N掺杂石墨烯负载Ni作为锂硫电池潜在的高效催化剂:第一性原理研究
N-Cient Catalyst for Lithium-Sulfur Batteridoped Graphene Supported Ni as a Potential Catalyst: A First-Principles Study
摘要: 锂硫(Li-S)电池具有高理论能量密度,但受到硫的不导电、硫化物的穿梭效应、硫的利用率低和Li2S氧化动力学缓慢等限制。在此,通过第一性原理计算,系统地研究了N掺杂石墨烯负载Ni非贵金属催化剂(SAC)作为Li-S电池阴极的潜在宿主材料。通过计算之间的结构稳定性、锚定硫能力、电化学反应性和Li2S氧化分解动力学的比较,Ni@NC被确定为潜在的候选材料。Ni@NC的Li2S分解能垒为0.36 eV以及对硫化物较高的锚定性能,同时,这项工作还确定了Ni@NC的放热反应以及较低的限速能垒,理论计算表明Ni@NC有潜力通过加速反应动力学和抑制穿梭效应来提高锂硫电池的电化学性能。这项研究提出了石墨烯的通用表面调控策略,以提高其作为锂硫电池宿主材料的锚定性能。
Abstract: Lithium-sulfur (Li-S) batteries have a high theoretical energy density, but they are limited by the poor conductivity of sulfur, the shuttle effect of sulfides, low sulfur utilization, and the slow oxidation kinetics of Li2S. Here, through first-principles calculations, we systematically studied nitrogen-doped graphene loaded with Ni non-precious metal catalysts (SACs) as a potential host material for Li-S battery cathodes. By comparing structural stability, sulfur anchoring capability, electrochemical reactivity, and Li2S oxidation decomposition kinetics, Ni@NC was identified as a potential candidate material. Ni@NC exhibits a Li2S decomposition barrier of 0.36 eV and strong anchoring performance for sulfides. At the same time, this work identifies the exothermic reactions and low rate-limiting barriers of Ni@NC. Theoretical calculations indicate that Ni@NC has the potential to enhance the electrochemical performance of lithium-sulfur batteries by accelerating reaction kinetics and suppressing the shuttle effect. This study proposes a general surface regulation strategy for graphene to improve its anchoring performance as a host material for lithium-sulfur batteries.
文章引用:杨小龙, 杨书红, 付博娜, 张勇. N掺杂石墨烯负载Ni作为锂硫电池潜在的高效催化剂:第一性原理研究[J]. 电力与能源进展, 2026, 14(1): 1-10. https://doi.org/10.12677/aepe.2026.141001

1. 引言

随着新能源汽车等领域的快速发展,对电池能量密度的需求不断增长,传统的锂离子电池无法满足高速发展的需求。因此,研究者们现在集中于开发新的储能体系。在各种电池系统中,Li-S电池因其来源广泛、成本低、储量丰富、环保等优点而被认为是一种最具有潜力的储能候选者[1]-[3]。尤其是高的理论比能量密度(2600 W·h·kg−1)和体积能量密度(2800 W·h·L−1) [4]-[6]。然而,由于以下原因,Li-S电池的大规模商业应用仍然面临巨大的挑战:(i) 硫(S8)正极材料不导电和Li2S2和Li2S等短链多硫化锂(LiPSs)的不溶性放电产物导致硫利用率低;(ii) 由于可溶性的长链多硫化锂Li2Sn (4 ≤ n ≤ 8)在充放电过程中产生的“穿梭效应”导致活性物质的不断损耗,其中电解质中的可溶性长链LiPSs物质到达锂阳极并与锂金属负极反应形成不溶性Li2Sn (1 ≤ n < 4)并附着在表面,这导致LiPSs的动力学缓慢,容量迅速降低,以及周期稳定性问题;(iii) 锂化过程中大体积膨胀引起的硫阴极粉碎[7] [8]。在2D材料中,与不使用催化材料相比,使用催化材料的100次循环容量保持率可以提高约20%;例如,添加催化材料后,MnO的容量保持率从76.1%增加到94.4% [9]

