考虑最大骨料粒径影响的轻骨料混凝土抗压强度及尺寸效应研究
Study on Compressive Strength and Size Effect of Lightweight Aggregate Concrete Considering the Influence of Maximum Aggregate Size
DOI: 10.12677/hjce.2026.151017, PDF, HTML, XML,   
作者: 刘艺欣, 李绪栋:北京工业大学建筑工程学院,北京;王 茜:北京市东城区建国门街道党群工作办公室,北京
关键词: 轻骨料混凝土最大骨料粒径抗压强度尺寸效应数值模拟Lightweight Aggregate Concrete Maximum Aggregate Size Compressive Strength Size Effect Numerical Simulation
摘要: 为了研究轻骨料最大骨料粒径对立方体试块抗压强度与尺寸效应的影响,文章将轻骨料混凝土看作由砂浆、轻骨料、粘结界面组成的三相复合材料,分别建立了边长为100 mm、150 mm、200 mm、300 mm的轻骨料混凝土细观骨料模型,通过数值模拟研究了不同试件尺寸及不同轻骨料最大骨料粒径的混凝土在单轴受压下的抗压强度,并分析其对尺寸效应的影响。结果表明,当最大骨料粒径处于13 mm~20 mm区间时,抗压强度普遍随粒径增大而上升,且通常在粒径20 mm左右时达到峰值;最大骨料粒径超过20 mm时,抗压强度则开始呈现逐渐下降的趋势。此外,Bažant尺寸效应理论能够较好地描述本研究的单轴抗压强度尺寸效应规律,且最大骨料粒径的增加会削弱尺寸效应现象。
Abstract: To investigate the influence of the maximum aggregate size (MAS) of lightweight aggregate on the compressive strength and size effect of cube specimens, this paper treats lightweight aggregate concrete (LWAC) as a three-phase composite material consisting of mortar, lightweight aggregate, and the interfacial transition zone (ITZ). Meso-scale aggregate models of LWAC with side lengths of 100 mm, 150 mm, 200 mm, and 300 mm were established, respectively. Numerical simulations were conducted to study the uniaxial compressive strength of concrete with different specimen sizes and different maximum lightweight aggregate sizes, and their impact on the size effect was analyzed. The results show that when the MAS is within the range of 13 mm to 20 mm, the compressive strength generally increases with increasing particle size, typically peaking around 20 mm. When the MAS exceeds 20 mm, the compressive strength begins to exhibit a gradual declining trend. Additionally, Bažant’s size effect law fits the observed strength-size trend well, and a larger MAS reduces the size effect.
文章引用:刘艺欣, 王茜, 李绪栋. 考虑最大骨料粒径影响的轻骨料混凝土抗压强度及尺寸效应研究[J]. 土木工程, 2026, 15(1): 143-154. https://doi.org/10.12677/hjce.2026.151017

1. 引言

近年来,轻骨料混凝土(Lightweight Aggregate Concrete)作为一种绿色建筑材料,在高层建筑与桥梁结构中呈现出良好的发展趋势。其是指采用轻质骨料的混凝土,多使用轻质多孔的骨料代替天然密实骨料,如浮石、火山渣等天然轻骨料;陶粒等人造轻骨料;或煤渣、矿渣等工业废料。具有自重轻、保温隔热性能好、抗震性能优、耐火性强等特点,同时具有良好的变形性能。

随着轻骨料混凝土应用场景多元化的发展趋势,越来越多的学者开始从事轻骨料混凝土的研究。Wang等[1]探讨了陶粒含水率、取代率及膨胀剂对轻骨料混凝土早期开裂敏感性的影响,指出提高含水率和骨料取代率可有效抑制裂缝发展。Bogas等[2]分析了裂缝对轻骨料混凝土毛细吸水与碳化性能的影响,并与普通混凝土进行了对比。Karthika等[3]研究发现,以50%天然浮石取代普通粗骨料可在保证强度的同时有效减轻混凝土自重。Cui等[4]探讨了轻骨料体积分数及其物理特性对混凝土力学行为的影响规律。Kayali等[5]分析了钢纤维的掺入对轻骨料混凝土力学性能的增强效果。Ma等[6]系统评估了钢纤维增强轻骨料混凝土的力学特性,并对其在实际工程中的应用潜力进行了探讨。

