LCBDE + LC和ERCP分期联合LC治疗胆囊结石合并胆总管结石(≤10 mm)的临床疗效和术后并发症的独立危险因素并构建相关预测模型
3Clinical Efficacy and Independent Risk Factors for Postoperative Complications of LCBDE + LC and ERCP Staging Combined with LC in the Treatment of Gallstones with Common Bile Duct Stones (≤10 mm), and Construction of Relevant Predictive Models
摘要: 目的:比较胆囊结石合并胆总管结石(≤10 mm)患者采用腹腔镜下胆囊切除(LC)分期联合内镜逆行胰胆管造影(ERCP)与腹腔镜下胆囊切除合经胆总管胆道探查术(LCBDE + LC)胆总管一期治疗的临床效果及术后并发症的发生预测并构建相关预测模型。方法:选取2023年6月~2025年6间就诊于安徽医科大学第四附属医院的202例胆囊结石合并胆总管结石(≤10 mm)患者,根据治疗方案分组和术后有无并发症分组,分析基线资料表,采用LASSO筛选出有意义的特征变量,进一步用多因素Logistic回归分析探讨患者并发症的影响因素,构建预测模型,采用受试者工作特征(ROC)曲线评估模型预测价值,并使用Bootstrap法进行500次重抽样进行十倍交叉验证。结果:在治疗胆囊结石合并胆总管结石(≤10 mm)上,LCBDE + LC和ERCP + LC两种手术方式应该按患者的具体条件而定,其治疗方案才会更具针对性,从而使患者从中获益更多。年龄 ≥ 70岁(OR, 1.059; 95% CI, 1.022~1.099)、手术方式(OR, 0.077; 95% CI, 0.017~0.359)、手术时长(OR, 1.013; 95% CI, 1.000~1.026)、住院时间(OR, 1.288; 95% CI, 1.041~1.593)是术后发生并发症的独立危险因素,Hosmer-Lemeshow检验显示,模型拟合度良好(P = 0.2394)。联合预测的曲线下面积(Area Underthe Curve, AUC)为0.862 (95% CI: 0.793~0.933),模型的敏感度为84.38%,特异度为79.82%。并使用Bootstrap法进行500次重抽样进行十倍交叉验证,AUC值为0.796,95% (CI: 0.708~0.884)。上述因素构建的预测模型对胆囊结石合并胆总管结石(≤10 mm)患者术后发生并发症风险预测具有指导作用。结论:LC分期联合ERCP组住院时间、术中出血及术后恢复时间相对较短,LCBDE + LC胆总管一期缝合治疗总体花费低,总体并发症的发生更少。并且手术方式、年龄、住院时间、手术时间为术后并发症的独立危险因素,本模型根据独立危险因素建立模型能较好地预测并发症的发生。
Abstract: Objective: Compare the clinical efficacy and prediction of postoperative complications between laparoscopic cholecystectomy (LC) staging combined with endoscopic retrograde cholangiopancreatography (ERCP) and laparoscopic cholecystectomy combined with transcholedochal exploration (LCBDE + LC) for patients with gallstones and common bile duct stones (≤10 mm) in the first stage of common bile duct treatment, and construct relevant prediction models. Methods: 202 patients with gallstones and common bile duct stones (≤10 mm) who visited the Fourth Affiliated Hospital of Anhui Medical University from June 2023 to 2025 were selected. They were grouped according to the treatment plan and the presence of postoperative complications. The baseline data table was analyzed, and meaningful feature variables were selected using LASSO. Further, multiple logistic regression analysis was used to explore the influencing factors of patient complications, and a prediction model was constructed. The receiver operating characteristic (ROC) curve was used to evaluate the predictive value of the model. Bootstrap method was used for 500 resamples for ten-fold cross validation. Results: In the treatment of gallstones combined with common bile duct stones (≤10 mm), the two surgical methods of LCBDE + LC and ERCP + LC should be determined according to the specific conditions of the patient, so that the treatment plan can be more targeted and benefit the patient more. Age ≥ 70 years (OR, 1.059; 95% CI, 1.022~1.099), surgical method (OR, 0.077; 95% CI, 0.017~0.359), duration of surgery (OR, 1.013; 95% CI, 1.000~1.026), and length of hospital stay (OR, 1.288; 95% CI, 1.041~1.593) are independent risk factors for postoperative complications. Hosmer Lemeshow test showed good model fit (P = 0.2394). The Area Under the Curve (AUC) of the joint prediction is 0.862 (95% CI: 0.793~0.933), the sensitivity of the model is 84.38%, and the specificity is 79.82%. And Bootstrap method was used for 500 resamples for ten fold cross validation, with AUC values of 0.796 and 95% (CI: 0.708~0.884). The predictive model constructed based on the above factors has a guiding role in predicting the risk of postoperative complications in patients with gallstones and common bile duct stones (≤10 mm). Conclusion: The LC staging combined with ERCP group had relatively shorter hospitalization time, intraoperative bleeding, and postoperative recovery time. The overall cost of LCBDE + LC common bile duct primary suture treatment was lower, and the incidence of overall complications was less. Moreover, surgical method, age, length of hospital stay, and duration of surgery are independent risk factors for postoperative complications. This model, established based on these independent risk factors, can effectively predict the occurrence of complications.
文章引用:李夕凡, 丁振. LCBDE + LC和ERCP分期联合LC治疗胆囊结石合并胆总管结石(≤10 mm)的临床疗效和术后并发症的独立危险因素并构建相关预测模型[J]. 临床医学进展, 2026, 16(1): 2840-2850. https://doi.org/10.12677/acm.2026.161345