近年来,人们提出了一些策略来解决Li-S电池的上述问题。特别是,通过在Li-S电池的正极中添加添加剂形成的复合材料有望解决低电导率问题[9]-[11]。一些具有物理约束功能的框架材料有望解决充放电过程中硫阴极体积变化过大的问题。同时,人们投入了大量精力来开发合适的材料来减轻“穿梭效应”。所谓的合适材料应结合LiPSs以抑制其迁移并加速其氧化还原动力学过程,即合适的材料应为具有锚定功能的材料[12]。锚定材料被视为电催化剂,在LiPSs的转化中起着至关重要的作用,降低了反应势垒,引起了人们的广泛关注。例如,一些二维材料[13] [14],包括石墨烯[15] [16]、MXenes [17] [18]、过渡金属碳化物[19] [20]和金属硫化物[21],由于比表面积大和独特的物理化学性质,已被阐明为Li-S电池的有前途的锚定材料。更多的研究表明,石墨烯因具有良好的导电性被证实为锂硫电池正极的候选者。然而,由于石墨烯的非极性导致其不能有效地锚定硫化物,大量的研究者们通过提出使用氧化石墨烯[22]-[24]、石墨烯气凝胶[25]、多孔石墨炔[26]、石墨烯异质结构[27]和杂原子掺杂石墨烯[28]等来增强锚定LiPSs的方法。掺杂到石墨烯中的杂原子,如铁(Fe) [29]、氮(N) [30]、硼(B) [30]、硫(S) [31]等可以增强石墨烯的极性,从而增强对LiPSs的吸附作用。目前,Ni和N是最有前途的金属与非金属掺杂原子。据报道,N掺杂石墨烯可以更快地促进锂离子和电子的转移,而Ni作为单原子催化剂掺杂石墨烯,在潮湿的空气中也很稳定,同时与硫化物离子之间具有很强的协同结合效应,对LiPSs的锚定能力增强。基于此优点,通过第一性原理计算,我们提出N掺杂石墨烯负载Ni是一种优良的宿主材料,由于其对LiPSs的强烈吸附,可以有效抑制“穿梭效应”。我们研究了掺杂负载后石墨烯的电导性,并计算了对LiPSs的吸附能、解离能。

2. 计算方法

所有的DFT计算方法均基于使用Vienna ab initio模拟软件包(VASP) [32]-[34]进行。采用平面投影增强波(PAW)赝势和具有广义梯度近似(GGA)的Perdew-Bruke-Ernzerhof (PBE)函数来研究电子–离子相互作用和电子–电子交换相关性[4] [35] [36]。平面波基计算选择动能截止值为500 eV,能量收敛设置为105 eV/Å,优化的力收敛标准设置为0.02 eV/Å。为了避免相连层之间因周期性边界条件的相互作用,设置一个20 Å的真空层。使用DFT-D3方法计算范德华相互作用[37] [38],以便为具有Ni@NC对多硫化物的吸附强度提供更好的准确性。构建了N掺杂石墨烯负载Ni单层的5 × 5 × 1超胞,并在第一个布里渊区设置了一个3 × 3 × 1的K点用于结构优化、能带和态密度(DOS)的计算。对于声子谱和分子动力学(AIMD)模拟计算分别设置了5 × 5 × 1和1 × 1 × 1的K点进行采点计算,同时,为了确认掺杂后的稳定性,将超胞置于400 K下进行5 ps的稳定性模拟测试。为了评估S的还原动力学,使用攀爬图像轻推松紧带(CI-NEB)方法测定Li2S的分解性能。为了评估单层Ni@NC与硫化物之间的作用强度,根据以下公式计算吸附能:

E ads = E Total E Mo S 2 E L i 2 S n (1)

其中 E Total E Mo S 2 E L i 2 S n 分别表示Ni@NC吸附硫化物后的总能量、Ni@NC底物及多硫化物的能量。为了可视化硫化物的结合强度,根据以下公式计算了差分电荷:

Δρ= ρ Total ρ Mo S 2 ρ L i 2 S n (2)

其中 ρ Total ρ Mo S 2 ρ L i 2 S n 分别表示Ni@NC吸附硫化物后的总电荷密度、Ni@NC底物及LiPSs的电荷密度。

近年来,很多研究者致力于通过计算吉布斯自由能来探索材料对硫还原反应(SRR)过程的催化作用,这被认为是一种有效的方法。充放电过程中硫的反应是复杂的,为了了解每一步的反应过程采用如下公式对其进行了吉布斯自由能计算:

