干湿循环对层理片岩动态力学性质的影响研究
Study on the Influence of Dry-Wet Cycles on the Dynamic Mechanical Properties of Layered Schist
DOI: 10.12677/hjce.2026.152020, PDF, HTML, XML,   
作者: 陈 鹏, 彭亚雄, 冉德晖:湖南科技大学土木工程学院,湖南 湘潭
关键词: 干湿循环霍普金森杆动力学特性层理角度Wet-Dry Cycle SHPB Dynamics Bedding Dip Angle
摘要: 为研究干湿循环对层理片岩动态力学性质的影响。利用分离式霍普金森压杆对经历不同干湿循环次数的片岩展开动态冲击压缩试验,研究不同层理倾角片岩经历不同程度干湿循环作用下的动态力学特性及破裂特征的影响。结果表明:片岩在受到瞬态加载过程中应力应变曲线有多个显著阶段:压密阶段、线弹性阶段、应变硬化阶段、应变软化阶段、快速卸载阶段。当层理倾角为0˚和90˚时,试件表现出较高的动态抗压强度值,并且在破坏后形成的岩石碎片尺寸相对较大。在层理倾角分别为30˚、45˚和60˚的试件中,抗压强度呈现下降趋势,同时伴随较高的破碎程度。试件破坏形式主要为0˚倾角的沿层理面发生的劈裂破坏,30˚、45˚与60˚沿层理面的剪切破坏与一定程度的局部压剪破坏,90˚倾角的穿越层理面的轴向劈裂破坏与局部沿层理面的拉伸破坏。
Abstract: To study the influence of dry-wet cycles on the dynamic mechanical properties of schist layers. Using the separated Hopkinson pressure bar, dynamic impact compression tests were conducted on schist samples that had undergone different numbers of dry-wet cycles. The dynamic mechanical characteristics and fracture features of schist samples with different bedding angles under varying degrees of dry-wet cycling were investigated. The results show that during the transient loading process, the stress-strain curve of the schist exhibits multiple significant stages: compaction stage, linear elastic stage, strain hardening stage, strain softening stage, and rapid unloading stage. When the bedding angle is 0˚ or 90˚, the specimens exhibit higher dynamic compressive strength values, and the formed rock fragments are relatively larger in size after failure. In specimens with bedding angles of 30˚, 45˚, and 60˚, the compressive strength shows a downward trend, accompanied by a higher degree of fragmentation. The failure forms of the specimens mainly include Splitting failure along the bedding plane at 0˚ inclination, shear failure along the bedding plane at 30˚, 45˚, and 60˚, and a certain degree of local compressive-shear failure at 90˚ inclination.
文章引用:陈鹏, 彭亚雄, 冉德晖. 干湿循环对层理片岩动态力学性质的影响研究[J]. 土木工程, 2026, 15(2): 8-20. https://doi.org/10.12677/hjce.2026.152020

1. 引言

片岩是变质岩的代表之一,在鄂西北地区的工程项目,含结构面的岩体不仅要应对自身重力及地应力,还有可能遭受地震或者施工过程中出现的爆破等动态载荷的影响。由于这类岩体内部结构具有明显的层理构造,其弱面的存在使得岩石在受力过程中表现出易于劣化的力学特性。因此,深入研究含层理片岩在瞬态冲击载荷作用下的力学行为及其损伤演化过程具有重要的意义。

针对层状岩体复杂的力学特性大量学者对其展开了研究。Kou等[1]研究了温度和干湿循环对层状片麻岩抗拉强度的作用机理。Mo等[2]揭示了酸处理对层状灰岩力学性质的影响。Shi等[3]探究了干湿循环在泥页岩断裂韧性与抗拉强度关系中的作用及各向异性程度。T. Ramamurthy [4]基于层状岩体试验的相关成果给出随干湿循环分布的典型强度各向异性曲线。Y. M. Tien等[5]采用模拟材料研究了层状岩体力学特性和4种典型的破坏模式。刘新喜等[6]针对不同干循环次数下具有多种裂隙倾角的炭质页岩试件进行了三轴压缩试验,研究了干湿循环次数与单裂隙炭质页岩强度之间的关系。姚华彦等[7]对经历了不同次数干湿循环的红砂岩进行测试,发现其各项力学参数如弹性模量、单轴抗压强度、三轴抗压强度以及粘聚力和内摩擦角等均呈现下降态势。第一次干湿循环作用下降低幅度最大,随后逐渐变小。上述研究主要集中于准静态加载条件及不同环境条件下的层状岩体力学特性与破裂形态。但在隧道开挖、采矿作业等施工过程中,岩体主要受动荷载作用。