1. 引言

胆囊结石合并胆总管结石目前已成为胆道系统的常见病,大约占胆囊结石患者中的10%~20% [1]。随着内镜及腹腔镜技术的成熟及普及,治疗胆囊结石合并胆总管结石多选择创伤小、恢复快的内镜和腔镜技术[2]。临床中常见的治疗该疾病的手术方法有内镜逆行胰胆管造影(ERCP)序贯联合腹腔镜下胆囊切除术(LC)、腹腔镜下胆囊切除联合经胆总管胆道探查术(LCBDE) [3],这2种手术方式曾被美国国家研究院指南指出治疗的有效性[4],然而行ERCP术患者因其术中行Oddi括约肌切开,破坏其生理结构而被诟病[5];而LCBDE则容易出现胆瘘、胆总管狭窄等并发症[6]。ERCP操作受限于内镜的活动范围,对于结石位置复杂的情况难以抵达,需进行分次清理,进而对取石成功率和净石率产生影响[7]。LCBDE需在体表做切口,可能会导致多组织损伤,手术时间稍长,出血量也相应更多,但其能够直接观察到患者结石部位并实施取石操作,对于结石体积较大、情况复杂的结石能够有效清除[8]。ERCP在治疗胆总管结石 > 10 mm时难度增加取石成功率下降且增加了穿孔及出血的风险,所以一般胆总管结石 > 10 mm大部分选择LCBDE,一次性取石成功率高[9] [10]。因此,本研究致力于两种不同手术方式治疗胆囊结石合并胆总管结石(≤10 mm)的临床疗效的对比,并分析术后并发症的独立危险因素,建立预测模型,旨在为临床治疗决策的制定提供参考,提高患者的治疗效果和生活质量,具有重要的临床意义。

2. 方法

2.1. 研究设计

本研究采用回顾性队列研究,详细阐述LCBDE + LC和ERCP + LC治疗胆总管结石(≤10 mm)的临床疗效和术后并发症的影响因素并构建相关预测模型。我们筛查了2023年6月1日至2025年6月1日在安徽医科大学第四附属医院就诊并符合纳排标准的202例病例数,我们收集了患者的年龄、性别、高血压、心脏病、糖尿病病史及临床常见血清学指标,主要包括术前谷丙转氨酶(ALT)、谷草转氨酶(AST)、总胆红素(TBIL)、白细胞(WBC)、中性粒细胞计数(NEUT)、胆总管数量、结石最大直径、胆总管直径。术后谷丙转氨酶(ALT)、谷草转氨酶(AST)、总胆红素(TBIL)、白细胞(WBC)、中性粒细胞计数(NEUT)、手术时间、术中出血量、住院时间、住院费用,术后胰腺炎、胆漏、胆道感染、结石残留发生情况。

2.1.1. 纳入标准为

(1) 年龄至少在18周岁,借助腹部超声以及MRCP等方式证实患有胆囊结石合并胆总管结石且结石 ≤ 10 mm的患者;(2) 自愿接受ERCP + LC或者LCBDE + LC方法治疗的患者;(3) 患者书面知情同意并完成手术;(4) 临床资料完整者;(5) 既往无腹部及胆道手术史、ERCP史的患者。