ΔG=Δ G DFT +ΔZPETΔS (3)

3. 结果与讨论

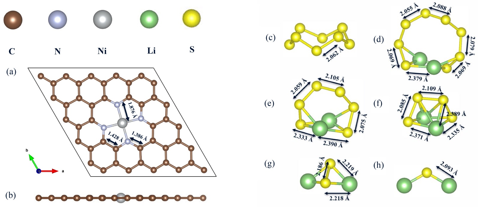
图1(a)图1(b)分别为为5 × 5 × 1的Ni@NC完全结构优化后俯视与侧视图。优化后其Ni-N键长为1.876 Å、C-N键长为1.386 Å、C-C键长为1.428 Å,晶格常数为2.46 Å与纯石墨烯的晶格常数几乎一致。证明Ni@NC保留原始石墨烯的性质。图1(c)~(h)多硫化锂结构优化图,都展现出了三维构型,优化后S8环的键长为2.062 Å,而硫化物从Li2S8到Li2S的S-S键长由2.055 Å伸长到2.186 Å,而Li-S键长由2.379 Å缩短到2.093 Å,在锂化的过程中随着吸附Li浓度的增加,多硫化物中表现出较长的S-S键和较短的Li-S键。这意味着更强的Li-S相互作用,可以很好地帮助锂离子在充放电过程中的插入并加速反应,这与以前的报道一致[39]

Figure 1. (a) and (b) are top and side views of the fully optimized Ni@NC structure, respectively; (c)~(h) are optimized structures of various lithium polysulfides

1. (a)和(b)分别为Ni@NC完全结构优化后俯视与侧视图;(c)~(h)多硫化锂结构优化图

电池正极的导电性也是至关重要的参数,为了进一步认证掺杂后对导电性的影响,对掺杂后进行了能带计算,如图2(a)所示为Ni@NC的能带图,掺杂后的带隙约为0.25 eV,带隙越小说明导电性越好,因此,通过掺杂后仍然能保持良好的导电性,这表明可以克服S的不导电缺点。图2(b)为计算了掺杂后的态密度,显然,态密度主要由C的p轨道贡献,其次是N的p轨道。图2(c)显示了电荷密度,由图可知,电荷密度在X与Y方向都是均匀分布,进一步证明了具有各向同性,这有利于电子的传输。图2(d)计算了电子局域分布函数参数,因此,为了评估掺杂后的稳定性对其进行了声子谱计算,如图2(e)为掺杂后的声子谱,从图中可以看出整个过程没有出现虚频,表明我们的材料是稳定的。为了进一步证明其稳定性又进行了分子动力学(AIMD)模拟,如图2(f)所示为400 K下进行5 ps的动力学模拟,从图中可以看出,在整个过程中都是在一定范围内稳定波动,表明此结构具有热稳定性,其中电子在C-C键之间均与分布,而在Ni-N键之间呈现出向N移动的趋势,这归因于Ni和N原子之间电负性和半径的差异。一般情况下,掺杂后单层石墨烯的导电性越好就越有利于电子的传输,这是Li-S电池的必要条件。

另外,材料的稳定性也影响电池性能的重要讨论完结构与稳定性后,接下来讨论对多硫化物的吸附情况,吸附一般情况分为顶位、穴位、桥位三种,通过优化对比后得出稳定的吸附构型如图3所示,掺杂后的吸附能在−0.46到−2.12 eV,大于原始石墨烯对硫化物的吸附能。从图3中可知,S8环倾向于平行的吸附在衬底表明,吸附能最小只有−0.46 eV,这主要是因为S8与衬底之间的距离较大为3.42 Å,主要表现为物理吸附。而对于长链Li2Sn (n = 4、6、8)团簇,两个Li原子倾向于垂直吸附在衬底表面,短链Li2Sn (n = 1、2)的两个Li原子与S8环类似,吸附能较大的原因是锂与衬底之间产生化学键的强相互作用,且短链成键的数量变多,致使其吸附能大于S8环;另外,从图中可以看出,吸附能大小呈现出短链大于长链的递增趋势,而吸附距离呈现出递减趋势,分别为2.45、2.38、2.37、2.28和2.21 Å,与吸附能的变化趋势一致,前人的研究也出现类似的结果。此外,前人研究的电解液中主要成分DOL (1,3-dioxolane)和