混凝土的尺寸效应,是指随着构件尺寸的变大,以强度为代表的力学指标不再固定,而是随着材料的几何尺寸的变化而变化[7]。产生这一现象的核心原因主要有材料的内部缺陷影响、应力分布的差异等。Kim等[8]基于数据分析指出,混凝土尺寸效应与最大骨料粒径密切相关;然而,Choi等[9]的拉伸试验结果表明,在4~19 mm范围内,最大骨料粒径对混凝土(尤其是轻质混凝土)的拉伸强度及尺寸效应影响不显著。杜敏等[10] [11]通过劈裂与弯曲试验研究了更大粒径范围(10~40 mm)的影响,发现最大骨料粒径越小,混凝土的尺寸效应现象越明显。林朗等人[12]基于大规模数据的可解释机器学习的分析表明,最大骨料粒径对钢纤维混凝土的抗压与劈拉强度存在相反的微作用:其增大会轻微削弱抗压强度,但也会小幅提升劈拉强度。这一发现揭示了骨料粒径通过不同机制影响混凝土复杂力学行为的深层规律,丰富了对其性能调控的认知。李炎隆等人[13]通过对不同最大骨料粒径(16 mm~31.5 mm)的沥青混凝土的研究,发现适当增大骨料最大粒径可优化部分力学性能并降低成本,但存在一个最佳粒径范围,超过后会导致抗拉性能、变形能力和高温稳定性下降,当最大骨料粒径为31.5 mm时,抗压强度最高。国内外学者对尺寸效应开展了试验和理论研究,提出了Weibull统计尺寸效应理论[14]、Bažant断裂力学尺寸效应理论[15]和Carpinteri多重分形尺寸效应理论[16]等。然而,这些经典的理论公式受限于尺度范围、边界条件和加载方式等。大量试验与数值研究表明,混凝土的细观结构,尤其是骨料粒径及其与水泥砂浆基体的相互作用,也是调控其断裂行为与宏观尺寸效应的关键内在因素。

与普通混凝土相同,轻骨料混凝土也存在着尺寸效应现象,但轻骨料混凝土的组成、结构、力学性能、破坏形态等都与普通混凝土有着较大区别。Choi等[9]通过试验研究了轻骨料类型与粒径对不同尺寸混凝土试件直接拉伸强度的影响,发现轻骨料混凝土存在明显尺寸效应,且骨料类型对尺寸效应的影响较粒径更为显著。张军等[17]对比了多种混凝土立方体试件的抗压性能,结果表明轻骨料混凝土、普通混凝土及两类自密实混凝土均表现出明显的尺寸效应,强度随试件尺寸增大而降低。杨锟[18]通过研究骨料粒径对陶粒混凝土(轻骨料混凝土)的研究发现,骨料粒径对碱激发陶粒混凝土(AACC)的力学性能及尺寸效应具有显著影响:随着骨料粒径增大,立方体和轴心抗压强度均呈现先上升后下降的趋势,在5 mm~15 mm时达到峰值(抗压强度最高35.83 MPa,轴心抗压强度最高29.87 MPa);而劈裂抗拉强度和抗折强度则随骨料粒径增大持续降低,在5 mm~10 mm时最高(劈裂抗拉强度3.98 MPa,抗折强度5.20 MPa)。在尺寸效应方面,AACC的抗压与劈裂抗拉强度均随试件尺寸增大而下降,表现出明显尺寸效应,但骨料粒径增大会减弱该效应;基于Bazant能量释放理论的抗压强度尺寸效应公式更适用于小骨料粒径情况,而基于Weibull统计理论的劈裂抗拉强度尺寸效应公式更适用于大骨料粒径情况。

