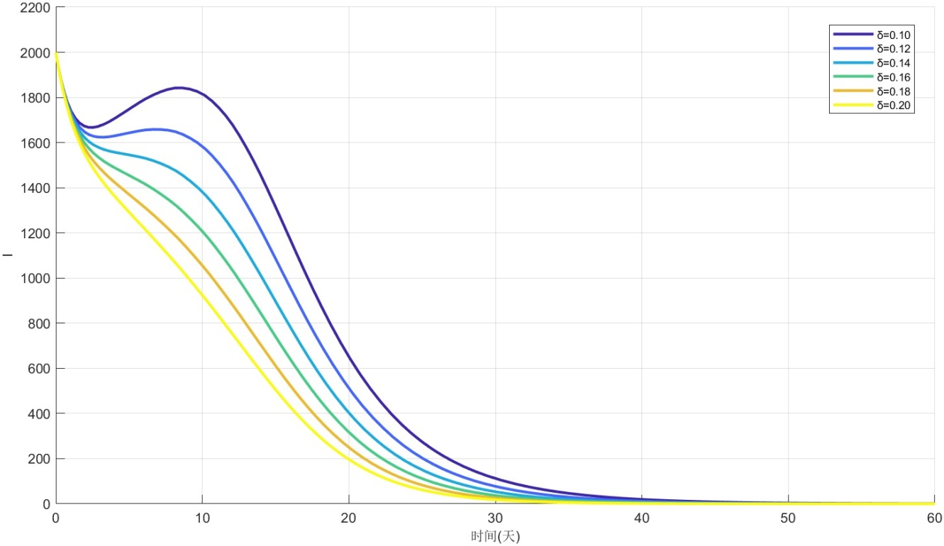
Figure 6. Impact of different latent individual isolation rates δ[ 0.10.2 ] on infected individuals

6. 不同潜伏者隔离率 δ[ 0.10.2 ] 对感染者的影响

图6显示,当潜伏者被检测出后的隔离率 δ0.14 时,感染者曲线从一开始就呈现单调下降趋势。这一结果清晰地量化了控制传染病的一个关键阈值:将潜伏者被检测出后的隔离率提升至0.14以上,是阻止传染病爆发的有效策略。这在实际中对应于通过研发有效的治疗方法、缩短传染期,可以从根本上防止大规模传染病的发生。

Figure 7. Impact of latent individual isolation rate on the end time of the infectious disease

7. 潜伏者隔离率 δ 对传染病结束时间的影响

图7的定量分析显示,潜伏者隔离率与传染病结束时间之间存在明显的负相关关系。隔离率每提高0.1,传染病结束时间平均缩短约15天。特别地,当隔离率超过0.7时,传染病结束时间的缩短效应更加显著,这为确定隔离措施的实施强度提供了重要参考。

数值模拟结果综合表明,疫苗接种和潜伏者隔离是控制传染病传播的两个有效干预手段。疫苗接种主要通过建立群体免疫屏障降低传播风险,而潜伏者隔离则通过切断传播途径控制传染病扩散。两种措施协同实施时,能够产生显著的叠加效应。

7. 结论与展望

本研究通过构建带有潜伏者隔离仓室的SEIR模型,深入分析了隔离措施与疫苗接种对传染病传播的联合控制效果。理论分析与数值模拟一致表明:基本再生数 R 0 可作为决定传染病发展的阈值,当其小于1时,无病平衡点全局渐近稳定;灵敏度分析进一步揭示,疫苗接种率 ε 与潜伏者隔离率 δ 是对 R 0 影响最为显著的两个参数,是防控干预的关键杠杆;数值模拟结果验证,提高此二参数值不仅能有效压低并推迟感染高峰,还能显著缩短传染病周期,若能将潜伏者被检测出后的隔离率提升至特定阈值以上,甚至可避免传染病的大规模爆发。这些结论与周大勇等[1]关于隔离与疫苗协同作用的研究相互印证,并给出了更精细的量化关系。

然而,本模型基于若干理想化假设,虽然在理论上具有一定解释力,但在实际应用中可能存在局限性。首先,模型假设疫苗接种后具有完全保护效力且免疫持久,未考虑疫苗有效性随时间衰减或免疫逃逸现象。若引入疫苗非完全有效或免疫衰减,则基本再生数 R 0 的表达式将相应调整。例如,考虑疫苗效率后,有效接种率对 R 0 的抑制效果将减弱, R 0 可能随保护效率下降而升高;若进一步引入免疫衰减, R 0 的阈值条件将更为复杂,可能导致疾病在 R 0 <1 时仍持续存在低频传播。这些修正将影响对防控策略有效性的评估:若疫苗非完全有效或免疫不持久,仅依赖提高接种率可能不足以实现群体免疫,需结合更高强度的隔离措施或多次加强接种。其次,模型未考虑检测延迟、隔离执行效率差异以及社会行为响应等现实因素,这些因素可能延缓防控措施起效时间,影响“隔离率阈值”的实际可达性。未来研究可在本模型基础上引入时滞、随机扰动或行为动力学模块,以更贴合真实世界的决策情景。