2.1.2. 排除标准为

(1) 化脓性或坏死性胆囊炎、急性胰腺炎患者;(2) 肝硬化、活动性肝炎患者;(3) 凝血功能明显异常和/或胆道出血患者;(4) 术前胆管狭窄或畸形、恶性病变引起胆道梗阻、十二指肠乳头括约肌功能障碍或先天性胆管总扩张患者;(5) 肝内胆石症患者;(6) 有腹部手术史,既往有ERCP史的患者;(7) 患者基础疾病重,无法承受手术;(8) HIV阳性或免疫抑制的患者;(9) 资料不完整的患者。

2.2. 手术方法

2.2.1. LCBDE + LC

取患者仰卧位,进行全身麻醉,在四孔法操作下对胆囊三角进行解剖,将胆囊动脉、胆管分离后采用非可吸收血管夹夹闭并离断,按照常规行LC治疗。完成后继续行LCBDE,按照胆总管走行将胆管切开(1.0~1.5 cm),吸净胆汁,使用胆道镜进行胆管探查,取出结石。在镜下评估有无结石残留和活动性出血,留置T管后,缝合胆管。评估是否存在胆汁外渗,确保引流通畅、无渗液后,使用生理盐水洗净腹腔,于胆囊窝内留置腹腔引流管,尖端位置位于温氏孔,导管自右腋前线穿刺孔引出,T管引出位置为剑突下穿刺孔,妥善固定后完成手术。

2.2.2. ERCP + LC

先行ERCP术:改左侧卧位,插镜寻找十二指肠乳头,选择性胆总管插管,十二指肠乳头Oddi括约肌切开,网篮取石,较大结石采用机械碎石网篮碎石后取石;留置鼻胆管引流,术后1天复查血常规、肝功能、肾功能及血淀粉酶血脂肪酶。若无术后胰腺炎且病情稳定后行LC术:取患者仰卧位,进行全身麻醉,利用常规三孔法进入到腹腔中;分离胆囊三角,将胆囊动脉和胆囊管进行夹闭,取出胆囊,于文氏孔处常规放置腹腔引流管。

2.3. 统计学方法

使用R (4.2.1)进行统计分析。当数据满足正态分布且满足方差齐性检验时,两组比较的方法为T检验;当数据满足正态分布但不满足方差齐性检验时,两组比较的方法为Welch t’ test;不满足正态分布时,两组比较的方法为Wilcoxon。随后运用最小绝对收缩与选择算子(LASSO)回归方法进行关键变量筛选,将筛选变量进行多因素回归分析,探讨两种手术的临床疗效和术后并发症的影响因素并构建相关预测模型采用Hosmer-Lemeshow检验拟合度,采用受试者工作特征(Receiver Operating Characteristic, ROC)曲线评估模型预测效能,以P < 0.05为差异有统计学意义。并使用Bootstrap法进行500次重抽样进行十倍交叉验证。同时,我们通过诊断校准曲线和决策曲线分析来评价模型的有效性。

3. 结果

3.1. 两组手术临床效果基线资料表(表1)分析,对比处理两者的临床疗效

内镜组(ERCP + LC)男性有27例(30.68%),女性有61例(69.32%),腹腔镜组(LCBDE + LC)男性有60例(52.63%),女性有47例(47.37%),内镜组女生占比高,腹腔镜组男生占比高,差异有统计学意义(P < 0.05);内镜组术后胰腺炎23例(26.14%),腹腔镜组3例(2.63%)。对比显示内镜组术后胰腺炎发生率高,差异有统计学意义(P < 0.05),术前谷丙转氨酶、胆总管直径、术后白细胞、术后中性粒细胞、结石最大直径、手术时间,术中出血量,住院时间、住院费用,均有统计学意义(P < 0.05)。两组年龄、有无基础疾病、术前谷草转氨酶(AST)、总胆红素,及术前白细胞和中性粒细胞、结石数量、术后胆道感染、胆漏、结石残留均没有统计学意义(P > 0.05)。

Table 1. Baseline data table for two different surgical methods

1. 两组不同手术方式基线资料表

[ALL] N = 202

EPCP + LC N = 88

LCBDE + LC N = 114

p.overall

年龄

65.50 [54.00; 75.00]

63.00 [53.75; 75.00]

67.00 [55.00; 75.75]