Figure 2. (a) and (b) are the band structure and density of states of the 5 × 5 × 1 Ni@NC supercell; (c) is the charge density; (d) is the electron localization function; (e) and (f) are the phonon spectrum and molecular dynamics simulation at 400K, respectively

2. (a)和(b)为5 × 5 × 1的Ni@NC超胞能带与态密度图;(c) 为电荷密度;(d) 电子局域函数;(e)和(f)分别为声子谱和400 K时的分子动力学模拟

Figure 3. Fully optimized structures of Ni@NC supercells adsorbing Li2Sn (n = 1, 2, 4, 6, 8) clusters

3. Ni@NC超胞吸附Li2Sn (n = 1、2、4、6、8)团簇后的完全结构优化

DME (dimethoxy ethane)对长链硫化物Li2Sn (8、6、4)的吸附能为−0.74到−0.92 eV范围[40]。穿梭效应的产生主要是由长链硫化物导致,因此对多硫化锂(Li2S8、Li2S6、Li2S4)的吸附能大于DOL和DME的吸附能时才能发生“有效吸附”。而掺杂N负载Ni之后对长链多硫化物的吸附能为−0.95到−1.57 eV之间,大于DOL和DME对多硫化物的吸附能,因此可以有效地锚定长链硫化物。同时,不同类型的锂硫团簇被吸附在衬底上时,在这整个过程中结构会发生一定形状的畸变。在充电过程中,锂负极参与反应形成Li+扩散到S正极。首先生成Li2S8的长链团簇,当Li2S8中的Li-S键被破坏之后继续与Li+反应生成Li2S6硫化物,照此规律,S最终被还原成Li2团簇。在整个放电过程中,Li+从最终产物Li2S团簇中脱嵌出来,回到锂负极,释放电子。因此,在此过程中都涉及到Li-S键的断裂和形成。Li-S键越长,就越容易发生断裂。这说明吸附后团簇中Li-S键长的增长可以提高电池的速率性,因此,Ni@NC可作为潜在的锂硫电池潜在的锚定宿主材料。

为了解释掺杂后对多硫化物的锚定机理,如图4为对其进行了Bader电荷与差分电荷计算。在图中能够明显地看到多硫化锂与衬底之间发生了电荷转移,吸附在衬底上的锂硫团簇失去电子转移到基底上,而衬底中N原子得到电子之后与团簇中的Li之间产生电荷积累,而图中的电荷损失在团簇中的S原子附近;在衬底中负载的Ni原子失去电子、C得到电子后又有一部分被S原子夺走,从而可以看到衬底中的C原子附近存在少量的电荷损失。在图中从长链到短链电荷之间的转移逐渐增多,在Li2S2及Li2S之间达到最多表现出最高的吸附能,这不仅是因为Ni与硫化物之间存在电荷转移,同时硫化物中的两个Li与基底之间都存在电荷转移表现出更强的化学作用。为了定量的描述电荷之间的转移,对吸附后进行了Bader计算,图中的Bader电荷显示,随着锂化过程的进行,硫化物由长链变短链的过程中电荷的转移量也逐渐增大,最终到Li2S时达到最大0.31个电子,这与差分电荷一致。

Figure 4. Differential charge and Bader charge transfer between lithium-sulfur clusters and Ni@NC substrate

4. 锂硫团簇与Ni@NC衬底之间的差分电荷与Bader电荷转移量

作为锂硫电池正极锚定材料,电导率是一个重要的参数,通过计算吸附后体系的总态密度(TDOS)和偏态密度(PDOS)的锂化过程来评估。图5为Ni@NC单层吸附S8、Li2S8、Li2S6、Li2S4、Li2S2和Li2S后的总态密度与偏态密度,与掺杂后的石墨烯类似,都表现出半导体属性。另外,在费米能级出充满着电子状态,这意味着吸附硫化物后电子能够快速的移动并表现出良好的导电性。另一方面,S8在初始时的贡献较大,但随着锂化过程的进行,在Li2Sn (n = 1、2、4、6、8)中S的p轨道贡献呈现出递减的趋势,而C的p轨道贡献在整个过程中占据较多、意味着在锂化过程中体系的导电性有所增加。总之,掺杂后的石墨烯作为正极锚定材料,克服了硫的不导电性,是一种友好的正极宿主材料。

