控制营养状况评分和预后营养指数对自体造血干细胞移植治疗多发性骨髓瘤患者预后的影响
Effects of Control Nutritional Status and Prognostic Nutritional Index on Prognosis in Patients with Multiple Myeloma Treated by Autologous Hematopoietic Stem Cell Transplantation
摘要: 目的:探讨营养状况(CONUT)评分及预后营养指数(PNI)对行自体造血干细胞移植(ASCT)的多发性骨髓瘤(MM)患者预后的预测价值。方法:回顾性分析2017年1月至2023年12月青岛大学附属医院收治的98例诊断为MM并进行ASCT患者的一般资料、实验室指标、疾病分期等临床资料。根据受试者工作特征(ROC)曲线确定CONUT和PNI的最佳截断值并对患者进行分组,比较不同分组间的临床特征及早期疗效。采用Kaplan-Meier法绘制生存曲线,并对影响总生存(OS)的因素进行Cox回归单因素和多因素分析。结果:CONUT和PNI的最佳截断值分别为2.5和41.46。不同CONUT分组患者间初诊时外周血淋巴细胞差异有统计学意义(P < 0.05)。不同PNI分组的患者间初诊时血清钙离子、预处理前血清钙离子差异有统计学意义(P < 0.05)。不同分组的疗效分析显示,高CONUT组移植后3个月CR率及VGPR率均显著低于低CONUT组(P<0.05),低PNI组移植后3个月VGPR率显著低于高PNI组(P < 0.05)。Kaplan-Meier生存曲线显示,低CONUT组OS和PFS均明显优于高CONUT组(中位OS:21个月vs 20个月,P < 0.001;中位PFS:18个月vs 15个月,P = 0.016),低PNI组的OS较高PNI组明显缩短(中位OS:18个月vs 21个月,P < 0.01)。Cox比例风险回归模型分析显示,高CONUT是影响自体移植MM患者OS的独立危险因素(P < 0.05)。结论:CONUT评分和PNI在评估行ASCT治疗MM患者的预后方面具有一定应用价值;与PNI相比,CONUT评分对患者预后判断价值更大。
Abstract: Objective: To investigate the predictive value of the control nutritional status (CONUT) and prognostic nutritional index (PNI) for prognosis in patients with multiple myeloma treated by autologous hematopoietic stem cell transplantation. Methods: This study is a retrospective analysis of the clinical data of 98 patients diagnosed with Multiple Myeloma (MM) who underwent Autologous Stem Cell Transplantation (ASCT) at the Affiliated Hospital of Qingdao University between January 2017 and December 2023. The collected clinical data included general patient characteristics, laboratory indices, and disease staging. The optimal cutoff values for both CONUT and PNI were determined using Receiver Operating Characteristic (ROC) curve analysis to stratify patients into different groups. The clinical features and early efficacy were compared between these groups. Overall Survival (OS) curves were plotted using the Kaplan-Meier method. Both univariate and multivariate Cox regression analyses were performed to identify the factors influencing OS. Results: The optimal cutoff values for CONUT and PNI were determined to be 2.5 and 41.46, respectively. Statistically significant differences were noted between the CONUT-defined groups regarding peripheral blood lymphocyte count at initial diagnosis (P < 0.05). Furthermore, significant differences were observed between the PNI-defined groups for serum calcium levels at both initial diagnosis and pre-conditioning (P < 0.05). Efficacy analysis across groups revealed that the complete remission (CR) and very good partial response (VGPR) rates at 3 months post-transplantation were significantly lower in the high CONUT group compared to the low CONUT group (P < 0.05). Conversely, the low PNI group showed a significantly lower VGPR rate at 3 months post-transplantation than the high PNI group (P < 0.05). Kaplan-Meier survival analysis demonstrated that the low CONUT group had superior Overall Survival (OS) (median OS: 21 vs. 20 months, P < 0.001) and Progression-Free Survival (PFS) (median PFS: 18 vs. 15 months, P = 0.016) compared to the high CONUT group. The low PNI group exhibited a significantly shorter OS compared to the high PNI group (median OS: 18 vs. 21 months, P < 0.01). Cox regression analysis identified high CONUT score as independent risk factors for OS in ASCT-treated MM patients (P < 0.05). Conclusion: The CONUT score and PNI have certain application value in assessing the prognosis of multiple myeloma patients undergoing autologous stem cell transplantation. Compared with PNI, the CONUT score has greater value in predicting the prognosis of patients.
文章引用:贾宏伟, 张源, 李佳阳, 黄俊霞, 冯献启. 控制营养状况评分和预后营养指数对自体造血干细胞移植治疗多发性骨髓瘤患者预后的影响[J]. 临床医学进展, 2026, 16(2): 373-383. https://doi.org/10.12677/acm.2026.162403