目前,相关学者在层状岩体动态力学特性及破裂特征的研究也有了十分丰厚的成果。VERVOORT等[8] [9]通过单轴压缩和巴西劈裂试验,总结了试样的强度及破裂模式随着层理倾角的变化规律,并分析了试样变形与强度的各向异性;TAVALLALI等[10] [11]通过砂岩劈裂试验,得到了不同干湿循环对层状砂岩的抗拉强度以及破坏模式的影响规律;NIANDOU等[12]研究了页岩试验的力学各向异性特征,将试样破坏模式分为剪切破坏和张拉破坏。

综上可知,国内外众多学者对干湿循环作用下岩石力学特性变化进行了广泛研究,主要集中于单轴压缩试验、三轴强度试验以及直剪试验等方面,对于岩石动态力学特性的探讨相对较少,尤其是针对具有层理结构的岩石在干湿循环下动态力学特性研究更为罕见,为此,本文聚焦于鄂西北地区片岩,针对不同层理倾角(0˚、30˚、45˚、60˚、90˚)片岩进行了干湿循环与动态冲击试验,分析了层理倾角与干湿循环次数对片岩动态力学特性的影响及原因。

2. 试验方案

2.1. 试样制备

选用鄂西北地区某高速隧道进口处片岩进行室内试验,其主要矿物成分为云母(63%)、白云石(4%)、石英(21%),夹杂着少量的钠长石和绿泥石等,呈灰白色,质地均匀。为确保片岩的均匀性,试验所用的材料均取自于单块完整的片岩,选用0˚、30˚、45˚、60˚、90˚共五组层理面倾角进行钻芯、切割、打磨等工序,使其端面不平行度和不垂直度低于0.02 mm。将页岩制备成高径比为0.5的标准圆柱体试件(直径50 mm,高度25 mm),每组中不同干湿循环岩样各3个。其中,定义层理倾角θ为层理分布方向与圆柱形试件纵向轴线(即力学试验加载方向)形成的夹角。部分已完成试件如下图1所示。

Figure 1. Including samples of different layered dip-angle schist

1. 含不同层理倾角片岩试件

2.2. 干湿循环设计

首先将片岩岩样放入水容器中浸水48小时后擦除表面附着的水分,在室温下静置30分钟,接着放入烘箱中以105˚C的温度干燥 24小时后自然冷却至室温,称为一次干湿循环。以此步骤对五种不同层理倾角(0˚、30˚、45˚、60˚、90˚)片岩样分别开展0、5、10、15次干湿循环处理,按照干湿循环的程度的不同将试件分为A、B、C、D四组,随后开展霍普金森动力学试验,研究干湿循环对片岩动力学特性的劣化规律。

Figure 2. Rock sample dry and wet cycle process

2. 岩样干湿循环过程

Figure 3. Flowchart of wet and dry cycle test

3. 干湿循环试验流程图

2.3. SHPB试验设备

冲击试验采用的是分离式霍普金森杆(SHPB)装置,主要包括以下几个部分:子弹、入射杆、透射杆、吸收杆和数据采集记录系统。所有杆件(入射杆、透射杆、吸收杆)的杆径均为50 mm,入射杆长度2 m,透射杆长度为1.5 m,所有试件均竖向加持在入射杆与透射杆之间,在入射杆与透射杆上粘贴应变片,应变片连接超动态应变仪及示波器系统。冲击过程中由入射杆与透射杆中段的应变片将产生的电波信号传入示波器,最后利用计算机分析软件对波形图进行分析计算出加载脉冲对应的曲线。SHPB装置原理示意图如图4