0.602

性别:

0.003

0

115 (56.93%)

61 (69.32%)

54 (47.37%)

1

87 (43.07%)

27 (30.68%)

60 (52.63%)

有无基础疾病:

0.290

0

122 (60.40%)

49 (55.68%)

73 (64.04%)

1

80 (39.60%)

39 (44.32%)

41 (35.96%)

术前ALT

167.50 [66.25; 379.25]

210.00 [84.50; 453.25]

152.50 [54.75; 340.25]

0.062

术前AST

116.50 [40.00; 256.25]

149.50 [41.75; 358.75]

97.50 [39.00; 202.25]

0.037

术前TBIL

26.50 [12.03; 67.50]

28.00 [14.64; 74.50]

23.00 [11.97; 57.50]

0.088

术前白细胞

7.20 [5.03; 9.91]

7.57 [5.33; 9.70]

6.54 [4.90; 10.20]

0.422

术前中性粒细胞

5.94 [3.66; 9.22]

5.93 [3.87; 9.20]

6.05 [3.51; 9.30]

0.910

结石数量

2.00 [1.00; 3.00]

1.50 [1.00; 3.00]

2.00 [1.00; 3.00]

0.443

最大直径

5.00 [4.00; 8.00]

5.00 [4.00; 7.00]

5.00 [5.00; 10.00]

0.005

胆总管直径

12.00 [10.00; 14.00]

12.00 [9.75; 13.00]

13.00 [10.00; 14.00]

0.002

术后ALT

89.00 [47.25; 159.50]

101.00 [47.25; 172.75]

82.00 [47.75; 145.00]

0.494

术后AST

47.00 [29.00; 79.75]

47.50 [29.00; 84.25]

46.50 [29.00; 77.75]

0.543

术后TBIL

25.00 [16.25; 39.00]

24.05 [15.75; 39.25]

25.50 [18.00; 38.75]

0.543

术后白细胞

9.59 [7.48; 12.31]

8.10 [6.90; 10.11]

10.64 [8.63; 13.65]

<0.001

术后中性粒细胞

7.53 [5.73; 9.90]

6.52 [5.08; 8.27]

8.61 [6.48; 11.50]

<0.001

手术时间(分钟)

97.50 [80.00; 130.00]

87.50 [73.75; 105.00]

120.00 [90.00; 145.00]

<0.001

术中出血量(ml)

30.00 [15.00; 35.00]

15.00 [10.00; 25.00]

35.00 [30.00; 45.00]

<0.001

住院时间

10.00 [8.25; 12.00]

9.00 [8.00; 11.00]

11.00 [9.00; 12.75]

<0.001

胆道感染:

0.734

0

193 (95.54%)

85 (96.59%)

108 (94.74%)

1

9 (4.46%)

3 (3.41%)

6 (5.26%)

胆漏:0

202 (100.00%)

88 (100.00%)

114 (100.00%)

结石残留:

1.000

0

188 (93.07%)

82 (93.18%)

106 (92.98%)

1

14 (6.93%)

6 (6.82%)

8 (7.02%)

术后胰腺炎:

<0.001

0

176 (87.13%)

65 (73.86%)

111 (97.37%)

1

26 (12.87%)

23 (26.14%)

3 (2.63%)

住院费用

21348.00

[18798.75; 24122.00]

23346.50

[21620.25; 25845.00]

19387.00

[17784.50; 21684.50]

<0.001

注:女性赋值为0,男性赋值为1;无基础疾病赋值为0,有基础疾病赋值为1;胆道感染、胆漏、结石残留及术后胰腺炎阳性结果赋值为1,反之阴性结果赋值为0。

3.2. 两种手术方式即腹腔镜组和内镜组患者术后并发症基线资料表(表2)分析,按照有无并发症分组对比分析

内镜组术后总体并发症27例(67.50%),腹腔镜组术后总体并发症发生13例(32.50%)。有术后并发症的患者年龄平均在70.5岁,手术时间、住院时间、住院费用差异均有统计学意义(P < 0.05)。有无基础疾病、术前谷丙转氨酶、谷草转氨酶、总胆红素、白细胞、中性粒细胞计数、胆总管数量、结石最大直径、胆总管直径。术后谷丙转氨酶、谷草转氨酶、总胆红素、白细胞、中性粒细胞计数、术中出血量均无无统计学意义(P > 0.05)。