王公志等[19]研究了骨料含量对轻骨料混凝土抗压性能与尺寸效应的影响,发现随骨料含量增加,抗压强度降低,且在含量为40%时尺寸效应最弱。金浏等[20]分析了轻骨料混凝土在劈拉与压缩下的破坏机理与尺寸效应,指出因其骨料强度低、脆性大,破坏多表现为骨料断裂,故尺寸效应较普通混凝土更为显著。张少云[21]实验表明,轻骨料最大粒径从10 mm增加至20 mm时抗压强度呈增强趋势,但超过一定阈值后强度转而下降。石凡锐[22]也指出当最大骨料粒径范围在16 mm~25 mm时轻骨料混凝土的强度普遍提高10%左右。总体来看,对于从轻骨料细观结构的角度研究其抗压强度尺寸效应的相关工作仍需继续加强,本文在此基础上,重点研究最大骨料粒径对轻骨料混凝土抗压强度及其尺寸效应的影响。

2. 细观数值分析模型与方法

2.1. 细观模型的建立

在细观层次上,本文将轻骨料混凝土视为三相复合材料,由轻骨料颗粒、水泥砂浆及二者间的界面过渡区(ITZ)组成。在建立细观数值模型时,假定轻骨料颗粒为圆形,采用二级配,等效最大骨料粒径分别为13 mm、15 mm、20 mm、25 mm、27 mm、30 mm。基于富勒提出的Fuller级配曲线,建立了将三维骨料体积含量转化为二维骨料级配曲线的瓦拉文公式[23],如下所示:

P C ( D< D 0 )= P K [ 1.065 ( D 0 D max ) 0.5 0.053 ( D 0 D max ) 4 0.012 ( D 0 D max ) 6 0.0045 ( D 0 D max ) 8 + 0.0025 ( D 0 D max ) 10 ] (1-1)

式中: D 0 表示筛孔直径; D max 表示最大骨料粒径; P( D< D 0 ) 表示骨料粒径小于 D 0 的质量百分比; P C 为试件截面内任意位置骨料粒径小于 D 0 的概率; P K 为骨料粒径小于 D 0 的骨料体积占轻骨料混凝土试件总体积的比值;

然后可根据公式(1-2)计算出二维截面内的骨料颗粒数量n

n=[ P C ( D< D 2 ) P C ( D< D 1 ) ]× A A i (1-2)

式中: A 表示轻骨料混凝土试件的横截面面积; A i 表示代表粒径的骨料面积。

本文采用蒙特卡洛法[24],利用Fortran程序分别建立边长为100 mm、150 mm、200 mm、300 mm的二维轻骨料混凝土试件的随机骨料模型。对于随机骨料模型的有限元网格剖分,三角剖分是常用的剖分方法之一。并通过对比Delaunay三角剖分和均匀网格三角剖分(见图1图2),发现Delaunay三角剖分在前处理工作效率上有明显优势[25]。本文将同样采取Delaunay三角剖分对试件进行剖分。

Figure 1. Uniform mesh generation

1. 均匀网格剖分

Figure 2. Delaunay triangular mesh

2. Delaunay三角网格剖分

网格剖分的尺寸大小会影响单元数量、计算精度与效率等。为选取合理的网格尺寸大小,分别对网格尺寸为1 mm、2 mm、3 mm的细观模型进行数值模拟。以150 mm × 150 mm的试件为例(见图3),混凝土细观结构模拟中的界面过渡区厚度范围通常为0.2~0.8 mm [26],本文将厚度设定为0.5 mm。

分别对三种尺寸的网格剖分进行单轴抗压数值模拟,得到的应力–应变曲线如图4所示。可以看出,三种曲线上升段几乎重合,仅在下降段略有区别;而且如表1所示,随着网格尺寸的减小,单元数节点数增加,计算效率随之降低。综合考虑下,本文将尺寸为100 mm、150 mm较小试件的网格设为1 mm,200 mm的试件网格尺寸设为2 mm,300 mm试件的网格尺寸设为3 mm。

Figure 3. Mesh diagrams for different mesh sizes

3. 不同网格尺寸的剖分图

Figure 4. Stress-strain curves with different ITZ thicknesses

4. 不同网格剖分尺寸得到的单轴压缩应力–应变曲线

Table 1. Number of elements and nodes for different mesh sizes

1. 不同网格剖分尺的单元数和节点数

网格尺寸

节点数

单元数

1 mm

29,112

57,697

2 mm

12,095

23,925

3 mm

8436

16,695

2.2. 本构关系及材料参数

众多学者通过试验与理论分析得出,在外荷载的作用下混凝土的应力–应变曲线呈现非线性的特征,主要原因是其内部微裂缝的扩展与贯通。本文将采用多折线损伤本构模型[27]来描述轻骨料混凝土的损伤演变过程。