Figure 4. A schematic diagram of the SHPB device

4. SHPB装置原理示意图

2.4. 试验过程

在实际操作中,运用SHPB试验装置对试件进行了动态压缩试验。片岩试件分别有0˚、30˚、45˚、60˚和90˚五种不同的层理倾角,并在恒定的0.4 MPa冲击气压条件下进行动态压缩试验。为了确保所得试验结果的精确性并降低数据离散性,对每种工况下都进行了三次重复试验以提高结果的可靠性和稳定性。

在进行冲击试验时,首先将纺锤状的子弹推至炮筒的最底部,将片岩试件两面涂抹适量凡士林,推动透射杆挤压试件,随着多余的凡士林排出,接触面的空气被排尽,试件即可被固定在两杆之间,将气压泵的压力调节至0.4 MPa,填充氮气至饱和状态后释放,促使子弹从气压筒中发射并击中入射杆。在这一瞬间,数据采集系统会同步启动,对相关数据及波形图进行实时采集记录。最后,收集岩样冲击后的碎片,保存试验数据,拍摄试件破坏形态的照片。

3. 片岩动态力学特性

3.1. 应力平衡

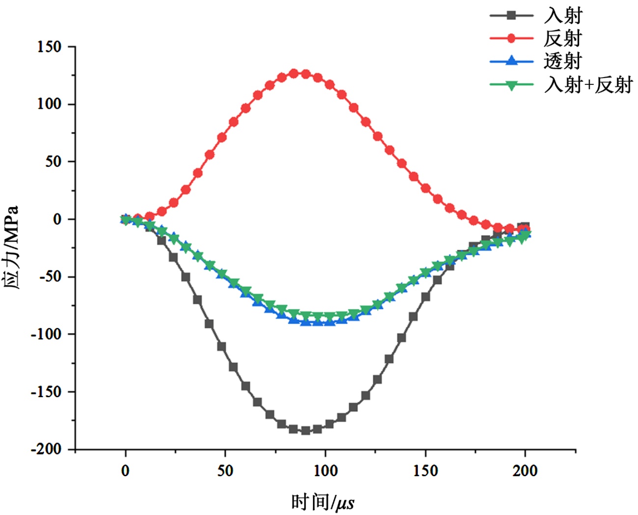
先对齐入射波、反射波以及透射波的波头,绘制出入射波与反射波两者叠加合成的波形曲线,观察此合成波形与透射波之间的吻合程度。如果两者的重合度较高,则可以合理推断,在当前实验条件下,试验已达到应力平衡,此时所得试验结果具有较高的可信度。图5为典型应力平衡图。

Figure 5. Typical stress balance diagram

5. 典型应力平衡图

3.2. 应力–应变曲线特征

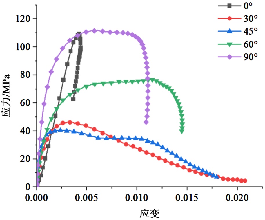
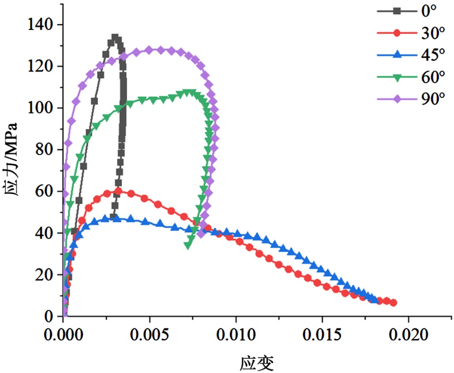
在确认了实验结果的可靠性之后,可运用“三波法”理论,通过剔除明显异常结果后,构建各个试样的应力–应变曲线,并对同种工况下多个试件的数据予以平均化处理,获得更为精确的应力–应变关系曲线如图6所示。从图6可以看出:

1) 在动态压缩条件下,不同层理倾角的片岩表现出显著差异的动态抗压强度特性,这一现象有力地揭示了在动态压缩效应下,层理面的不同倾角对于岩石整体抗压性能的影响程度相当显著。

2) 当层理倾角为0˚和90˚时,试件展现出较高的动态抗压强度,并且在加载结束后,岩石破裂后的块体尺寸相对较大。与此相反,对于层理倾角处于30˚、45˚以及部分60˚的试件,则显示出较低的抗压强度值和较高的破碎程度。

3) 0˚和90˚试件在动态加载下的应力应变曲线表现为闭口形态,证明在相应的冲击载荷作用下,试件并未达到其屈服极限,因而仅发生了有限的破裂,形成若干大块的岩石碎片。相比之下,那些层理倾角为30˚、45˚以及部分60˚的试件,在相同的动态试验条件下,其应力应变曲线呈现出开口状,这表明岩石遭受冲击载荷后已经达到了完全破坏的状态,其破坏程度相较于低其他层理倾角试件更为剧烈。

(a) 0次干湿循环 (b) 5次干湿循环

(c) 10次干湿循环 (d) 15次干湿循环

Figure 6. Stress-strain curves of schist with different bedding angles under dry-wet cycling

6. 干湿循环作用下不同层理倾角片岩的应力–应变曲线

4. 动态抗压强度劣化分析

从试件应力–应变关系数据中可以得到不同干湿循环次数作用下片岩的动态抗压强度,如图7所示。

图7所示的试验结果中,可以清晰地观察到随着干湿循环次数的增长,片岩试件的动态抗压强度呈现出逐渐递减的趋势。以未经干湿循环处理的初始试件作为参照基准(即干湿循环次数为零的情形),发现干湿循环初始阶段(前五次内)会导致抗压强度显著下降的现象,在后续的循环过程中,动态抗压强度的降低随后逐渐趋于平缓。具体以30˚层理倾角的片岩试件为例,未经任何干湿循环作用的试件表现出60.29 MPa的动态抗压强度。经过5次干湿循环后,这一数值降至46.61 MPa,相对初始值减少了大约22.69%;当循环次数达到10次时,抗压强度进一步下滑至38.31 MPa,降幅约为17.8%;而在经历15次干湿循环后,其抗压强度为34.03 MPa,降幅已缩窄至约11.20%。这些数据有力地证明了干湿循环作用对于片岩力学性能的削弱效应具有累积性和阶段性特点,随着循环次数增多,抗压强度劣化效果愈发明显。

Figure 7. Relationship between the dynamic compressive strength of schist and the number of dry and wet cycles

7. 片岩动态抗压强度与干湿循环次数的关系

干湿循环作用对片岩力学性能的劣化效应可以通过量化指标进行精确评估,其中,参考文献[13]提出了总劣化度和阶段劣化度的概念。总劣化度Sn被定义为片岩在经历n次完整的干湿循环之后,其动态抗压强度累计下降的程度,用于综合表征整个循环过程中的整体劣化状况。而阶段劣化度ΔSn则衡量的是连续两次干湿循环期间,片岩动态抗压强度的相对降幅,这一指标有助于深入剖析干湿交替过程中每一阶段的局部劣化进程。

S n = σ 0 σ n σ 0 ×100% (1)

Δ S n = S n S m (2)

式中:σnn次干湿循环作用下片岩的动态抗压强度,σ0为初始状态下的片岩的动态抗压强度。根据上式(1)、(2)可以计算得到不同干湿循环次数下片岩的总劣化度和阶段劣化度,如下表1所示。

Table 1. Values of dynamic compressive strength and deterioration degree of schist under different dry-wet cycles

1. 不同干湿循环次数作用下片岩动态抗压强度及劣化度数值

干湿循环次数(n)

30˚

45˚

强度(MPa)

Sn/%

ΔSn/%

强度(MPa)

Sn/%

ΔSn/%

强度(MPa)

