Lambert W函数与黑体辐射的双值问题
The Dual-Valued Problem of Lambert’s W Function and Blackbody Radiation
DOI: 10.12677/aam.2026.151043, PDF, HTML, XML,    科研立项经费支持
作者: 王广福:季华实验室,广东 佛山;中国煤炭科学研究院矿山人工智能研究所,北京;盛选禹*:季华实验室,广东 佛山;董盛卉:广东外语外贸大学日语语音文化学院,广东 广州
关键词: Lambert W函数黑体辐射普朗克定律双值函数Lambert W Function Blackbody Radiation Planck’s Law Two-Valued Function
摘要: 本文介绍了Lambert W函数和它的性质,特别是函数的定义域在(−1/e, 0)范围时,函数是双值函数。在黑体辐射的求解中,需要应用到Lambert W函数,但在物理计算中,没有考虑该函数的双值问题,只求解出一个解,而实际有两个解。在黑体辐射求解中应用了4次Lambert W函数,均有一个函数值小于−1的情况,分别是−2,−3,−4,−5。Lambert W函数的性质在黑体辐射的计算中被忽视了。
Abstract: This paper introduces the Lambert W function and its properties, particularly its bivalued nature when the domain is (−1/e, 0). The Lambert W function is required for solving blackbody radiation, but in physical calculations, its bivalued nature is often overlooked, resulting in only one solution when two solutions are actually found. In the blackbody radiation calculation, the Lambert W function was applied four times, and in each case, one function value was less than −1: −2, −3, −4, and −5. The properties of the Lambert W function have been neglected in blackbody radiation calculations.
文章引用:王广福, 盛选禹, 董盛卉. Lambert W函数与黑体辐射的双值问题[J]. 应用数学进展, 2026, 15(1): 459-472. https://doi.org/10.12677/aam.2026.151043

1. Lambert W函数

1758年,Lambert兰伯特通过对xq次幂进行级数展开,解出了三项式方程 x=q+ x m 。后来,他将该方程数扩展至x的给定次幂[1] [2]。在文献[3]中,欧拉将兰伯特方程变换成更对称的形式

x α x β =( αβ )v x αβ (1.1)

x β 代替x,设 m=α/β q=( αβ )v 。欧拉版本的兰伯特级数解如下:

x n =1+nv+ 1 2 n( n+α+β ) v 2 + 1 6 n( n+α+2β )( n+2α+β ) v 3 + 1 24 n( n+α+3β )( n+2α+2β )( n+3α+β ) v 4 + (1.2)

推导完成级数后,欧拉开始研究特殊情况,首先是 α=β 。为了理解在原始三项式方程中的含义,我们将(1.1)除以 ( αβ ) ,然后令 βα ,得到

logx=v x α . (1.3)

欧拉注意到,如果我们能解方程(1.3)中 α=1 的解,那么我们就能解任意 α0 的解。为了证明这一点,将方程(1.3)乘以 α ,将 αlogx 化为 log x α ,令 z= x α ,且 u=αv 。我们得到 logz=uz ,它就是 α=1 的方程(13)。

为了利用式(1.2)求解该方程,欧拉首先令 α=β=1 ,然后将(1.2)式重写为 ( x n 1 )/n 的级数。接下来,他令n = 0,得到左边为 logx ,右边为一个级数形式:

logx=v+ 2 1 2! v 2 + 3 2 3! v 3 + 4 3 4! v 4 + 5 4 5! v 5 + . (1.4)

该级数在 | v |<1/e 时收敛,定义一个函数 T( v ) ,称为树函数[4]。它等于 W( v ) ,其中 W( z ) 定义为满足

W( z ) e W( z ) =z, W( z )=z e z . (1.5)

这两个函数有许多应用:例如,树木的枚举[4]-[8];水波高度的计算[9];以及Pόlya和Szegö考虑的问题[10,问题III.209,第146页]。Wright使用W的复数分支和更一般的指数多项式的根来求解线性常系数延迟方程[11]。在[12]中,Fritsch、Shafer和Crowley提出了一种算法,用于对x > 0时 W( x ) 的一个分支进行固定精度计算。计算机代数系统Maple多年来一直对W的这个实数值分支提供任意精度实现,并且从Release 2开始对所有分支都提供任意精度实现[13]