锂硫电池的反应过程是复杂的,为了了解每一步的反应过程,计算了每个反应的吉布斯自由能ΔG。图6(a)显示了由S8到Li2S的吉布斯自由能台阶图,从图中可以看出由S8到Li2S8为自发进行的放热反应,ΔG = 6.61 eV,而由Li2S8→Li2S6、Li2S6→Li2S4、Li2S4→Li2S2、Li2S2→Li2S过程均为限速步骤的吸热反应,其ΔG值分别为0.09 eV、0.71 eV、0.93 eV、1.02 eV,这归因于难溶的液固相反应导致可溶性的中间体积累,其中由Li2S2到Li2S是整个锂化过程中能量最大的限速步骤,限速能垒为1.02 eV,低于原始石墨烯(1.16 eV) [41]及缺陷石墨烯的异质结(1.36 eV) [4],这些较低的限速能垒意味着单层Ni@NC分子吸附硫化物后可以促进S的还原反应,提高S的利用率,促进了SRR反应动力学。

Figure 5. Total density of states (TDOS) and projected density of states (PDOS) of S8 clusters, Li2S8, Li2S6, Li2S4, Li2S2, and Li2S adsorbed on a monolayer Ni@NC

5. 吸附在单层Ni@NC上的S8团簇,Li2S8、Li2S6、Li2S4、Li2S2和Li2S的总态密度(TDOS)和偏态密度(PDOS)

(a) (b)

Figure 6. (a) Gibbs free energy of the lithiation process of S8 clusters on a Ni@NC monolayer (b) Distribution of decomposition and diffusion energy barriers of Li2S on Ni@NC

6. (a) Ni@NC单层上S8团簇锂化过程的吉布斯自由能(b) Li2S在Ni@NC上的分解和扩散能垒分布

在充放电过程中多硫化物团簇最终被还原为Li2S,随后在充电过程中又快速被氧化为S8,在氧化过程中Li2S的分解反应为Li2S → LiS + Li+ + e,其中Li2S的分解能垒是评估锂硫电池循环性能的重要因素,因此,降低分解势垒是延长锂硫电池长循环的关键。通过CI-NEB攀爬坡法计算了Li2S团簇吸附在衬底上的分解能垒以评估Li2S的脱锂动力学。由于Li2S的对称性只考虑了打破一个键的分解能,如图6(b)展示了断裂后的能量分布以及分解为LiS和Li+的初末态及过渡态的分解路径,Li2S团簇在Ni@NC衬底上的分解能垒为0.36 eV,低于原始石墨烯(2.12 eV) [41]、低于Li2S@graphehe (2.27 eV) [37]、低于过渡金属(x = Ti、V、Gr、Mn)掺杂C6N2上的分解能垒;较低的分解能垒意味着Li+更容易在MoS2上进行扩散,促进Li的快速循环,这源于Li2S与Ni@NC衬底的强相互作用。

4. 结论

综上,本文系统地研究了Ni@NC作为一种锂硫电池潜在的高效催化剂。通过第一性原理计算Ni@NC的电子结构和对多硫化物的锚定性能。计算结果表明,硫化物的有效吸附不仅可以保持多硫化锂的整体性,而且还能使它们在Ni@NC衬底上稳定结合而不溶解,因此可以有效抑制穿梭效应。通过Bader电荷、差分电荷计算表明,吸附硫化物后通过形成新的Li-N化学键,进一步对硫化物产生强吸附;其次电子局域函数与电荷密度可知,Ni@NC中的电子能够均匀分布在衬底上,这对吸附后的导电性有着显著的提升。最后计算锂化过程中S的还原吉布斯自由能与Li离子的扩散能垒,结果显示出在限速步骤中具有较小的能垒和扩散能垒。理论计算表明Ni@NC有潜力通过加速反应动力学和抑制穿梭效应来提高锂硫电池的电化学性能。总之,Ni@NC不仅可以有效地对硫化物的吸附,而且还能提高S的催化活性和反应动力学。因此。Ni@NC可以作为锂硫电池潜在的阴极锚定材料。另外,本文虽对Ni@NC做了系统的理论计算但缺乏一定的实验验证,因此具有一定的局限性。在未来希望通过更多的理论计算与实验相结合的形式开发更多潜在的高效催化剂。