1. 引言

多发性骨髓瘤(MM)是一种血液恶性肿瘤,其特征是骨髓中恶性浆细胞的克隆性增生浸润,分泌单克隆免疫球蛋白,最终引起靶器官损伤[1]。在新药时代下,虽然随着CD38单克隆抗体等新药在临床中逐步应用,MM患者的生存率得到明显提高,但在现有治疗中,三药或四药联合诱导治疗后序贯自体干细胞移植(ASCT)仍是符合移植条件患者治疗的基石[2]。目前对MM患者预后评估主要采用国际分期系统ISS和修订版ISS (R-ISS)等预后系统,其通过在初诊时纳入白蛋白、β2微球蛋白和细胞遗传学以评估患者总体生存率、实现对高危患者的预后分层[3]。对于经过有效的诱导治疗后,行ASCT治疗的部分群体而言,尚无针对性的指标评估移植治疗的预后,寻找新的生物标志物来准确预测患者生存预后,提前制定个体化治疗方案,是改善移植MM患者预后的关键。研究发现,多项营养指标如控制营养状况(CONUT)评分和预后营养指数(PNI)在多发性骨髓瘤患者生存中有一定的预测价值[4] [5]。然而目前该指标在行ASCT治疗的MM患者中研究较少且观点不一,本研究通过回顾性研究分析移植前CONUT和PNI与接受ASCT的MM患者预后情况的关系,探讨其对该部分患者预后的预测价值,以期为未来完善评估系统提供参考和借鉴。

2. 材料和方法

2.1. 病例资料

回顾性分析2017年1月至2024年12月青岛大学附属医院血液科收治的进行自体造血干细胞移植的MM患者98例,纳入标准:① 根据2022年国际骨髓瘤工作组诊断标准诊断为MM [6]。② 病历资料相对完整。③ 移植后生存时间 > 3个月。排除标准:① 合并其他并发的恶性疾病。② 既往接受过化疗、靶向或免疫治疗。③ 合并严重免疫系统疾病。④ 无法配合进行治疗或随访的患者。⑤ 移植失败。本研究经本院伦理委员会批准,所有患者知情同意。

2.2. 观察指标

收集一般人口学特征:包括性别、移植时年龄、移植前体重指数(BMI)等。临床特征:包括初诊时骨髓浆细胞比例、荧光原位杂交(FISH)检测结果、ISS分期、治疗方案、生存时间、首次预处理前1周内的实验室检查结果(包括血常规、血脂、β2微球蛋白、白蛋白水平、LDH、肌酐)等资料。依据以下标准计算移植前营养状况(CONUT)评分和移植前PNI:CONUT评分由患者血清白蛋白水平、外周血淋巴细胞计数和总胆固醇水平计算得出,① 血清白蛋白 ≥ 35 g/L计0分,30~34 g/L计2分,25~29 g/L计4分,<25 g/L计6分;② 淋巴细胞计数 > 1.6 × 109/L计0分,1.2 × 109/L~1.6 × 109/L计1分,0.8 × 109/L~1.1 × 109/L计2分,<0.8 × 109/L计3分;③ 总胆固醇 ≥ 180 mg/dL计0分,140~179 mg/dL计1分,100~139 mg/dL计2分。上述3个指标分数相加得到总分;PNI = 外周血白蛋白(g/L) + [5 × 外周血淋巴细胞计数(×109/L)]。