将式(1.5)用标准函数形式写下来,如式(1.6)所示。

W( x )=x e x , W( x ) e W( x ) =x. (1.6)

如果x为实数,则当 1/e x 时, W( x ) 有两个可能的实数值(见图1)。当满足 1W( x ) 时,我们将分支记为 W 0 ( x ) ,或者直接记为 W( x ) ,当这样就不会造成混淆时,满足 W( x )1 的分支记为 W 1 ( x ) W 0 ( x ) 称为W函数的主分支。

Figure 1. The two real branches of W(x). ——, W0(x); – – –, W−1(x)

1. W(x)的两个实数分支。——,W0(x);– – –,W−1(x)

2. 黑体辐射和普朗克定律

从历史上看,普朗克对白炽热源和光源光谱的解析对量子力学的发展起到了关键作用,因为它首次提出了能量量子的概念,并暗示线状光谱是原子和分子中能量量子化的一种表现形式。普朗克辐射定律在天体物理学以及热源和光源技术中也具有极其重要的意义。

一般来说,白炽灯的热辐射会受到光源反射辐射的污染。因此,纯热辐射只能在无反射的物体(即完全黑体)中观测到。因此,纯热辐射被称为黑体辐射。19世纪末,物理学家认识到,黑体的最佳实验实现方法是在腔壁上开一个孔。如果将腔体保持在温度T,该孔将发出完美的热辐射,而不会受到任何反射辐射的污染。

假设我们有一个温度为T的热辐射源(或热发射器)。温度为T时,热发射器单位面积辐射的功率表示为其出射率(或发射率) e( T ) 。在黑体实验中, e( T )A 是通过腔壁上面积为A的孔泄漏的单位时间能量。

要计算 e( T ) 与温度T的关系,首先我们需要找出它与热辐射中储存的能量密度 u( T ) 之间的关系。一半的辐射会有一个朝向开孔的速度分量,因为所有相对于穿过开孔的轴线以 ϑπ/2 角运动的辐射,都会有一个朝向开孔方向的速度分量 v( ϑ )=ccos( ϑ ) 。要计算黑洞方向辐射的平均速度v,我们需要在正向立体角 Ω=2πsr ( 0φ2π , 0ϑπ/2 )上对 ccosϑ 取平均值:

ν= c 2π 0 2π dφ 0 π/2 dϑsinϑcosϑ = c 2 (2.1)

朝向开孔的有效能流密度为向前运动的能量密度,向前运动的平均速度为:

u( T ) 2 c 2 =u( T ) c 4 , (2.2)

在时间t期间,一定量的能量

E=u( T ) c 4 tA (2.3)

会从孔中逃逸。因此单位面积发射功率 E/ ( tA ) =e( T )

e( T )=u( T ) c 4 . (2.4)

然而,普朗克辐射定律与光谱出射率 e( f,T ) 有关,其定义如下:

e [ f 1 , f 2 ] ( T )= f 1 f 2 df e( f,T ) (2.5)

是频率 f 1 f f 2 的辐射中单位面积发射的功率。具体而言,总发射率为

e( T )= e [ 0, ] ( T )= 0 df e( f,T ). (2.6)

从操作上讲,光谱发射是频率 f0 f f+Δf 发射的单位面积功率,并由频率间隔的宽度 Δf 进行归一化,

e( f,T )= lim Δf0 e [ 0,f+Δf ] e [ 0,f ] ( T ) Δf = f e [ 0,f ] ( T ). (2.7)

光谱出射率 e( f,T ) 也可以表示为每单位面积和每单位频率的发射功率,或频率尺度上的光谱出射率。

谱能量密度 u( f,T ) 的定义方式相同。如果我们测量频率在f f+Δf 之间的辐射的能量密度 u [ f,f+Δf ] ( T ) ,则单位体积和单位频率的能量(即频率尺度上的谱能量密度)为

u( f,T )= lim Δf0 u [ f,f+Δf ] ( T ) Δf = f u [ 0,f ] ( T ) (2.8)