Sn/%

ΔSn/%

0

133.89

-

-

60.29

-

-

47.20

-

-

5

109.55

18.18

18.18

46.61

22.69

22.69

40.46

14.29

14.29

10

103.48

22.71

4.53

38.31

36.45

13.76

33.75

28.50

14.21

15

102.16

23.70

0.98

34.03

43.57

7.11

21.44

54.58

26.08

干湿循环次数(n)

60˚

90˚

强度(MPa)

Sn/%

ΔSn/%

强度(MPa)

0

108.37

-

-

128.33

5

76.70

29.23

29.23

111.97

10

63.14

41.74

12.51

94.75

15

34.79

67.90

26.16

74.08

表1所示的数据进行分析,发现干湿循环过程对片岩动态抗压强度造成的累计劣化效应呈现出显著的增长趋势。具体而言,随着循环次数的递增,不同层理倾角的片岩显示出不同的总劣化程度:0˚层理倾角的片岩动态抗压强度劣化度为23.70%,而这一数值在30˚、45˚、60˚以及90˚层理倾角的片岩中分别增至43.57%、54.58%、67.90%和42.27%。其中,0˚层理倾角岩样的动态抗压强度劣化最为轻微。在多数岩样样本中,前五个干湿循环周期产生的阶段抗压强度劣化最为显著;随着循环次数继续增加,劣化度呈现出下降的趋势,这说明存在一个临界点,即当干湿循环作用达到一定次数后,对岩样抗压强度的影响趋于微弱。由于实验条件限制,未能针对同一试件在不同循环阶段获取动态应力–应变曲线,因此,所得试验数据可能受到岩样内在结构差异的影响,从而导致一定程度上的不确定性。

为了便于观察在比较在相同程度干湿循环作用下不同层理倾角片岩的动态抗压强度,绘制了如下图8片岩动态抗压强度与层理倾角关系的曲线。

Figure 8. Relationship between dynamic compressive strength of schist and bedding dip angle

8. 片岩动态抗压强度与层理倾角的关系

图8所示,在相同的干湿循环条件下,片岩的动态抗压强度与层理倾角之间的关系表现为一种典型的“U”形分布特征,这一现象归因于岩层内部的胶结机制差异及片岩材料固有的力学属性。基于层理倾角的差异,可将片岩的动态抗压强度划分为三个主要类别:在层理倾角小于30˚的情形下,层理对岩石试件的动态抗压强度几乎没有负面效应,此时试件表现出最大化的动态抗压能力。其次,对于倾角处于30˚至45˚以及60˚至90˚范围内的试件,尽管其主要破坏形式依然为劈裂破坏模式,但层理的作用开始显现,对试件的动态抗压强度产生了一定程度的削弱作用。在45˚至60˚这一区间,岩石层理的胶结强度成为了决定片岩试件动态抗压性能的关键因素,层理倾角的变化直接决定了破坏模式的转变,进而导致在0˚至30˚和45˚至60˚这两个角度范围内,片岩试件的动态抗压强度经历了一个显著的降低和随后的增强过程。与此同时,在反复的干湿循环劣化过程中,无论何种层理倾角的片岩试件,其动态抗压强度均表现出随循环次数增加而整体下滑的趋势。此时,“U”形曲线描述的动态抗压强度与层理倾角之间的关系仍然稳定保持,揭示了层理倾角作为影响片岩力学性能的重要参数,在不同环境条件下具有恒定的指示意义。

5. 动态冲击能量耗散及变形特征分析

5.1. 能量耗散计算

在利用霍普金森压杆试验装置进行千枚岩岩石式样动态冲击试验的过程中,整个系统的入射能 W I ( t ) 、反射能 W R ( t ) 和透射能 W T ( t ) 可根据一维应力波理论,由下式计算求得:

W I ( t )= E 0 C 0 A 0 0 τ ε I 2 ( t )dt W R ( t )= E 0 C 0 A 0 0 τ ε R 2 ( t )dt W T ( t )= E 0 C 0 A 0 0 τ ε T 2 ( t )dt } (3)