2.3. 治疗方案

98例患者均进行诱导化疗后自体造血干细胞移植,其中7例患者进行2次造血干细胞移植。98例患者均参照相关指南接受标准化的诱导化疗方案,治疗至少4个周期。主要基于蛋白酶体抑制剂(硼替佐米、卡非佐米、伊莎佐米)和/或免疫调节剂(沙利度胺、来那度胺、泊马度胺),同时联合地塞米松口服,在此基础上联合(17例)或不联合(81例) CD38单克隆抗体治疗。

2.4. 疗效评估

采用IMWG 2016标准,包括完全缓解(CR)、非常好的部分缓解(VGPR)、部分缓解(PR)、疾病稳定(SD)和疾病进展(PD)。

2.5. 随访

采用查阅病历系统和电话的方式进行随访,随访截止时间为2025年6月,中位随访时间为20个月。无进展生存时间(PFS)定义为造血干细胞回输之日起至患者疾病复发、进展、死亡或随访截止时间;总体生存时间(OS)定义为造血干细胞回输之日起至任何原因引起的患者死亡或随访截止时间。

2.6. 统计学分析

采用SPSS 26.0软件进行统计学分析和绘图。采用受试者工作特征(ROC)曲线确定CONUT和PNI的最佳截断值。正态分布的计量资料以均数 ± 标准差表示,组间比较采用t检验;偏态分布的计量资料以中位数(P25, P75)表示,组间比较采用Mann-Whitney U检验;计数资料以构成n (%)表示,组间比较采用χ2检验或Fisher确切检验来评估组间差异。用Kaplan-Meier法绘制生存曲线,组间生存率比较采用log-rank法;采用单因素及多因素Cox比例风险回归模型分析预后的影响因素。P < 0.05为差异有统计学意义。

3. 结果

3.1. 基线资料

本研究纳入的98例患者中,男性44例(44.9%),女性54 例(55.1%);患者移植时中位年龄为58 (53, 62)岁,≥65岁的患者13例(13.2%)。国际分期(ISS)分期I期25例(25.5%),Ⅱ期36例(36.7%),Ⅲ期37例(37.8%)。98例患者未检查FISH 27例,在行FISH检测的71例患者中,FISH检测阴性18例,IGH重排与CKS1B基因扩增检出率最高,为43.7% (31/71),RB-1/LAMP1基因缺失、P53/CEP17基因缺失、CDKN2C基因缺失检出率分别为36.6% (26/71)、7.0% (5/71)、9.9% (7/71)。M蛋白类型:IgG型55例(56.1%),IgA型16例(16.3%),IgD型4例(4.1%),IgM型1例(1.0%),轻链型19例(19.3%),不分泌型3例(3.1%)。