NOTES

*第一作者。

#通讯作者。

参考文献

[1] Wang, J., Li, F., Liu, Z., Dai, Z., Gao, S. and Zhao, M. (2021) Two-Dimensional Conductive Metal-Organic Frameworks as Highly Efficient Electrocatalysts for Lithium-Sulfur Batteries. ACS Applied Materials & Interfaces, 13, 61205-61214. [Google Scholar] [CrossRef] [PubMed]
[2] Wang, H., Wei, D., Zheng, J., Zhang, B., Ling, M., Hou, Y., et al. (2020) Electrospinning MoS2-Decorated Porous Carbon Nanofibers for High-Performance Lithium-Sulfur Batteries. ACS Applied Energy Materials, 3, 11893-11899. [Google Scholar] [CrossRef
[3] 李刚. 基于锂硫电池正负极多级三维复合导电网络结构设计及性能研究[D]: [博士学位论文]. 上海: 上海交通大学, 2021.
[4] Li, Y., Pan, Y., Cong, Y., Zhu, Y., Liu, H., Wan, Y., et al. (2022) Decoration of Defective Graphene with MoS2 Enabling Enhanced Anchoring and Catalytic Conversion of Polysulfides for Lithium-Sulfur Batteries: A First-Principles Study. Physical Chemistry Chemical Physics, 24, 29214-29222. [Google Scholar] [CrossRef] [PubMed]
[5] Zhou, G., Tian, H., Jin, Y., Tao, X., Liu, B., Zhang, R., et al. (2017) Catalytic Oxidation of Li2S on the Surface of Metal Sulfides for Li-S Batteries. Proceedings of the National Academy of Sciences, 114, 840-845. [Google Scholar] [CrossRef] [PubMed]
[6] 陈飞彪. 锂硫电池正极材料的制备及其电化学性能研究[D]: [博士学位论文]. 北京: 北京理工大学, 2015.
[7] Tang, H., Li, W., Pan, L., Tu, K., Du, F., Qiu, T., et al. (2019) A Robust, Freestanding Mxene‐Sulfur Conductive Paper for Long‐Lifetime Li-S Batteries. Advanced Functional Materials, 29, Article ID: 1901907. [Google Scholar] [CrossRef
[8] Wang, H., Zhang, W., Xu, J. and Guo, Z. (2018) Advances in Polar Materials for Lithium-Sulfur Batteries. Advanced Functional Materials, 28, Article ID: 1707520. [Google Scholar] [CrossRef
[9] Qian, X., Jin, L., Zhao, D., Yang, X., Wang, S., Shen, X., et al. (2016) Ketjen Black-MnO Composite Coated Separator for High Performance Rechargeable Lithium-Sulfur Battery. Electrochimica Acta, 192, 346-356. [Google Scholar] [CrossRef
[10] Ji, X., Lee, K.T. and Nazar, L. (2009) A Highly Ordered Nanostructured Carbon-Sulphur Cathode for Lithium-Sulphur Batteries. Nature Materials, 8, 500-506.
[11] Xiao, L., Cao, Y., Xiao, J., Schwenzer, B., Engelhard, M.H., Saraf, L.V., et al. (2012) A Soft Approach to Encapsulate Sulfur: Polyaniline Nanotubes for Lithium‐Sulfur Batteries with Long Cycle Life. Advanced Materials, 24, 1176-1181. [Google Scholar] [CrossRef] [PubMed]
[12] Wang, L., Hua, W., Wan, X., Feng, Z., Hu, Z., Li, H., et al. (2022) Design Rules of a Sulfur Redox Electrocatalyst for Lithium-Sulfur Batteries. Advanced Materials, 34, e2110279. [Google Scholar] [CrossRef] [PubMed]
[13] Yang, Y., Liu, X., Zhu, Z., Zhong, Y., Bando, Y., Golberg, D., et al. (2018) The Role of Geometric Sites in 2D Materials for Energy Storage. Joule, 2, 1075-1094. [Google Scholar] [CrossRef
[14] Chang, C., Chen, W., Chen, Y., et al. (2021) Recent Progress on Two-Dimensional Materials. Acta Physico-Chimica Sinica, 37, Article ID: 2108017.