Table 2. Baseline data of postoperative complications

2. 术后并发症基线资料表

[ALL] N = 202

0 N = 162

1 N = 40

p.overall

手术方式:

0.001

0

88 (43.56%)

61 (37.65%)

27 (67.50%)

1

114 (56.44%)

101 (62.35%)

13 (32.50%)

年龄

65.50 [54.00; 75.00]

63.00 [51.25; 74.75]

70.50 [59.00; 79.00]

0.014

性别:

0.298

0

114 (56.44%)

88 (54.32%)

26 (65.00%)

1

88 (43.56%)

74 (45.68%)

14 (35.00%)

有无基础疾病:

0.812

0

122 (60.40%)

99 (61.11%)

23 (57.50%)

1

80 (39.60%)

63 (38.89%)

17 (42.50%)

术前ALT

167.50 [66.25; 379.25]

163.00 [59.25; 376.50]

174.50 [82.75; 393.75]

0.740

术前AST

116.50 [40.00; 256.25]

115.50 [39.25; 253.00]

121.00 [59.00; 281.75]

0.631

术前TBIL

26.50 [12.03; 67.50]

27.50 [12.71; 65.25]

25.50 [9.57; 77.50]

0.906

术前白细胞

7.20 [5.03; 9.91]

6.94 [5.07; 10.20]

7.58 [4.81; 8.64]

0.860

术前中性粒细胞

5.94 [3.66; 9.22]

5.92 [3.64; 9.30]

6.27 [3.87; 8.80]

0.785

结石数量

2.00 [1.00; 3.00]

2.00 [1.00; 3.00]

2.00 [1.00; 3.00]

0.797

最大直径

5.00 [4.00; 8.00]

5.00 [4.25; 8.00]

5.00 [4.00; 8.00]

0.973

胆总管直径

12.00 [10.00; 14.00]

12.00 [10.00; 14.00]

12.00 [10.00; 14.00]

0.824

术后ALT

89.00 [47.25; 159.50]

97.00 [50.00; 152.75]

78.50 [43.00; 161.50]

0.457

术后AST

47.00 [29.00; 79.75]

47.00 [29.00; 80.00]

45.00 [28.75; 77.00]

0.609

术后TBIL

25.00 [16.25; 39.00]

25.00 [17.00; 38.75]

28.00 [15.75; 42.25]

0.560

术后白细胞

9.59 [7.48; 12.31]

9.46 [7.40; 11.85]

9.87 [7.88; 13.31]

0.389

术后中性粒细胞

7.53 [5.73; 9.90]

7.46 [5.60; 9.86]

7.78 [5.97; 10.85]

0.620

手术时间(分钟)

97.50 [80.00; 130.00]

95.00 [75.00; 120.00]

115.00 [90.00; 135.00]

0.013

术中出血量(ml)

30.00 [15.00; 35.00]

30.00 [20.00; 35.00]

30.00 [15.00; 40.00]

0.971

住院时间

10.00 [8.25; 12.00]

10.00 [9.00; 12.00]

11.50 [8.00; 15.25]

0.015

住院费用

21348.00

[18798.75; 24122.00]

21043.00

[18606.50; 23071.25]

24224.50

[21268.50; 27379.00]

<0.001

注:ERCP + LC组赋值为0,LCBDE组为赋值1;女性赋值为0,男性赋值为1;无基础疾病赋值为0,有基础疾病赋值为1。

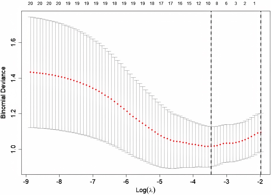
3.3. 采用LASSO回归对变量进行筛选

以术后有无并发症作为因变量。LASSO回归能通过压缩变量系数防止过拟合,并有效解决多重共线性问题。21个自变量被筛选压缩至8个(见图1(左)图1(右)),包括手术方式、年龄、谷草转氨酶、术前总胆红素、结石数量、住院时间、住院费用及手术时间。见图为控制混杂因素影响,进一步对上述8个变量进行多因素逻辑回归分析。最终确定仅手术方式、年龄、住院时间及手术时间共4个特征因子具有统计学意义(P < 0.05)。

Figure 1. Left: LASSO coefficient path; Right: LASSO regularization path diagram

1. 左:LASSO系数路径;右:LASSO正则化路径图

3.4. 两种手术方式即腹腔镜组和内镜组患者术后并发症多因素Logistic回归分析(见图2)