辐射的总能量密度为

u( T )= 0 df u( f,T ). (2.9)

方程 e( T )= u( T )/4 也分别适用于每个频率间隔 [ f,f+Δf ] ,因此也必须适用于相应的谱密度,

e( f,T )=u( f,T ) c 4 . (2.10)

在普朗克1900年的研究之前,人们就已经知道以下事实。

  • 经典热力学对光谱出射度 e( f,T ) (瑞利–金斯定律)的预测是错误的,实际上是不合理的!

  • 出射率 e( T ) 满足斯特藩定律(Stefan, 1879; Boltzmann, 1884)

e( T )=σ T 4 , (2.11)

其中斯特藩–玻尔兹曼常数

σ=5.6704× 10 8 W m 2 K 4 . (2.12)

  • 每单位波长的光谱出射率 e( λ,T )= e( f,T )| f=c/λ c/ λ 2 (即波长尺度上的光谱出射率)在波长处达到最大值

λ max T=2.898× 10 3 mK=2898μmK (2.13)

这就是维恩位移定律。

难题在于解释观测到的曲线 e( f,T ) ,以及经典热力学为何失效。我们将通过计算谱能量密度 u( f,T ) 来探讨这些问题。公式(1.5)也得出 e( f,T )

计算 u( f,T ) 的关键在于认识到 u( f,T ) 可以分解为两个因子。如果我们想要知道 [ f,f+df ] 这个小频率区间内的辐射能量密度 u [ f,f+df ] =u( f,T )df ,那么我们可以首先问自己,在这个频率区间内,单位体积内有多少个不同的电磁振荡模式 ϱ( f )/ df 。每个振荡模式都会为辐射能量密度贡献一个能量 E ( f,T ) ,其中 E ( f,T ) 是温度T下频率为f的电磁振荡模式的能量期望值,

u( f,T )df=ϱ( f )df E ( f,T ). (2.14)

因此,光谱能量密度 u( f,T ) 可以分两步计算:

1. 计算单位体积和单位频率的振荡模式数 ϱ( f ) (“振荡模式计数”)。

2. 计算温度为T时频率为f的振荡的平均能量 E ( f,T )

然后可以组合结果来得出谱能量密度 u( f,T )=ϱ( f ) E ( f,T )

单位体积和单位频率的电磁振荡模式数是量子力学中的一个重要量,结果为

ϱ( f )= 8π f 2 c 3 . (2.15)

波长尺度上振荡模式的相应密度为

ϱ( f )= ϱ( f )| f=c/λ c λ 2 = 8π λ 4 . (2.16)

统计物理学预测,在温度为T的系统中,能量E发生振荡的概率 P T ( E ) 应该呈指数级抑制,

P T ( E )= 1 k B T exp( E k B T ) . (2.17)

在经典物理学中,E的可能值不受限制,可以在 0E< 之间连续变化。例如,对于任何频率固定为f的经典振荡,振幅的不断增加会导致能量的不断增加。因此,根据经典热力学,温度为T时振荡的平均能量为

E | classical = 0 dE E P T ( E )= 0 dE E k B T exp( E k B T )= k B T. (2.18)

因此,根据经典热力学,黑体辐射中的光谱能量密度和相应的光谱出射率应为

u( f,T )=ϱ( f ) k B T= 8π f 2 c 3 k b T,e( f,T )=u( f,T ) c 4 = 2π f 2 c 2 k B T, (2.19)

但这显然是无稽之谈:它预测每个热源都应该在高频/短波长下发射出不同数量的能量!这就是瑞利–金斯定律的紫外灾变。

马克斯·普朗克在1900年观察到,如果他假设频率为f的电磁波中的能量以频率的倍数量化,他就能得出一个与热源光谱完美匹配的方程,

E=nhf=n hc λ ,n. (2.20)

高能振荡的指数抑制为

P T ( E )= P T ( n )exp( nhf k B T ), (2.21)