根据经验公式和文献[28],本文采取的材料参数和本构参数如表2表3所示:

Table 2. Material parameters

2. 材料参数

参数

抗压强度/MPa

抗拉强度/MPa

弹性模量/MPa

泊松比

轻骨料

16.6

1.66

14,000

0.22

砂浆

46.8

3.88

24,000

0.2

界面

22.0

2.20

10,000

0.2

Table 3. Constitutive curve shape parameters

3. 本构参数

参数

砂浆

轻骨料

界面

β

0.8

0.85

0.9

γ

0.35

0.4

0.35

α

0.2

0.2

0.2

λ

0.5

0.45

0.5

η c

3

3

3

η t

2

3

2

ζ t , ζ c

10

10

10

2.3. 细观数值模型的验证

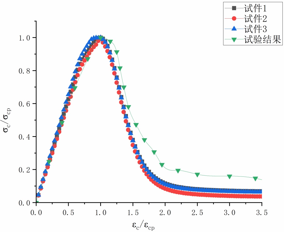
本次数值模型的验证采用截面尺寸为100 mm × 100 mm的试件,并选取三组不同的随机数分别进行单轴压缩的数值模拟,三次数值模拟的结果以及与试验[28]的对比见表4

Table 4. Peak stress of lightweight aggregate concrete specimens

4. 轻骨料混凝土试件的峰值应力

试件1

试件2

试件3

平均值

试验结果

误差

抗压强度(MPa)

21.58

22.03

21.86

21.82

21.9

0.365%

以c/cp为纵坐标,以c/cp为横坐标,绘制三次数值模拟和试验的无量纲应力–应变曲线,如图5所示。可见本次数值模拟的应力–应变曲线与试验结果吻合良好,并且清晰呈现了试件应力上升段、峰值应力及损伤后的下降段,验证了所用模型及参数的合理性。

3. 轻骨料混凝土单轴压缩力学行为

为研究最大骨料粒径对轻骨料混凝土单轴压缩破坏行为的影响,基于上述的数值模型和材料参数,针对不同尺寸的轻骨料混凝土立方体试件(b = 100 mm, 150 mm, 200 mm, 300 mm)和不同最大骨料粒径下(D = 13 mm, 15 mm, 20 mm, 25 mm, 27 mm, 30 mm)的试块分别进行体单轴静态压缩细观数值模拟。为减小误差,数值模拟分别选取12组随机数进行骨料投放,峰值应力均取平均值。

Figure 5. Dimensionless stress-strain curves under uniaxial compression

5. 单轴压缩无量纲应力–应变曲线

3.1. 轻骨料混凝土压缩破坏模式(破坏形态)

以截面尺寸为100 mm、最大骨料粒径为13 mm的试件为例,如图6所示。浅灰色代表砂浆,蓝色代表轻骨料,浅蓝色代表粘结界面,黑色代表破坏单元。可以看出与普通混凝土的破坏多为沿着力学性能薄弱的界面过渡区(ITZ)或砂浆基质而破坏[29]不同;轻骨料混凝土的破坏则以轻骨料颗粒自身开裂为主要特征。同时,轻骨料混凝土产生的裂缝与试件边界多呈45˚夹角,且破坏过程中会形成明显的剪切破坏面[20]

Figure 6. Failure process diagram

6. 破坏过程图

3.2. 最大骨料粒径对抗压强度的影响

图7所示,可以看出当骨料最大粒径保持不变时,随着截面尺寸的增加,峰值应力呈现下降趋势。且在同一尺寸下,轻骨料混凝土的抗压强度呈现出先增后减的规律。当最大骨料粒径处于13 mm~20 mm时,抗压强度随粒径增大而稳步上升;超过20 mm抗压强度则开始呈现逐渐下降的趋势。