3.2. 不同CONUT和PNI分组患者的临床特征

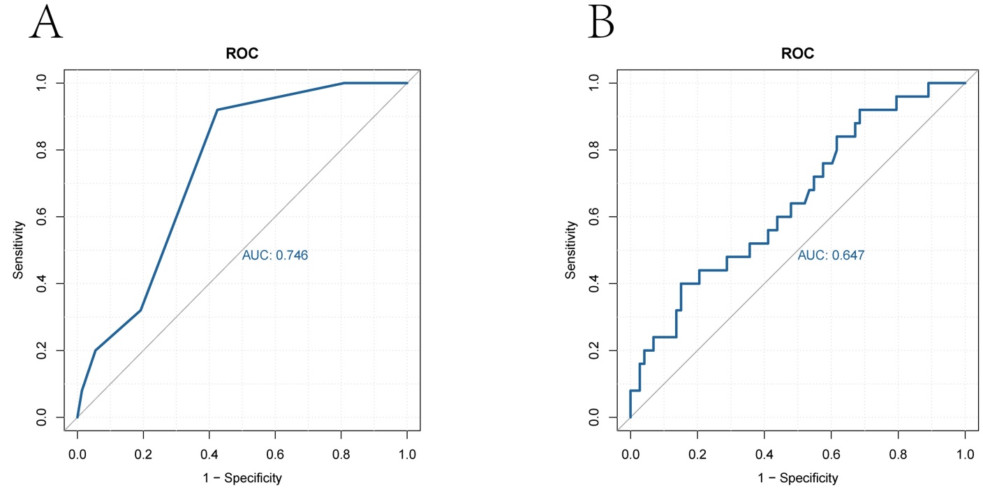
根据约登指数计算,CONUT的最佳截断值为2.5,ROC曲线下面积为0.746 (P < 0.001),敏感度为 92.0%,特异度为57.5% (95% CI: 0.648~0.844);PNI的最佳截断值为41.46,ROC曲线下面积为0.646 (P < 0.05),敏感度为84.9%,特异度为40.0% (95% CI: 0.523~0.770) (见图1)。根据CONUT和PNI的最佳截断值,将患者分为高CONUT组(CONUT ≥ 2.5) 54例和低CONUT组(CONUT < 2.5) 44例;高PNI组(PNI ≥ 41.46) 77例和低PNI组(PNI < 41.46) 21例。

Figure 1. ROC curves of CONUT (A) and PNI (B)

1. CONUT (A)与PNI (B)的ROC曲线

将不同CONUT和PNI分组患者的临床特征进行比较,结果显示,与低CONUT组患者相比,高CONUT组患者在初诊时淋巴细胞计数更低,差异有统计学意义(P < 0.05)。高PNI组患者初诊时血清钙离子水平更低,预处理前血清钙离子水平更高,差异均有统计学意义。另外,不同PNI分组P53/CEP17缺失阳性率比较P > 0.05,由于涉及案例数过少,可能是样本量过少导致偏倚。两种分组在性别、年龄,ISS分期等方面差异无统计学意义(P > 0.05) (见表1表2)。

Table 1. Clinical characteristics of patients with different CONUT scores

1. 不同CONUT评分患者的临床特征

临床特征

Low-CONUT (n = 44)

High-CONUT (n = 54)

t/Z/χ2

P

年龄(岁)

58 (53.5, 61)

57.5 (53, 62)

−0.401

0.689

男性[n (%)]

22 (50.0)

22 (40.7)

0.840

0.417

ISS-III [n (%)]

17 (38.6)

20 (37.0)

0.026

>0.999

联用Dara [n (%)]

11 (25.0)

6 (11.1)

3.262

0.107

FISH

RB-1/LAMP1缺失#

10 (31.3)

16 (41.0)

0.724

0.463

CKS1B扩增#

12 (37.5)

19 (48.7)

0.899

0.471

IGH重排#

12 (37.5)

19 (48.7)

0.899

0.471

P53/CEP17缺失#

3 (9.4)

2 (5.1)

0.482

0.652

CDKN2C缺失#

2 (6.3)

5 (12.8)

0.887

0.446

初诊时

骨髓浆细胞(%)

25.50 (10.50, 47.25)

24.00 (12.25, 36.00)

−0.360

0.719

淋巴细胞(×109/L)

2.06 (1.41, 2.62)

1.62 (1.07, 2.68)

−2.347

0.019

Ca2+ (mmol/L)

2.22 (2.06, 2.38)

2.25 (2.10, 2.50)

−0.708

0.479

β2-MG (mg/L)

3.93 (2.49, 7.45)

4.20 (2.50, 5.99)

−0.019

0.985

预处理前

BMI (kg/m2)

25.70 ± 3.51

25.32 ± 3.06

0.565

0.574

β2-MG (mg/L)

1.71 (1.34, 2.19)

1.64 (1.48, 2.20)

−0.302

0.762

Ca2+ (mmol/L)

2.21 (2.15, 2.31)

2.19 (2.11, 2.16)