参考文献

[1] 周大勇, 孙建梅. 疫苗注入与隔离措施对新发传染病传播的影响[J]. 大连交通大学学报, 2022, 43(1): 115-120.
[2] 孙晓菊. 具有Ornstein-Uhlenbeck过程的随机传染病SIRI和SIR模型的动力学行为研究[D]: [硕士学位论文]. 长春: 长春师范大学, 2024.
[3] 王艳姝. 两类传染病模型的动力学行为分析[D]: [硕士学位论文]. 舟山: 浙江海洋大学, 2024.
[4] 童亚纯. 扩散的SIS传染病模型的时空传播特征研究[D]: [博士学位论文]. 扬州: 扬州大学, 2023.
[5] 周嘉颖. 分数阶复杂网络传染病模型时空动力学[D]: [博士学位论文]. 哈尔滨: 哈尔滨工业大学, 2024.
[6] 付鑫婕. 基于复杂网络的传染病模型动力学分析及其控制策略[D]: [博士学位论文]. 贵阳: 贵州大学, 2024.
[7] 李雪琴. 非均匀环境中SIRS传染病模型的空间动力学研究[D]: [硕士学位论文]. 兰州: 兰州大学, 2024.
[8] Hethcote, H.W. (2000) The Mathematics of Infectious Diseases. SIAM Review, 42, 599-653. [Google Scholar] [CrossRef
[9] Feng, Z. and Thieme, H.R. (2003) Dynamical Behavior of an SEIR Epidemic Model with Vaccination. Journal of Mathematical Biology, 47, 22-40.
[10] Wang, Y. and Zhao, X. (2010) An SEIR Epidemic Model with Latent and Infectious Compartments. Applied Mathematics and Computation, 217, 1588-1595.
[11] Liu, Q., Song, Y. and Zhang, X. (2012) Analysis of an SEIR Epidemic Model with Isolation and Vaccination. Nonlinear Analysis: Real World Applications, 13, 1241-1254.
[12] Sun, X. and Zhao, H. (2014) An SEIR Epidemic Model with Age-Structure and Vaccination. Journal of Computational and Applied Mathematics, 268, 261-274.
[13] Chen, L. and Feng, Z. (2016) Global Dynamics of an SEIR Epidemic Model with Non-Linear Incidence Rate and Vertical Transmission. Journal of Differential Equations, 260, 7921-7944.
[14] Zhang, Y., Liu, X. and Wang, Y. (2018) An SEIR Epidemic Model with Isolation and Treatment Delays. Chaos, Solitons & Fractals, 117, 127-135.
[15] van den Driessche, P. and Watmough, J. (2002) Reproduction Numbers and Sub-Threshold Endemic Equilibria for Compartmental Models of Disease Transmission. Mathematical Biosciences, 180, 29-48. [Google Scholar] [CrossRef] [PubMed]
[16] Alnafisah, Y. and Sohaly, M.A. (2025) Analyzing Measles Spread through a Markovian SEIR Model. Scientific Reports, 15, Article No. 15183. [Google Scholar] [CrossRef] [PubMed]
[17] Wang, H., Wu, D., Luo, J. and Zhang, J. (2024) Integrating Socio-Psychological Factors in the SEIR Model Optimized by a Genetic Algorithm for COVID-19 Trend Analysis. Scientific Reports, 14, Article No. 15684. [Google Scholar] [CrossRef] [PubMed]
[18] Li, C., Lü, X., Gong, J. and Lei, Y. (2024) Extended SEIR Model of COVID-19 Spread Focusing on Compartmental Flow in England. Nonlinear Dynamics, 113, 971-988. [Google Scholar] [CrossRef
[19] Chebotaeva, V., Srinivasan, A. and Vasquez, P.A. (2025) Differentiating Contact with Symptomatic and Asymptomatic Infectious Individuals in a SEIR Epidemic Model. Bulletin of Mathematical Biology, 87, Article No. 38. [Google Scholar] [CrossRef] [PubMed]