但由于能量子hf的离散性,归一化概率现在是

P T ( E )= P T ( n )=[ 1exp( hf k B T ) ]exp( nhf k B T )=exp( n hf k B T )exp( ( n+1 ) hf k B T ) , (2.22)

因此 n=0 P T ( n )=1

由此得出的每个振荡模式平均能量为

E = n=0 nhf P T ( n )= n=0 nhfexp( n hf k B T ) n=0 nhfexp( ( n+1 ) hf k B T ) = n=0 nhfexp( n hf k B T ) n=0 ( n+1 )hfexp( ( n+1 ) hf k B T )+hf n=0 exp( ( n+1 ) hf k B T ) (2.23)

前两个和相消,最后一项得出温度T时频率为f的电磁波的平均能量,即

E ( f,T )=hf exp( hf k B T ) 1exp( hf k B T ) = hf exp( hf k B T )1 . (2.24)

与方程(2.15)中的 ϱ( f ) 结合,得到热辐射中光谱能量密度和光谱出射率的普朗克公式,

u( f,T )= 8πh f 3 c 3 1 exp( hf k B T )1 ,e( f,T )= 2πh f 3 c 2 1 exp( hf k B T )1 (2.25)

这些函数与观测到的光谱完美契合!图2图3给出了T = 5780 K时的光谱 e( f,T ) 和最大频率为f的发射功率 e [ 0,f ] ( T )

Figure 2. The spectral emissivity e( f,T ) of a heat source at temperature T = 5780 K

2. 温度为T = 5780 K的热源的光谱发射率 e( f,T )

Figure 3. The emissivity e [ 0,f ] ( T )= 0 f d f e( f T ) of a heat source at temperature T = 5780 K (i.e., the radiant power per unit area with a maximum frequency of f). As f approaches infinity f , the asymptotic value is e [ 0, ] ( T )e( T )=σ T 4 =6.33× 10 7 W/ m 2 , at temperature T = 5780 K

3. 温度T = 5780 K的热源的发射率 e [ 0,f ] ( T )= 0 f d f e( f T ) (即频率最大为f的辐射中单位面积的发射功率)。当 f 时,渐近值为 e [ 0, ] ( T )e( T )=σ T 4 =6.33× 10 7 W/ m 2 ,温度T = 5780 K

3. 黑体光谱与光子通量

它们在白炽光源定量分析中的技术相关性使得深入探讨黑体光谱变得十分必要。黑体光谱也有助于更深入地阐释光谱的概念,并解释光谱中的最大值在很大程度上取决于自变量(如波长或频率)和因变量(如能量通量或光子通量)的选择。特别是,有时声称我们的太阳在波长 λ max 500nm 处具有最大辐射输出。

如果“辐射输出”的概念没有明确界定,且没有解释不同的完全合适的辐射输出概念会产生截然不同的最大发射波长或频率,那么这种说法实际上是非常具有误导性的。我们将在下文中看到,上述陈述仅适用于每单位波长的最大功率输出,即如果我们使用一个单色仪,将波长轴划分为等长度的区间 dλ=c| df | f 2 ,那么我们会在 λ max 500nm 附近的区间内发现最大功率输出。然而,我们还会发现,如果我们使用单色仪,将频率轴分割成等长度的区间 dλ=c| df | f 2 ,那么我们会在 f max 340THz 附近的区间内找到最大功率输出,该频率对应的波长为 c/ f max 880nm 。如果我们追求的是最大光子计数而非最大功率输出,那么光谱中的峰值会有其他值。

既然普朗克辐射定律(2.25)与观测到的黑体光谱完美匹配,那么它也必然蕴含了斯特凡定律和维恩定律。斯特凡定律可以按以下方式直接推导得出。单位面积的发射功率为

e( T )= 0 df e( f,T )= 0 dλ e( λ,T )=2π k B 4 T 4 h 3 c 2 0 dx x 3 exp( x )1 . (3.1)

积分求值

0 dx x 3 exp( x )1 = 0 dx x 3 n=1 exp[ ( n+1 )x ]= n=1 d 3 d n 3 0 dx exp( nx ) = n=1 d 3 d n 3 1 n = n=1 6 n 4 =6ζ( 4 )= π 4 15 (3.2)