将LASSO回归筛选出差异有统计学意义的因素作为自变量,术后并发症为因变量,进行多因素Logistic回归分析,结果显示,术后并发症发生的独立危险因素包括手术方式(OR, 0.077; 95% CI, 0.017~0.359)、年龄(OR, 1.059; 95% CI, 1.022~1.099)、住院时间(OR, 1.288; 95% CI, 1.041~1.593)、手术时间(OR, 1.013; 95% CI, 1.000~1.026) (P < 0.05)。

Figure 2. Visualization of logistic multivariate analysis

2. Logistic多元素分析可视化图

3.5. 预测模型的建立及预测效能

预测模型的建立及预测效能将胆囊结石合并胆总管结石(≤10 mm)患者术后复发的独立危险因素纳入多因素Logistic回归分析建立回归方程:Logit (P/1 − P) = −9.456 − 2.826 × 手术方式 + 0.057 × 年龄 + 0.013 × 手术时间 + 0.253 × 住院时间,预测患者术后复发的概率模型为P = 1/[1 + exp(−3.347 + −9.456 − 2.826 × 手术方式 + 0.057 × 年龄 + 0.013 × 手术时间 + 0.253 × 住院时间]。Hosmer-Lemeshow检验显示,模型拟合度良好(P = 0.2394) (见图3)。

Figure 3. Construction of model coefficient chart for multivariate Logistic regression analysis of postoperative recurrence in Patients

3. 患者术后复发多因素Logistic回归分析构建模型系数图

3.6. 预测模型的ROC曲线

联合预测的曲线下面积(Area under the Curve, AUC)为0.862 (95% CI: 0.793~0.933),模型的敏感度为84.38%,特异度为79.82% (见图4(右))。并使用Bootstrap法进行500次重抽样进行十倍交叉验证,平均AUC值为0.796,(95%CI: 0.708~0.884) (见图4(左))。本模型的AUC值大于平均值,表示本模型有良好的区分度。

Figure 4. Left: ROC curve of cross validation model; Right: ROC curve of the prediction model

4. 左:交叉验证模型ROC曲线;右:预测模型的ROC曲线

Figure 5. Left: Diagnostic calibration curve, Right: Diagnostic DCA diagram

5. 左:诊断校准曲线;右:诊断DCA图

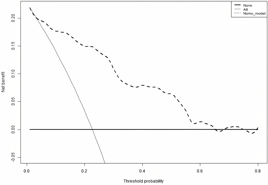
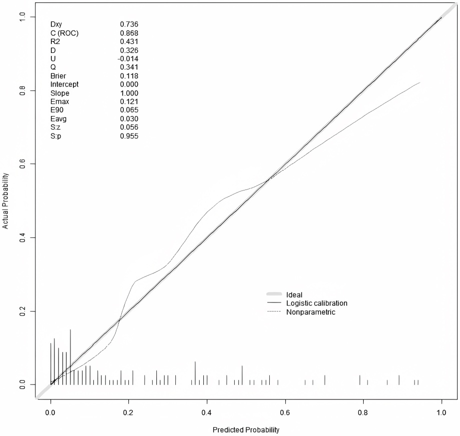
3.7. 研究通过绘制校准曲线来评估模型的校准

结果(图5(左))表明,本模型在预测概率和真实观察值之间表现出良好的一致性。使用DCA进一步评估临床适用性。DCA曲线(图5(右))显示,本模型在特定阈值概率范围内始终提供正的临床净效益。