一方面,这是由于当轻骨料粒径过小时,尽管骨料的大尺寸缺陷减小,但颗粒的总比表面积显著增加,导致力学性能薄弱的界面过渡区(ITZ)体积分数增多,进而加剧轻骨料混凝土的破坏。另一方面,当骨料粒径过大时,其内部的不均匀性更强;且由于轻骨料本身的脆性特性,叠加轻骨料混凝土的破坏是以骨料颗粒断裂为主的特征,进一步加剧了破坏过程。张少云通过试验研究发现[21],在特定范围内(10 mm~20 mm),随着轻骨料最大粒径的增大,抗压强度呈现上升态势。但当粒径超过某一临界值后,抗压强度则会出现反向下降的变化。另有学者石凡锐的研究也得出了类似的规律[22],当最大骨料粒径范围在16 mm~25 mm时轻骨料混凝土的强度普遍提高10%左右。

Figure 7. The variation pattern of compressive strength in lightweight aggregate concrete with different maximum aggregate sizes

7. 不同最大骨料粒径的轻骨料混凝土抗压强度变化规律

图8展示了不同结构尺寸下,轻骨料混凝土抗压强度的变化规律。可以看出轻骨料混凝土的抗压性能存在显著的尺寸效应。且随着轻骨料最大粒径的增大,抗压强度随截面尺寸增加而下降的趋势愈发平缓,说明最大骨料粒径的增加会削弱尺寸效应现象。

Figure 8. The variation patterns of compressive strength of lightweight aggregate concrete with different structural dimensions.

8. 不同结构尺寸的轻骨料混凝土压缩强度变化规律

4. 轻骨料混凝土抗压性能尺寸效应分析

4.1. 轻骨料混凝土尺寸效应度分析

为定量描述轻骨料混凝土骨料含量对抗压强度尺寸效应的影响,王公志[19]引入了尺寸效应度的概念,该参数定义为非基准尺寸试件(150 mm, 200 mm, 300 mm)与基准尺寸试件(100 mm)的抗压强度差值相对于基准试件抗压强度的百分比。本研究沿用王公志[19]提出的“尺寸效应度”概念,将其设为 γ ,按照以下公式计算:

γ b = f cu,100 f cu,b f cu,100 ×100% (3-1)

式中, b 表示试件边长; f cu,b 表示边长为 b 时试件的抗压强度; γ b 表示边长为 b 时试件的尺寸效应度。

尺寸效应度的值越大,轻骨料混凝土的尺寸效应越明显。由图9可以看出,当最大骨料粒径为13~20 mm时,尺寸效应度最大,即尺寸效应最明显;当最大骨料粒径超过20 mm时,尺寸效应度有明显下降趋势,尤其是尺寸为200 mm和300 mm的大试件。

Figure 9. Degree of size effect in lightweight aggregate concrete under different maximum aggregate sizes

9. 轻骨料混凝土最大骨料粒径不同时的尺寸效应度

4.2. 验证巴赞特尺寸效应理论

Bažant [29]基于断裂力学理论建立了尺寸效应律理论,其与塑性理论或弹性理论相符合的统一表达式为:

σ Nu = B f c 1+D/ D 0 (3-2)

式中, σ Nu 表示混凝土名义强度, f c 表示混凝土抗压强度(取边长为100 mm的试件);D表示试件的尺寸;B D 0 是通过数值模拟结果拟合得到的参数。

将式(3-2)转化为线性方程:

y=Ax+C (3-3)

式中, y= ( f c / σ Nu ) 2 x=D A=1/ D 0 B 2 C=1/ B 2

通过参数,可对数值模拟的数据进行Bažant尺寸效应、线弹性断裂力学理论(Linear Elastic Fracture Mechanics, LEFM)、塑性强度(Strength criterion)的曲线拟合对比,如图10所示。

Figure 10. Fitted curve for the size effect on compressive strength of lightweight aggregate concrete

10. 轻骨料混凝土抗压强度尺寸效应拟合曲线

结果表明,对于不同最大骨料粒径的轻骨料混凝土的模拟数据都能较好地附着在Bažant理论曲线周围,且拟合系数R2大于0.92,表明轻骨料混凝土与普通混凝土的尺寸效应规律较为相似。且随着最大骨料粒径的增大,数据点逐渐靠近塑性极限y = 0的区域,说明轻骨料混凝土破坏时的脆性越不明显,尺寸效应逐渐被抑制。