暗示

e( T )= 2 π 5 k B 4 15 h 3 c 2 T 4 , (3.3)

即,普朗克定律预示了斯蒂芬–玻尔兹曼常数与普朗克常数h的关系,而h可以通过之前对光谱的拟合来确定,

σ= 2 π 5 k B 4 15 h 3 c 2 . (3.4)

来自太阳的能量通量 e( f,T )=6.33× 10 7 W/ m 2 ,在地球轨道处产生的剩余能量通量为 e( T )× ( R / r ) 2 =1.37 kW/ m 2 。其中, R =6.955× 10 8 m 是太阳的半径, r =1.496× 10 11 m 是地球轨道的半径。

为了推导维恩定律,我们设定

x= hc λ k B T = hf k B T . (3.5)

然后我们有 e( λ,T )= e( f,T )| f=c/λ c/ λ 2 ,

λ e( λ,T )= 2πh c 2 λ 5 1 exp( hc λ k B T )1 ( h λ 2 k B T exp( hc λ k B T ) exp( hc λ k B T )1 5 λ ) = 2πh c 2 λ 6 1 exp( x )1 ( x exp( x ) exp( x )1 5 ), (3.6)

这意味着当且仅当下式成立时,才能满足 e( λ,T ) λ =0

exp( x )= 5 5x .

e x = 5 5x 方程的求解:

( 5x ) e x =5

( x5 ) e x =5

( x5 ) e x e 5 =5 e 5

( x5 ) e x5 =5 e 5

两边同时取 W( x ) 函数

W[ ( x5 ) e x5 ]=W( 5 e 5 )

x5=W( 5 e 5 )

x=5+W( 5 e 5 )

5 e 5 0.03369>0.36788= e 1

说明 W( 5 e 5 ) 有两个值,一个为−5,一个为0.0349。那么x对应也有两个值,一个为0,一个约为4.965。x = 0代入式3.6,出现分母为0的情况,不能满足公式要求。从物理意义上说,如果x = 0,在式3.6中代表 λ k B T

此条件得出x ≈ 4.965。因此,最大光谱发射率 e( λ,T ) 的波长满足

λ max T hc 4.965 k B =2898μmK. (3.7)

对于温度为T = 5780 K的热源,如太阳表面,这会产生

λ max =501nm, c λ max =598THz, (3.8)

图4所示。

Figure 4. Spectral emissivity e( λ,T ) of a heat source with a temperature of T = 5780 K

4. 温度为T = 5780 K的热源的光谱发射率 e( λ,T )

人们还可以推导出维恩定律关于最大光谱发射率 e( f,T ) 的频率 f max 的类比。我们有

f e( f,T )= 2πh f 2 c 2 1 exp( hf k B T )1 ( 3 hf k B T exp( hc λ k B T ) exp( hc λ k B T )1 ) = 2πh f 2 c 2 1 exp( x )1 ( 3x exp( x ) exp( x )1 ), (3.9)

这意味着当且仅当满足下面的方程时,才能使方程 e( f,T ) f =0 得到满足:

exp( x )= 3 3x ,

e x = 3 3x 方程的求解

( 3x ) e x =3

( x3 ) e x =3

( x3 ) e x e 3 =3 e 3

( x3 ) e x3 =3 e 3

两边同时取 W( x ) 函数

W[ ( x3 ) e x3 ]=W( 3 e 3 )

x3=W( 3 e 3 )

x=3+W( 3 e 3 )

3 e 3 0.14936>0.36788= e 1

说明 W( 3 e 3 ) 有两个值,一个为−3,一个为−0.19,那么x也有两个值,一个为0,一个为2.819。物理意义上说,如果x = 0,在式3.9中代表 λ k B T

当解x ≈ 2.81时,最大光谱发射率 e( f,T ) 的频率因此满足

f max T 2.821 k B h =58.79 GHz K . (3.10)

图2所示,这适用于温度为T = 5780 K的热源

f max =340THz, c   f max =882nm (3.11)