式中,σIσRσT、分别代表入射波、反射波和透射波在压杆中产生的应力;A0表示杆件的横截面积;E0表示的弹性模量;C0为杆中的一维波速。

忽略试验中压杆与岩石式样之间的能量损失,根据能量守恒定律,岩石式样破碎耗能 W S ( t ) 由下式计算获得:

W S ( t )= W I ( t )[ W R ( t )+ W T ( t ) ] (4)

根据式(3)~(4)可以计算得到在片岩动态压缩试验中,不同程度干湿循环作用下各层理倾角片岩不同部分的能量,如表2所示。

Table 2. Calculation results of schist energy under different dry-wet cycles

2. 不同干湿循环次数下片岩能量计算结果

层理倾角(˚)

循环次数

入射能(J)

反射能(J)

透射能(J)

吸收能(J)

0

74.45

2.99

55.34

16.12

5

66.65

4.65

48.10

13.90

10

60.23

7.16

42.83

10.24

15

45.97

7.86

36.02

2.09

30˚

0

71.82

31.84

9.36

30.62

5

69.69

36.74

5.13

27.82

10

68.97

41.05

5.65

22.27

15

66.54

48.87

3.26

14.41

45˚

0

67.88

28.81

8.16

30.91

5

65.04

29.36

6.25

29.43

10

67.72

45.97

3.63

18.12

15

57.02

47.56

2.12

7.34

60˚

0

84.25

13.67

52.79

17.80

5

73.98

23.31

36.84

13.83

10

71.17

36.00

25.15

10.02

15

66.66

49.51

10.97

6.18

90˚

0

118.00

13.78

78.65

25.56

5

101.77

15.41

71.04

15.32

10

88.87

21.94

57.95

8.99

15

71.83

25.12

44.32

2.39

5.2. 不同层理角度能量分布曲线

根据试验数据及上表中的能量计算结果,以30˚和60˚层理倾角片岩为例,绘制如下图9片岩不同程度干湿循环与能量之间的变化关系图。

(a) 30˚层理倾角片岩 (b) 60˚层理倾角片岩

Figure 9. The relationship between the number of dry and wet cycles and the energy of schist

9. 片岩干湿循环次数与能量之间的变化关系

图9中曲线可以得出,试件在经受连续的干湿循环过程时,其透射能和吸收能呈现出明显的递减趋势。实验数据显示,随着干湿循环次数的增长,透射能的降幅相较于吸收能更为突出,这表面透射性能对于干湿循环效应具有更高的敏感度。与此同时,片岩的反射能在相同的循环条件下呈现出相反的态势,即随着循环次数增多而持续增强。通过分析图表所示的能量转移曲线可以明确,透射能和吸收能均随干湿循环次数的累积而逐渐减少,而反射能则表现出增大的行为。这一现象背后的原因在于,随着循环次数的增加,试件内部经历了复杂的物理化学作用,导致岩石微观结构和整体性能的劣化。干湿交替引发的损伤机制致使试件表面及内部出现孔隙发育和裂纹扩展等缺陷,进而降低了片岩的整体性质。当外部入射波遭遇此类受损岩石时,能量穿透能力受到抑制,从而更多能量被反射,剩余部分则用于对岩石结构的破坏被岩石吸收。此外,根据我们在前期章节所获得的研究成果,干湿循环还会引起岩石强度的下降,这意味着在同样程度的破碎过程中,实际消耗的能量需求也随之减少。

5.3. 层理角度与破碎耗能密度

为了便于比较片岩层理倾角与能量变化之间的关系,绘制下图10在不同程度干湿循环作用下片岩层理倾角与吸收能变化关系图。

Figure 10. The relationship between bedding dip angle and energy change

10. 层理倾角与能量变化之间的关系

通过对图10所示的数据进行深入分析,可以观察到试件的吸收能与层理倾角的关系表现为一种倒“U”型曲线特征,其中基本在30˚层理倾角的片岩试件处达到了最大吸收能峰值。这一现象可归因于30˚层理倾角下的片岩试件具有相对最低的动态抗压强度,在动态加载作用下,其内部结构的破碎过程更为剧烈且产生的颗粒细度更高。这表明,在此特定倾角下,试件在破碎过程中吸收并耗散了更多的能量。相比之下,0˚和90˚层理倾角的片岩样本在破碎后形成的碎块体积较大,因此相对吸收的能量较少。