4. 讨论

随着微创理念和腹腔镜、内镜技术的普及,应用腹腔镜、胆道镜、十二指肠镜技术实施LCBDE + LC、ERCP + LC已成为主流的治疗方法。随着内窥镜技术的不断发展,其安全性和有效性毋庸置疑。而LCBDE因术中切开胆总管,大部分患者术后需留置T管引流,影响到了患者的术后体验和生活质量,由于ERCP更具微创性,正逐步被越来越多的患者所接受。ERCP操作受限于内镜的活动范围,对于结石位置复杂的情况难以抵达,需进行分次清理,对于大结石也难于取石成功。LCBDE需在体表做切口,可能会导致多组织损伤,手术时间稍长,出血量也相应更多,但其能够直接观察到患者结石部位并实施取石操作,对于结石体积较大、情况复杂的结石能够有效清除[11]所以胆囊结石合并胆总管结石(>10 mm)时,一般选用LCBDE + LC手术,无论操作难度还是取石成功率都优于ERCP + LC [11]。本文只研究胆囊结石合并胆总管结石(≤10 mm)时的临床疗效和术后并发症的影响因素并构建相关预测模型。有研究表明,LC联合LCBDE的术后总并发症发生率、住院费用和结石的复发率较低,围手术期的安全性更高,本文与林秋满等研究一致[12]。内镜联合组患者总并发症及住院费用均高于腹腔镜组(p均<0.05),但是内镜组术后炎症指标均更低,住院时间更短,出血量更少,手术时间短(p均<0.05)这提示与LCBDE比,ERCP联合EST治疗胆管结石合并胆囊结石创伤更小,分析其原因为,ERCP联合EST手术借助内镜开展操作,手术步骤相对简便,术后恢复快,手术时间短,出血量也更少,这与陈勇等的研究相符合[13]。两种手术方式均有各自的发生较多的并发症[14]。LC联合LCBDE胆漏的发生率较高,可能是由于作为在手术室进行的腹腔镜手术,并且破坏了胆总管的完整性,导致术后胆漏的高发生率,另外,部分LCBDE实行了术中一期缝合胆管,导致术后胆管内高压力,也是胆漏高发生率的原因[15]。我院收集的202例胆囊结石合并总管结石治疗的患者未见胆漏的病例,可能还是收集的病例数不够导致的。ERCP联合LC的术后胰腺炎或高淀粉酶血症发生率较高,可能是由于ERCP术中插管困难,导丝进入胰管,造影剂注入胰管所致,另外,Oddi括约肌预切开致肠液反流也可能导致术后胰腺炎或高淀粉酶血症的发生[16]。本研究内镜组术后高淀粉酶血症或胰腺炎发生率高于腹腔镜组组(p < 0.05)。高淀粉酶血症是指ERCP术后3小时和24小时的血淀粉酶高于正常值3倍,且无腹痛及胰腺炎相关影像学表现;ERCP术后胰腺炎在高血淀粉酶基础上出现腹部症状及胰腺炎影像学改变。高淀粉酶血症及胰腺炎是ERCP术后最常见的并发症[17]。本研究中腹腔镜组和内镜组在结石残留及胆道感染等方面存在些许差异,但是本组研究中差异无统计学意义(p < 0.05),可与本项研究的样本量较小,随访时间短有关。这与蒋铁民等[18]研究一致。

现阶段,临床关于胆囊结石合并胆总管结石(≤10 mm)患者术后复发的独立危险因素存在多种观点,谢佳[19]研究通过LASSO回归对变量进行筛选手术方式、年龄、谷草转氨酶、术前总胆红素、结石数量、住院时间、住院费用及手术时间。再用多因素Logistic回归分析显示手术方式(OR, 0.077; 95% CI, 0.017~0.359)、年龄(OR, 1.059; 95% CI, 1.022~1.099)、住院时间(OR, 1.288; 95% CI, 1.041~1.593)、手术时间(OR, 1.013; 95% CI, 1.000~1.026),为胆囊结石合并胆总管结石(≤10 mm)患者术后并发症危险因素。根据危险因素建立胆囊结石合并胆总管结石(≤10 mm)患者术后并发症的预测模型,联合预测的曲线下面积(Area under the Curve, AUC)为0.862 (95% CI: 0.793~0.933),模型的敏感度为84.38%,特异度为79.82%,预测效能良好。但该研究为单中心研究,其结果很大程度上受到该中心外科医生的技术水平、设备条件和围手术期管理习惯的影响。例如,ERCP相关胰腺炎的发生率与操作者的经验密切相关。研究存在样本量较小且是回顾性的,可能存在一定程度的选择偏差,预测模型单一的不足,今后还需进一步深入探讨。

5. 结论

综上所述,LC分期联合ERCP组住院时间、术中出血及术后恢复时间相对较短,LCBDE + LC胆总管一期缝合治疗总体花费低,总体并发症的发生更少。并且手术方式、年龄、住院时间、手术时间为术后并发症的独立危险因素,本模型根据独立危险因素建立模型能较好地预测并发症的发生。