波长尺度上的光子通量和频率尺度上的光子通量,分别记为 j( λ,T ) j( f,T ) ,定义如下。单位频率的光谱发射度 e( λ,T ) 与每分数波长或频率间隔的光子通量 dlnf= df/f =dlnλ= dλ/λ 直接相关。我们采用(1.4)中用于光谱密度和积分通量的符号表示,有如下关系

f( f,T )=hfj( f,T )=hf f j [ 0,f ] ( T )=h ln( f/ f 0 ) j [ 0,f ] ( T ) =hj( ln( f/ f 0 ),T )=hλj( λ,T )=hj( ln( λ/ λ 0 ),T ). (3.12)

因此,对于给定的频率带宽 df ,优化光源的能量通量等同于在固定相对带宽 df/f =| dλ/λ | 的条件下优化光子通量。

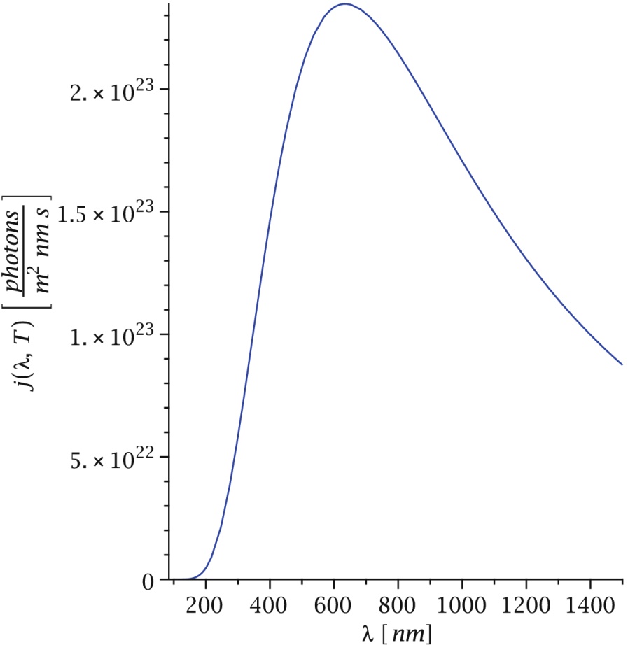
从温度为T的热源每秒每单位面积和每单位波长发射的光子数量为

j( λ,T )= λ hc e( λ,T )= 2πc λ 4 1 exp( hc λ k B T )1 . (3.13)

下式成立

λ j( λ,T )= ( λ,T ) λ ( x exp( x ) exp( x )1 4 )=0 (3.14)

如果

exp( x )= 4 4x .

e x = 4 4x 方程的求解

( 4x ) e x =4

( x4 ) e x =4

( x4 ) e x e 4 =4 e 4

( x4 ) e x4 =4 e 4

两边同时取 W( x ) 函数

W[ ( x4 ) e x4 ]=W( 4 e 4 )

x4=W( 44 )

x=4+W( 4 e 4 )

4 e 4 0.07326>0.36788= e 1

说明 W( 4 e 4 ) 有两个值,一个为−4,一个为−0.079。那么x也有两个值,一个为0,一个为3.921。物理意义上说,如果x = 0,在式3.13中代表 λ k B T

这里解应该为x ≈ 3.921。因此,最大光谱光子通量 j( λ,T ) 的波长满足。

λ max T hc 3.921 k B =3670μmK. (3.15)

对于温度为T = 5780 K的热源,这会产生相应的结果

λ max =635nm, c λ max =472THz (3.16)

图5所示。

波长尺度上的光子通量 j( λ,T ) 也与每分数波长或频率间隔的能量通量有关,即 dlnλ= dλ/λ =dlnf= df/f

j( λ,T )= λ hc e( λ,T )= 1 hc e( ln( λ/ λ 0 ),T )= f hc e( f,T )= 1 hc e( ln( f/ f 0 ),T ) (3.17)