5.4. 破坏形态及模式

不同层理面倾角的片岩试样SHPB试验后变形破坏形式如表3所示。

表3可知,30˚和45˚层理倾角的片岩破碎状况尤为严重,而0˚和90˚层理倾角的试件虽然破碎后碎块体积较大,但在所有干湿循环阶段均倾向于发生劈裂拉伸为主的破坏模式。层理倾角位于30˚、45˚以及60˚范围内的片岩,则更易于经历剪切破坏或兼具劈裂拉伸与剪切混合特征的破坏类型。

6. 结论

本文对经过不同次数干湿循环处理后的片岩试件,利用分离式霍普金森压杆(SHPB)试验系统对其展开了动态单轴压缩试验,试验包括0˚、30˚、45˚、60˚以及90˚五种层理倾角的试件。研究分析了在不同工况下的片岩试件应力–应变曲线关系、动态抗压强随循环次数的变化趋势与能量耗散规律。共总结出以下四条结论:

1) 片岩在受到瞬态加载过程中应力应变响应有多个显著阶段:压密阶段、线弹性阶段、应变硬化阶段、应变软化阶段、快速卸载阶段,这些阶段在整个应力应变曲线上的相对持续时间与占比呈现出与试件所经历的不同干湿循环程度的依赖关系。

Table 3. Dynamic failure patterns of schist with different bedding angles

3. 不同层理倾角片岩的动态破坏形态

干湿循环次数(n)

破坏形态

30˚

45˚

60˚

90˚

0

5

10

15

2) 当层理倾角为0˚和90˚时,试件表现出较高的动态抗压强度值,并且在破坏后形成的岩石碎片尺寸相对较大。在层理倾角分别为30˚、45˚和60˚的试件中,抗压强度呈现下降趋势,同时伴随较高的破碎程度。随着干湿循环次数的增加,片岩试件的动态抗压强度峰值及其对应的应变峰值出现了向更大应变值方向的偏移现象。总体上,随着环境干湿循环次数的增长,应力–应变曲线呈现出整体向右下方移动的趋势。

3) 随着干湿循环次数的增加,片岩的动态抗压强度逐渐减小,动态抗压强度降低的幅度基本处于先大后小的状态。干湿循环过程对片岩动态抗压强度劣化效应是一种累加的过程。不同层理倾角片岩试件的动态抗压强度随着干湿循环次数的增加而总体呈现下降的趋势,但动态抗压强度随层理倾角变化所呈现的“U”字型变化规律保持不变。

4) 随着干湿循环次数的递增,试件的透射能和吸收能均表现出明显的下降趋势,其中,透射能的衰减幅度相较于吸收能更为突出。片岩的反射能在相同的干湿循环作用下呈现出持续增长的现象。试件吸收能的变化与层理倾角存在一定的相关性,随着层理倾角由小至大变化,试件吸收能在30˚至45˚区间达到峰值,形成一个倒置的“U”型曲线。此外,干湿循环对片岩的物理结构破坏具有累积效应,随着循环次数的增长,岩样破坏程度加剧。特别地,在30˚和45˚层理倾角的试件中,这种破坏现象尤为严重,其破碎程度明显超过0˚及90˚层理倾角的试件,并且后者破碎后形成的碎块相对较大。

7. 讨论

本文对灰岩进行干湿循环实验时将放其入烘箱中以105˚C的温度进行干燥,参考文献[14] [15]指出温度对岩样力学特性有显著影响,岩样抗压强度和弹性模量均随着温度升高逐渐降低,在高于0˚C时,岩石的单轴抗压强度随温度的升高整体上呈现出逐渐下降的趋势,并且在400˚C以后变化明显。由此可知105˚C干燥温度可能对层理片岩造成的热损伤,水致损伤可能会使岩石内部的孔隙和裂纹增多,从而增加热损伤的可能性;而热损伤可能会进一步加剧水致损伤的程度。由此可知本研究结果可能是“水致损伤”与“热损伤”耦合的结果。