5. 结论

本文借助基面力单元法对轻骨料混凝土进行压缩力学性能分析,通过数值模拟建立了轻骨料混凝土的二维模型,把轻骨料混凝土看作由砂浆、轻骨料、粘结界面组成的三相复合材料。并研究最大骨料粒径对其抗压强度的影响及尺寸效应分析,得到以下结论:

1) 采用蒙特卡罗法将六种粒径的轻骨料随机投放进四种尺寸的试件,建立轻骨料混凝土数值模型;并采用Delaunay三角剖分法对骨料进行剖分,保证计算精度的同时也提高了工作效率。

2) 与普通混凝土沿着力学性能薄弱的界面过渡区(ITZ)或砂浆基质而破坏的压缩破坏模式不同,轻骨料混凝土的破坏主要以轻骨料颗粒自身开裂为主要特征。

3) 当最大骨料粒径处于13 mm~20 mm区间时,抗压强度普遍随粒径增大而上升,且通常在粒径20 mm左右时达到峰值;最大骨料粒径超过20 mm时,抗压强度则开始呈现逐渐下降的趋势。

4) 轻骨料混凝土也满足尺寸效应规律,即抗压强度随试件尺寸的增大而降低,且Bažant尺寸效应理论能够较好地描述本文研究的单轴抗压强度尺寸效应规律。随着轻骨料最大粒径的增大,抗压强度随截面尺寸增加而下降的趋势愈发平缓,说明最大骨料粒径的增加会削弱尺寸效应现象。