因此,对于固定波长带宽 dλ 的光子通量优化,等同于对于固定相对带宽 dλ/λ =| df/f | 的能通量优化。

最后,温度为T的热源每秒、每单位面积和每单位频率发射的光子数量为

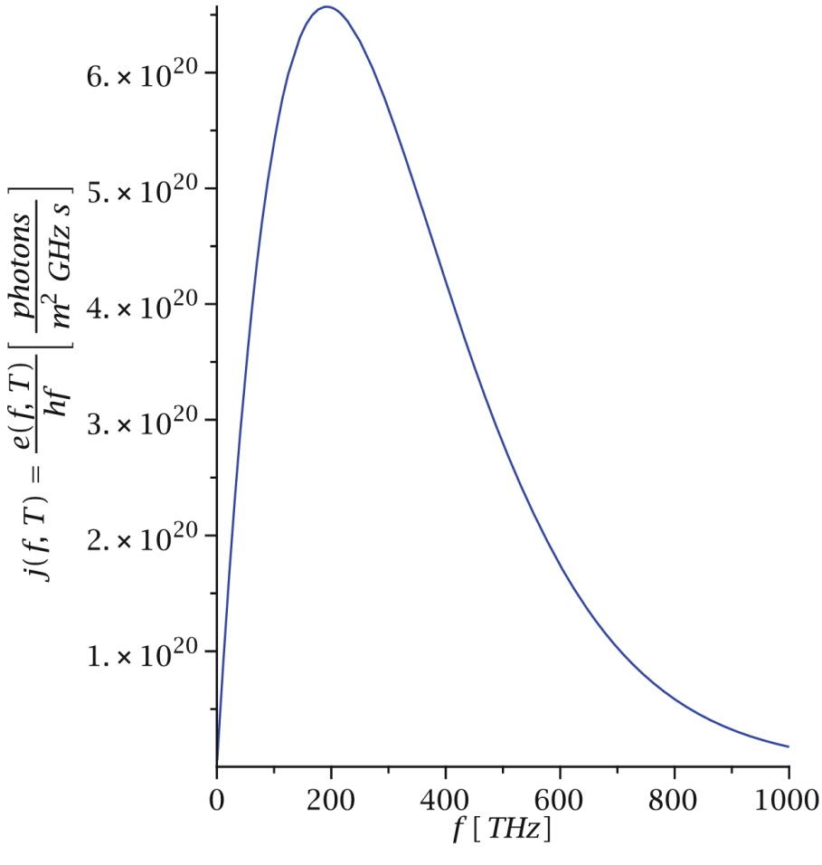
j( f,T )= e( f,T ) hf = 2π f 2 c 2 1 exp( hf k B T )1 . (3.18)

Figure 5. Spectral photon flux j( λ,T ) of a heat source with a temperature of T = 5780 K

5. 温度为T = 5780 K的热源的光谱光子通量 j( λ,T )

下式成立

f j( f,T )= J( f,T ) f ( 2x exp( x ) exp( x )1 )=0 (3.19)

如果

exp( x )= 2 2x .

e x = 2 2x 方程的求解:

( 2x ) e x =2

( x2 ) e x =2

( x2 ) e x e 2 =2 e 2

( x2 ) e x2 =2 e 2

两边同时取 W( x ) 函数

W[ ( x2 ) e x2 ]=W( 2 e 2 )

x2=W( 2 e 2 )

x=2+W( 2 e 2 )

2 e 2 0.27067>0.36788= e 1

说明 W( 2 e 2 ) 有两个值,一个为−2,一个为−0.496。那么x也有两个值,一个为0,一个为1.594。物理意义上说,如果x = 0,在式3.18中代表 k B T

此条件解x = 1.594得到满足。因此,在频率尺度上,最大光谱光子通量 j( f,T ) 的频率满足

f max T 1.594 k B h =33.21 GHz K

对于温度为T = 5780 K的热源,这会产生相应的结果

f max =192THz, c f max =1.56μm, (3.20)

图6所示。

Figure 6. Spectral photon flux j( f,T ) of a heat source with a temperature of T = 5780 K

6. 温度为T = 5780 K的热源的光谱光子通量 j( f,T )