−1.439

0.150

LDH (U/L)

183.00 (168.60, 213.90)

180.50 (159.00, 208.00)

−0.668

0.504

CREA (μmol/L)

75.20 (64.50, 93.60)

73.00 (58.00, 93.90)

−0.536

0.592

注:#:数据有缺失;Dara:达雷妥尤单抗;Ca:钙;β2-MG:β2-微球蛋白;BMI:体重指数;LDH:乳酸脱氢酶;CREA:肌酐。

Table 2. Clinical characteristics of patients with different PNI scores

2. 不同PNI评分患者的临床特征

临床特征

Low-PNI (n = 21)

High-PNI (n = 77)

t/Z/χ2

P

年龄(岁)

57 (53, 61)

58 (53, 62)

−0.134

0.893

男性[n (%)]

11 (52.4)

33 (42.9)

0.605

0.467

ISS-III [n (%)]

6 (28.6)

31 (40.3)

0.959

0.448

联用Dara [n (%)]

3 (14.3)

14 (18.2)

0.181

0.670

FISH

RB-1/LAMP1缺失#

8 (61.5)

18 (31.0)

4.109

0.056

CKS1B扩增#

9 (69.2)

22 (37.9)

4.230

0.062

IGH重排#

6 (46.2)

25 (43.1)

0.040

>0.999

P53/CEP17缺失#

3 (23.1)

2 (3.4)

4.727

0.040

CDKN2C缺失#

1 (7.7)

6 (10.3)

0.089

>0.999

初诊时

骨髓浆细胞(%)

28.50 (11.75, 45.50)

24.00 (11.50, 38.00)

−0.219

0.872

淋巴细胞(×109/L)

1.58 (1.33, 2.31)

1.84 (1.23, 2.34)

−0.044

0.965

Ca2+ (mmol/L)

2.30 (2.14, 2.68)

2.22 (2.04, 2.38)

−1.988

0.047

β2-MG (mg/L)

3.91 (2.40~5.02)

4.26 (2.54~7.63)

−1.153

0.249

预处理前

BMI (kg/m2)

26.73 (25.40, 28.34)

25.00 (23.05, 27.73)

−1.883

0.060

β2-MG (mg/L)

1.63 (1.48, 2.05)

1.68 (1.39, 2.22)

−0.030

0.976

Ca2+ (mmol/L)

2.13 (2.06, 2.20)

2.22 (2.15, 2.28)

−2.694

0.007

LDH (U/L)

183.00 (165.00, 219.00)

183.00 (166.00, 210.40)

−0.065

0.948

CREA (μmol/L)

62.00 (53.00, 93.90)

74.90 (64.50, 93.30)

−1.385

0.166

注:#:数据有缺失;Dara:达雷妥尤单抗;Ca:钙;β2-MG:β2-微球蛋白;BMI:体重指数;LDH:乳酸脱氢酶;CREA:肌酐。

3.3. 疗效分析

共有57例(58.1%)患者在移植前达到CR,32例(32.7%)患者在移植前达到VGPR,其余6例(6.1%)及3例(3.1%)患者移植前疗效评估分别为PR、PD。移植后3个月共58例(59.2%)患者达到CR,33例(33.7%)患者达到VGPR,分别有4例(4.1%)及3例(3.1%)患者疗效评估为PR、PD。移植前高CONUT组患者与低CONUT组患者疗效评估 ≥ VGPR占比分别为93.2%、88.9%,高PNI组患者与低PNI组患者疗效评估 ≥ VGPR占比分别为81.0%、93.5%,差异均无统计学意义(P > 0.05)。高CONUT组移植后3个月疗效评估 ≥ VGPR患者占比显著低于低CONUT组(100.0% vs 87.0%, P = 0.016),低PNI组移植后3个月疗效评估 ≥ VGPR患者占比显著低于高PNI组(96.1% vs 81.0%, P = 0.036),差异均具有统计学意义(P < 0.05)。低CONUT组在移植后3个月疗效评估达CR占比中也显著高于高CONUT组(75.0% vs 46.3%, P = 0.007),而PNI分组对移植后3个月疗效评估达CR患者区分效果不显著(P = 0.317) (见表3)。