参考文献

[1] Kou, B., Zhang, D., Meng, T., Li, Z., Wang, Y., Liu, G., et al. (2022) Micro and Macro Evaluation of Tensile Characteristics of Anisotropic Rock Mass after High Temperatures Treatment—A Case Study of Lingshi Gneiss. Geothermics, 102, Article ID: 102409. [Google Scholar] [CrossRef
[2] Mo, Y., Zuo, S. and Wang, L. (2022) Mechanical Characteristics of Thick-Bedded Limestone with Different Bedding Angles Subjected to Acid Corrosion. Bulletin of Engineering Geology and the Environment, 81, Article No. 166. [Google Scholar] [CrossRef
[3] Shi, X., Zhao, Y., Danesh, N.N., Zhang, X. and Tang, T. (2022) Role of Bedding Plane in the Relationship between Mode-I Fracture Toughness and Tensile Strength of Shale. Bulletin of Engineering Geology and the Environment, 81, Article No. 81. [Google Scholar] [CrossRef
[4] Ramamurthy, T. (1993) Strength and Modulus Responses of Anisotropic Rocks. In: Comprehensive Rock Engineering, Pergamon, 313-329.
[5] Tien, Y.M. and Kuo, M.C. (2001) A Failure Criterion for Transversely Isotropic Rocks. International Journal of Rock Mechanics and Mining Sciences, 38, 399-412. [Google Scholar] [CrossRef
[6] 刘新喜, 李玉, 范子坚, 等. 干湿循环作用下单裂隙炭质页岩能量演化与破坏特征研究[J]. 岩土力学, 2022, 43(7): 1761-1771.
[7] 姚华彦, 张振华, 朱朝辉, 等. 干湿交替对砂岩力学特性影响的试验研究[J]. 岩土力学, 2010, 31(12): 3704-3708+3714.
[8] Vervoort, A., Min, K., Konietzky, H., Cho, J., Debecker, B., Dinh, Q., et al. (2014) Failure of Transversely Isotropic Rock under Brazilian Test Conditions. International Journal of Rock Mechanics and Mining Sciences, 70, 343-352. [Google Scholar] [CrossRef
[9] Cho, J., Kim, H., Jeon, S. and Min, K. (2012) Deformation and Strength Anisotropy of Asan Gneiss, Boryeong Shale, and Yeoncheon Schist. International Journal of Rock Mechanics and Mining Sciences, 50, 158-169. [Google Scholar] [CrossRef
[10] Tavallali, A. and Vervoort, A. (2010) Effect of Layer Orientation on the Failure of Layered Sandstone under Brazilian Test Conditions. International Journal of Rock Mechanics and Mining Sciences, 47, 313-322. [Google Scholar] [CrossRef
[11] Tavallali, A. and Vervoort, A. (2010) Failure of Layered Sandstone under Brazilian Test Conditions: Effect of Micro-Scale Parameters on Macro-Scale Behaviour. Rock Mechanics and Rock Engineering, 43, 641-653. [Google Scholar] [CrossRef
[12] Niandou, H., Shao, J.F., Henry, J.P. and Fourmaintraux, D. (1997) Laboratory Investigation of the Mechanical Behaviour of Tournemire Shale. International Journal of Rock Mechanics and Mining Sciences, 34, 3-16. [Google Scholar] [CrossRef
[13] 傅晏, 刘新荣, 张永兴, 等. 水岩相互作用对砂岩单轴强度的影响研究[J]. 水文地质工程地质, 2009, 36(6): 54-58.
[14] 吕伍杨. 温度对岩石物理力学特性的影响研究[J]. 内蒙古科技与经济, 2018(7): 68+70.
[15] 贾利春, 陈东, 黄兵. 温度对岩石力学特性及井壁稳定性的影响[J]. 钻采工艺, 2017, 40(5): 15-18+2.