[15] Andritsos, E.I., Lekakou, C. and Cai, Q. (2021) Single-Atom Catalysts as Promising Cathode Materials for Lithium-Sulfur Batteries. The Journal of Physical Chemistry C, 125, 18108-18118. [Google Scholar] [CrossRef
[16] Su, Y.S. and Manthiram, A. (2012) Lithium-Sulphur Batteries with a Microporous Carbon Paper as a Bifunctional Interlayer. Nature Communications, 3, Article No. 1166.
[17] Liang, X., Rangom, Y., Kwok, C.Y., Pang, Q. and Nazar, L.F. (2016) Interwoven MXene Nanosheet/Carbon-Nanotube Composites as Li-S Cathode Hosts. Advanced Materials, 29, Article ID: 1603040. [Google Scholar] [CrossRef] [PubMed]
[18] 李耀营. MXene基复合正极材料的制备及锂硫电池性能研究[D]: [硕士学位论文]. 南宁: 广西大学, 2024.
[19] Sim, E.S., Yi, G.S., Je, M., Lee, Y. and Chung, Y. (2017) Understanding the Anchoring Behavior of Titanium Carbide-Based Mxenes Depending on the Functional Group in Li S Batteries: A Density Functional Theory Study. Journal of Power Sources, 342, 64-69. [Google Scholar] [CrossRef
[20] Li, H., Ma, S., Cai, H., Zhou, H., Huang, Z., Hou, Z., et al. (2019) Ultra-Thin Fe3C Nanosheets Promote the Adsorption and Conversion of Polysulfides in Lithium-Sulfur Batteries. Energy Storage Materials, 18, 338-348. [Google Scholar] [CrossRef
[21] Ghazi, Z.A., He, X., Khattak, A.M., Khan, N.A., Liang, B., Iqbal, A., et al. (2017) MoS2/Celgard Separator as Efficient Polysulfide Barrier for Long‐Life Lithium-Sulfur Batteries. Advanced Materials, 29, Article ID: 1606817. [Google Scholar] [CrossRef] [PubMed]
[22] , Du, Z.Z., et al. (2019) Cobalt in Nitrogen-Doped Graphene as Single-Atom Catalyst for High-Sulfur Content Lithium-Sulfur Batteries. Journal of the American Chemical Society, 141, 3977-3985.
[23] Zhang, Q., Wang, Y., Seh, Z.W., Fu, Z., Zhang, R. and Cui, Y. (2015) Understanding the Anchoring Effect of Two-Dimensional Layered Materials for Lithium-Sulfur Batteries. Nano Letters, 15, 3780-3786. [Google Scholar] [CrossRef] [PubMed]
[24] He, J., Hartmann, G., Lee, M., Hwang, G.S., Chen, Y. and Manthiram, A. (2019) Freestanding 1T MoS2/Graphene Heterostructures as a Highly Efficient Electrocatalyst for Lithium Polysulfides in Li-S Batteries. Energy & Environmental Science, 12, 344-350. [Google Scholar] [CrossRef
[25] Ren, Y., Wang, B., Liu, H., Wu, H., Bian, H., Ma, Y., et al. (2022) Cop Nanocages Intercalated Mxene Nanosheets as a Bifunctional Mediator for Suppressing Polysulfide Shuttling and Dendritic Growth in Lithium-Sulfur Batteries. Chemical Engineering Journal, 450, Article ID: 138046. [Google Scholar] [CrossRef
[26] Park, J., Yu, B., Park, J.S., Choi, J.W., Kim, C., Sung, Y., et al. (2017) Tungsten Disulfide Catalysts Supported on a Carbon Cloth Interlayer for High Performance Li-S Battery. Advanced Energy Materials, 7, Article ID: 1602567. [Google Scholar] [CrossRef