Table 3. Evaluation of therapeutic efficacy before and after transplantation in CONUT and PNI groups

3. CONUT与PNI分组移植前后疗效评估

疗效评估

CONUT

PNI

Low (n = 44)

High (n = 54)

P

Low (n = 21)

High (n = 77)

P

移植前 ≥ VGPR [n (%)]

41 (93.2)

48 (88.9)

0.509

17 (81.0)

72 (93.5)

0.095

移植后3个月CR [n (%)]

33 (75.0)

25 (46.3)

0.007

10 (47.6)

48 (62.3)

0.317

移植后3个月 ≥ VGPR [n (%)]

44 (100.0)

47 (87.0)

0.016

17 (81.0)

74 (96.1)

0.036

3.4. 生存分析

本研究患者的中位随访时间为20 (11, 46)个月,截止随访时间,共死亡26例,存活71例。采用Kaplan-Meier生存曲线及log-rank检验分析CONUT和PNI对行ASCT治疗MM患者预后的影响,结果显示,低CONUT组的OS和PFS均明显优于高CONUT组(中位OS:21个月vs 20个月,P < 0.001;中位PFS:18个月vs 15个月,P = 0.016) (见图2(A)图2(B))。低PNI组的OS较高PNI组明显缩短(中位OS:18个月vs 21个月,P < 0.01),高PNI组与低PNI组的PFS差异无统计学意义(P = 0.053) (见图2(C)图2(D)

Figure 2. Survival curves of OS (A) and PFS (B) stratified by different CONUT groups; Survival curves of OS (C) and PFS (D) stratified by different PNI groups

2. 不同CONUT分组OS (A)与PFS (B)生存曲线;不同PNI分组OS (C)与PFS (D)生存曲线

3.5. 预后分析

采用Cox单因素回归分析各指标与患者生存预后的关系,结果显示,低PNI、高CONUT、初诊时高血清Ca2+浓度、ISS分期III期、RB-1/LAMP1缺失、CKS1B扩增均是影响移植MM患者OS的因素(P < 0.05)。将单因素分析中有意义的变量纳入Cox多因素回归分析,结果显示,患者高CONUT是影响自体移植MM患者OS的独立危险因素(P < 0.05) (见表4)。

Table 4. Univariate and multivariate analysis of factors affecting OS in MM patients undergoing ASCT

4. 影响行ASCT治疗MM患者OS的单因素及多因素分析

因素

单因素分析

多因素分析

HR (95% CI)

P

HR (95% CI)

P

男性

1.233 (0.560~2.714)

0.602

年龄 > 60岁初诊时

0.697 (0.278~1.749)

0.442

骨髓浆细胞 ≥ 10%

1.737 (0.589~5.120)

0.317

Ca2+ ≥ 2.65 mmol/L

2.784 (1.102~7.034)

0.030

2.409 (0.686~8.458)

0.170

ISS分期-III

2.467 (1.120~5.437)

0.025

1.405 (0.495~3.988)

0.523

FISH

RB-1/LAMP1缺失#

2.541 (1.049~6.156)

0.039

1.985 (0.796~4.953)

0.142

CKS1B扩增#

2.756 (1.082~7.019)

0.034

1.306 (0.435~3.919)

0.634

IGH重排#

0.653 (0.260~1.639)

0.365

P53/CEP17缺失#

3.132 (0.909~10.797)

0.071

CDKN2C缺失#

1.335 (0.305~5.834)

0.701

预处理前

高CONUT

9.321 (2.194~39.602)

0.002

6.937 (1.545~31.152)

0.011

低PNI

2.863 (1.271~6.450)

0.011

2.240 (0.740~6.778)

0.154

β2-MG ≥ 5.5 mg/L

1.169 (0.151~9.041)

0.881

LDH > 250 U/L

2.221 (0.655~7.529)