参考文献

[1] Wang, X.F., Fang, C., Kuang, W.Q., Li, D.W., Han, N.X. and Xing, F. (2017) Experimental Study on Early Cracking Sensitivity of Lightweight Aggregate Concrete. Construction and Building Materials, 136, 173-183. [Google Scholar] [CrossRef
[2] Bogas, J.A., Carriço, A. and Pontes, J. (2019) Influence of Cracking on the Capillary Absorption and Carbonation of Structural Lightweight Aggregate Concrete. Cement and Concrete Composites, 104, Article ID: 103382. [Google Scholar] [CrossRef
[3] Karthika, R.B., Vidyapriya, V., Nandhini Sri, K.V., Merlin Grace Beaula, K., Harini, R. and Sriram, M. (2021) Experimental Study on Lightweight Concrete Using Pumice Aggregate. Materials Today: Proceedings, 43, 1606-1613. [Google Scholar] [CrossRef
[4] Cui, H.Z., Lo, T.Y., Memon, S.A. and Xu, W. (2012) Effect of Lightweight Aggregates on the Mechanical Properties and Brittleness of Lightweight Aggregate Concrete. Construction and Building Materials, 35, 149-158. [Google Scholar] [CrossRef
[5] Kayali, O., Haque, M.N. and Zhu, B. (2003) Some Characteristics of High Strength Fiber Reinforced Lightweight Aggregate Concrete. Cement and Concrete Composites, 25, 207-213. [Google Scholar] [CrossRef
[6] Ma, H.L., Cui, C., Li, X. and Hu, S.L. (2013) Study on Mechanical Properties of Steel Fiber Reinforced Autoclaved Lightweight Shell-Aggregate Concrete. Materials & Design (1980-2015), 52, 565-571. [Google Scholar] [CrossRef
[7] Planas, J., Guinea, G.V. and Elices, M. (1997) Generalized Size Effect Equation for Quasibrittle Materials. Fatigue & Fracture of Engineering Materials & Structures, 20, 671-687. [Google Scholar] [CrossRef
[8] Kim, J. (1990) Size Effect in Concrete Specimens with Dissimilar Initial Cracks. Magazine of Concrete Research, 42, 233-238. [Google Scholar] [CrossRef
[9] Choi, S., Yang, K., Sim, J. and Choi, B. (2014) Direct Tensile Strength of Lightweight Concrete with Different Specimen Depths and Aggregate Sizes. Construction and Building Materials, 63, 132-141. [Google Scholar] [CrossRef
[10] 杜敏, 金浏, 李冬, 等. 粗骨料粒径对混凝土弯拉强度尺寸效应影响的试验研究[J]. 北京工业大学学报, 2016, 42(6): 912-918.
[11] 杜敏, 金浏, 李冬, 等. 骨料粒径对混凝土劈拉性能及尺寸效应影响的细观数值研究[J]. 工程力学, 2017, 34(9): 54-63.
[12] 林朗, 盛小龙, 徐金俊, 等. 钢纤维混凝土力学强度的可解释机器学习建模与预测[J/OL]. 硅酸盐学报: 1-13.
https://link.cnki.net/urlid/11.2310.TQ.20251215.1723.002, 2025-12-27.
[13] 李炎隆, 库得热提·热哈曼, 董静, 等. 骨料最大粒径对防渗层沥青混凝土性能影响研究[J]. 水力发电学报, 2025, 44(8): 71-80.
[14] Weibull, W. (1939) The Phenomenon of Rupture in Solids. Proceedings of Royal Sweden Institute of Engineering Re-search, 153, 1-55.
[15] Bazant, Z.P. and Planas, J. (1998) Fracture and Size Effect in Concrete and Other Quasibrittle Materials. CRC Press, 7-15.
[16] Carpinteri, A. and Ferro, G. (1994) Size Effects on Tensile Fracture Properties: A Unified Explanation Based on Disorder and Fractality of Concrete Microstructure. Materials and Structures, 27, 563-571. [Google Scholar] [CrossRef
[17] 张军, 余振鹏, 樊梓元, 等. 自密实混凝土抗压强度尺寸效应试验研究[J]. 混凝土, 2019(12): 60-63, 68.
[18] 杨锟. 骨料粒径对碱激发陶粒混凝土力学性能及尺寸效应的影响研究[D]: [硕士学位论文]. 青岛: 山东科技大学, 2023.
[19] 王公志, 王江, 许斌. 轻粗骨料含量对混凝土抗压性能尺寸效应影响的细观数值模拟[J]. 力学季刊, 2023, 44(2): 456-468.
[20] 金浏, 杨旺贤, 余文轩, 等. 基于细观模拟的轻骨料混凝土破坏行为及尺寸效应研究[J]. 防灾减灾工程学报, 2021, 41(1): 91-99.
[21] 张少云. 火山渣轻骨料混凝土配合比优化及其细观模拟研究[D]: [硕士学位论文]. 张家口: 河北建筑工程学院, 2024.
[22] 石凡锐. 轻骨料混凝土配合比设计[J]. 黑龙江科技信息, 2013(27): 256.
[23] 阮欣, 李越, 金泽人, 等. 混凝土二维细观骨料建模方法综述[J]. 同济大学学报(自然科学版), 2018, 46(5): 604-612.
[24] Grassl, P., Grégoire, D., Rojas Solano, L. and Pijaudier-Cabot, G. (2012) Meso-Scale Modelling of the Size Effect on the Fracture Process Zone of Concrete. International Journal of Solids and Structures, 49, 1818-1827. [Google Scholar] [CrossRef
[25] 彭一江, 应黎坪. 再生混凝土细观分析方法[M]. 北京: 科学出版社, 2018.
[26] Zhou, X.Q. and Hao, H. (2008) Mesoscale Modelling of Concrete Tensile Failure Mechanism at High Strain Rates. Computers & Structures, 86, 2013-2026. [Google Scholar] [CrossRef
[27] Zhuang, Y., Chen, C. and Ji, T. (2013) Effect of Shale Ceramsite Type on the Tensile Creep of Lightweight Aggregate Concrete. Construction and Building Materials, 46, 13-18. [Google Scholar] [CrossRef
[28] 王立成, 刘汉勇, Hiwada Kiyoshi. 硅灰对轻骨料混凝土抗海水冻融性能的影响[J]. 建筑材料学报, 2005, 8(4): 349-355.
[29] Bažant, Z.P. (1984) Size Effect in Blunt Fracture: Concrete, Rock, Metal. Journal of Engineering Mechanics, 110, 518-535. [Google Scholar] [CrossRef