[27] Lin, H., Zhang, S., Zhang, T., Cao, S., Ye, H., Yao, Q., et al. (2019) A Cathode-Integrated Sulfur-Deficient Co9S8 Catalytic Interlayer for the Reutilization of “Lost” Polysulfides in Lithium-Sulfur Batteries. ACS Nano, 13, 7073-7082. [Google Scholar] [CrossRef] [PubMed]
[28] Xu, J., Zhang, W., Fan, H., Cheng, F., Su, D. and Wang, G. (2018) Promoting Lithium Polysulfide/Sulfide Redox Kinetics by the Catalyzing of Zinc Sulfide for High Performance Lithium-Sulfur Battery. Nano Energy, 51, 73-82. [Google Scholar] [CrossRef
[29] Kresse, G. and Hafner, J. (1993) Ab Initio Molecular Dynamics for Open-Shell Transition Metals. Physical Review B, 48, 13115-13118. [Google Scholar] [CrossRef] [PubMed]
[30] Liu, J., Duan, S., Xu, J., Qiao, B. and Lou, Y. (2016) Catalysis by Supported Single Metal Atoms. Microscopy and Microanalysis, 22, 860-861. [Google Scholar] [CrossRef
[31] Kresse, G. and Furthmüller, J. (1996) Efficient Iterative Schemes for ab Initio Total-Energy Calculations Using a Plane-Wave Basis Set. Physical Review B, 54, 11169-11186. [Google Scholar] [CrossRef] [PubMed]
[32] Ghosh, A., Pal, S. and Sarkar, P. (2022) Rational Design of Two-Dimensional Porous Boron Phosphide as Efficient Cathode Material for Li and Na Ion Batteries: A First-Principles Study. The Journal of Physical Chemistry C, 126, 5092-5100. [Google Scholar] [CrossRef
[33] 于佳慧. 锂硫电池正极材料的理论设计与研究[D]: [硕士学位论文]. 上海: 上海大学, 2022.
[34] 徐宇虹, 尹鸽平, 左朋建. 锂离子电池正极材料的第一性原理[J]. 化学进展, 2008, 20(11): 7.
[35] Liang, H., Tian, F., Zeng, Z., Li, Y. and Wang, C. (2022) Two-Dimensional Metal-Free Compounds of BC4N and BC6N2 with Boron Atoms as Highly Efficient Catalytic Centers toward Sulfur Redox in Lithium-Sulfur Batteries. Applied Surface Science, 606, Article ID: 154773. [Google Scholar] [CrossRef
[36] 吴宇, 王自立, 邓超. 基于第一性原理对于锂硫电池正极材料NiS掺杂改性的研究[J]. 哈尔滨师范大学自然科学学报, 2022, 38(6): 75-78.
[37] Zhao, B., Ren, Z., Tan, G., Li, Z. and Xie, J. (2022) Defects on Li2S@Graphene Cathode Improves the Performance of Lithium-Sulfur Battery, a Theoretical Study. Acta Materialia, 226, Article ID: 117632. [Google Scholar] [CrossRef
[38] 罗改霞, 文黎巍. 铜掺杂锂硫电池正极材料Li2S性能研究[J]. 湖南城市学院学报(自然科学版), 2015, 24(3): 112-113.
[39] Cao, Z., Wu, H. and An, Y. (2025) Anchoring Ability and Catalytic Activity of B2C2 Monolayer as the Lithium-Sulfur Batteries Cathode Materials: A First Principle Calculation. Chemical Physics, 588, Article ID: 112484. [Google Scholar] [CrossRef
[40] Gao, D., Li, Y., Guo, Z., Liu, Z., Guo, K., Fang, Y., et al. (2021) Sc2CO-MXene/h-BN Heterostructure with Synergetic Effect as an Anchoring and Catalytic Material for Lithium-Sulfur Battery. Journal of Alloys and Compounds, 887, Article ID: 161273. [Google Scholar] [CrossRef
[41] Zhang, X., Zhou, X., Wang, Y. and Li, Y. (2023) A Theoretical Study of the NbS2 Monolayer as a Promising Anchoring Material for Lithium-Sulfur Batteries. Physical Chemistry Chemical Physics, 25, 10097-10102. [Google Scholar] [CrossRef] [PubMed]