发射光子的通量是

j( T )= 0 df j( f,T )=2π k B 3 T 3 h 3 c 2 0 dx x 2 exp( x )1 (3.21)

积分的计算

0 dx x 2 exp( x )1 = 0 dx x 2 n=0 exp[ ( n+1 )x ]= n=1 d 2 d n 2 0 dx exp( nx ) = n=1 d 2 d n 2 1 n = n=1 2 n 3 =2ζ( 3 ) (3.22)

结果是

j( T )= 4πζ( 3 ) k B 3 h 3 c 2 T 3 =1.5205× 10 15 T 3 m 2 s K 3 (3.23)

假设太阳表面温度T = 5780 K,则太阳表面的光子通量为2.94 × 1026 m2∙s1,地球轨道的光子通量为6.35 × 1021 m2∙s1。平均光子能量 e( T )/ j( T ) =1.35 eV ,位于红外波段。

4. 结论

结合Labert W函数的计算,发现在黑体辐射的计算分析中,方程的求值都有一个 W( x e x )=x 形式的解,在本文中,x分别取了−2,−3,−4,−5。根据函数的性质, W( x e x )=x ,会得到整体方程的一个0解,这个解对应与 k B T 为∞,在含有f的公式中,还代表着f = 0。而在以前关于黑体辐射的分析中,都是完全忽略这个0解的存在。

Labert W函数在自变量定义域为(−1/e, 0)的范围时,函数是双值函数,不同于单值函数,此函数性质在黑体辐射的计算中不应该被忽略。

基金项目

项目等级:广东省级科研项目;项目名称:电磁轴承支撑的高速转子系统研究;项目编号:X220011TN220。

NOTES

*通讯作者。

参考文献

[1] Lambert, J.H. (1758) Observationes variae in mathesin puram. Acta Helvetica, physicomathematico-anatomico-botanico-medica, 3, 128-168.
[2] Lambert, J.H. (1772) Observations Analytiques. Nouveaux memoires de lAcademie royale des sciences et belles-lettres, 1, 128-168.
[3] Euler, L. (1921) De serie Lambertina plurimisque eius insignibus proprietatibus. Leonhardi Euleri Opera Omnia, Series 1, Opera Mathematica, 6, 350-369.
[4] Borchardt, C.W. (1860) Ueber eine der Interpolation entsprechende Darstellung der Eliminations-Resultante. Journal für die reine und angewandte Mathematik, 57, 111-121.
[5] Cayley, A. (1889) A Theorem on Trees. Quarterly Journal of Mathematics, Oxford Series, 23, 376-378.
[6] Eisenstein, G. (1844) Entwicklung von αα···Journal für die reine und angewandte Mathematik, 28, 49-52.
[7] Janson, S., Knuth, D.E., Łuczak, T. and Pittel, B. (1993) The Birth of the Giant Component. Random Structures & Algorithms, 4, 233-358. [Google Scholar] [CrossRef
[8] Sylvester, J.J. (1857) On the Change of Systems of Independent Variables. The Quarterly Journal of Pure and Applied Mathematics, 1, 42-56.
[9] Skovgaard, O., Jonsson, I.G. and Bertelsen, J.A. (1975) Computation of Wave Heights Due to Refraction and Friction. Journal of the Waterways, Harbors and Coastal Engineering Division, 101, 15-32. [Google Scholar] [CrossRef
[10] Polya, G. and Szego, G. (1972) Problems and Theorems in Analysis. Springer-Verlag.
[11] Wright, E.M. (1949) The Linear Difference-Differential Equation with Constant Coefficients. Proceedings of the Royal Society of Edinburgh. Section A. Mathematical and Physical Sciences, 62, 387-393. [Google Scholar] [CrossRef
[12] Fritsch, F.N., Shafer, R.E. and Crowley, W.P. (1973) Algorithm 443: Solution of the Transcendental Equation Wew=X. Communications of the ACM, 16, 123-124. [Google Scholar] [CrossRef
[13] Char, B.W., Geddes, K.O., Gonnet, G.H., Leong, B.L., et al. (1991) The Maple V Language Reference Manual. Springer-Verlag.