NOTES

*第一作者。

#通讯作者。

参考文献

[1] 张启瑜. 钱礼腹部外科学[M]. 北京: 人民卫生出版社, 2017: 541-542.
[2] 曾明文, 凌俊, 万文武, 等. 两种微创手术治疗胆囊结石合并胆总管结石的疗效比较[J]. 中国普通外科杂志, 2022(2): 160-167.
[3] Gupta, N. (2016) Role of Laparoscopic Common Bile Duct Exploration in the Management of Choledocholithiasis. World Journal of Gastrointestinal Surgery, 8, 376-381. [Google Scholar] [CrossRef] [PubMed]
[4] Kochar, B., Akshintala, V.S., Afghani, E., Elmunzer, B.J., Kim, K.J., Lennon, A.M., et al. (2015) Incidence, Severity, and Mortality of Post-ERCP Pancreatitis: A Systematic Review by Using Randomized, Controlled Trials. Gastrointestinal Endoscopy, 81, 143-149.e9. [Google Scholar] [CrossRef] [PubMed]
[5] 张井虹, 尚海涛, 刘军舰, 等. 腹腔镜胆总管一期缝合与内镜取石治疗继发性胆总管结石的临床疗效比较[J]. 中国普通外科杂志, 2021, 30(8): 877-885.
[6] 刘浩, 尚海涛, 张西波, 等. 腹腔镜胆总管探查一期缝合术后患者肝功能变化的前瞻性观察及分析[J]. 天津医药, 2018, 46(7): 720-723.
[7] 陈燕. LCBDE和ERCP + EST治疗胆囊结石合并胆总管结石的疗效观察[J]. 中华普外科手术学杂志(电子版), 2024, 18(4): 385-388.
[8] 侯建根, 张艳花, 孙焕宏, 等. 急性胆源性胰腺炎LC + LCBDE与LC + ERCP/EST治疗的对比研究[J]. 中华肝胆外科杂志, 2024, 30(3): 202-206.
[9] 李鹏, 王拥军, 王文海. 中国ERCP指南(2018版) [J]. 中国医刊, 2018, 53(11): 1185-1215+1180.
[10] 祁春晖, 黄楚钧, 吕鹏飞, 等. 胆总管结石的个体化内镜与微创外科治疗策略[J/OL]. 兰州大学学报(医学版), 1-8.
https://link.cnki.net/urlid/62.1194.r.20250417.1426.002, 2025-12-15.
[11] 林俊龙, 华赟鹏. 《2025年世界内镜组织指南: 内镜逆行胰胆管造影术中胆道插管及括约肌切开术技术》摘译[J]. 临床肝胆病杂志, 2025, 41(10): 2009-2012.
[12] 林秋满, 王桂良, 吴灶璇, 等. 一步法LCBDE + LC和序贯二步法ERCP/EST + LC治疗胆囊结石合并胆总管结石有效性及安全性的Meta分析[J]. 中国全科医学, 2021, 24(14): 1805-1812.
[13] 陈勇, 张强, 孙帅, 等. LC序贯ERCP与LCBDE + LC胆总管一期缝合治疗胆囊结石合并胆总管结石患者的疗效分析[J]. 中外医疗, 2024, 43(29): 67-71+75.
[14] 冯艳, 张明雄, 朱亚, 等. LC + LCBDE和ERCP/EST + LC治疗胆囊结石合并胆总管结石疗效的Meta分析[J]. 中国临床研究, 2020, 33(1): 45-50.
[15] 李涛. 腹腔镜胆囊切除术联合腹腔镜胆总管切开探查术或内镜下逆行胰胆管造影术用于胆囊结石合并胆总管结石效果观察[J]. 中国现代医药杂志, 2021, 23(2): 69-72.
[16] Ding, X., Zhang, F. and Wang, Y. (2015) Risk Factors for Post-ERCP Pancreatitis: A Systematic Review and Meta-analysis. The Surgeon, 13, 218-229. [Google Scholar] [CrossRef] [PubMed]
[17] 万晓龙. ERCP术后胰腺炎危险因素分析及预测效果评价[J]. 中国中西医结合消化志, 2018, 26(8): 677-680.
[18] 蒋铁民, 郭强, 邵英梅. LCBDE + LC与ERCP/EST + LC治疗胆囊结石并胆总管结石的疗效分析[J]. 中华普通外科杂志, 2017, 32(11): 941-944.
[19] 谢佳. 探讨胆总管结石患者ERCP术后的复发率及其危险因素[J]. 中国实用医药, 2020, 15(33): 41-43.