0.200

疗效评估 < CR

1.863 (0.775~4.478)

0.164

未联用Dara

1.337 (0.647~2.763)

0.434

注:#:数据有缺失。

4. 讨论

多发性骨髓瘤作为不可治愈的恶性血液系统疾病,占全部恶性肿瘤1%~1.8%,约占血液系统恶性肿瘤的10% [7]。与传统化疗手段相比,ASCT能显著提升疾病缓解率并延长患者生存周期,在当前新药时代下,仍是符合移植条件患者的首选治疗方案[8]。研究发现,作为肿瘤微环境的重要组成部分,患者自身免疫与营养状况可作为判断恶性肿瘤预后的重要影响因素[9]。对于接受ASCT的患者而言,移植过程中会发生持续性中性粒细胞减少、黏膜屏障破坏和严重免疫抑制,同时,当患者合并营养不良时易导致免疫功能受损、造血恢复减缓和全身炎症增加[10]-[12]。因此,移植前的炎症营养状况很可能影响免疫恢复及移植后感染风险,进而影响移植患者的生存预后。

本研究单因素回归分析结果显示,低PNI、高CONUT、初诊时高血清Ca2+浓度、ISS分期III期、RB-1/LAMP1缺失、CKS1B扩增均是影响移植MM患者OS的因素,可见血清Ca2+浓度作为DS分期中的指标、RB-1/LAMP1缺失和CKS1B扩增作为R-ISS分期中高危遗传学因素以及ISS分期在移植患者中仍有其预测价值。然而,当前的DS分期、ISS分期及R-ISS分期等预后评估体系主要聚焦于疾病引起的靶器官损伤、高危细胞遗传学等相关异常,无法全面反映炎症营养状况对患者结局的影响,因此,有必要针对移植患者完善新的预后评估系统[13]

CONUT和PNI可反映患者的免疫和营养状况,已被发现在食管癌和肺癌等多种实体恶性肿瘤和包括MM在内的恶性血液肿瘤中具有预后价值[14]-[17]。目前PNI和CONUT对MM患者移植预后的研究较少,此前一项国内的研究验证了高CONUT与移植不良预后的相关性,这与此前多项研究中CONUT对NDMM患者预后的预测是一致的[18] [19]。然而另一项国外研究却观察到这些指标与移植后结局和移植后1年之间无显著关联,相比之下,年龄似乎是更可靠的预测指标[10]。我们推测,研究结论不同可能与不同国家、经济发展地区的人群不同,饮食结构和生活作息差异有关,也可能与两研究随访时间长短、随访终点不同有关。

在本研究队列中,高CONUT组患者的OS及PFS均显著低于高CONUT组,是移植患者OS的独立危险因素,在移植后早期疗效方面也有一定的预测作用。相比之下,低PNI同样是OS的影响因素,在移植后3个月VGPR以上疗效显著高于高PNI组,尽管PNI对PFS区分效果未达到统计学要求,但其趋势仍与OS结果一致,在更深层次缓解的CR率上在统计学上不显著,且在多因素Cox生存分析中,低PNI未显示出预测 OS的独立性,这提示与CONUT相比,PNI在早期疗效及预后预测方面存在局限性。

CONUT和PNI预测MM预后的机制尚不明确,可以通过其结合与营养和炎症相关的标志物来解释。两指标均纳入了白蛋白和淋巴细胞计数。其中,白蛋白是营养状况的客观指标,受多发性骨髓瘤微环境中IL-6等炎症性细胞因子和体液体积变化的影响[20]。作为MM患者ISS分期系统中的重要组成部分,白蛋白在MM患者预后中的地位已得到广泛认可。低白蛋白表明机体慢性炎症激活和营养状况低下,其提示不良预后可能与产生促炎细胞因子和损害细胞免疫功能有关[21]。同时,淋巴细胞对肿瘤免疫监测有重要作用,可通过导致细胞毒性死亡和释放抑制肿瘤的细胞因子,限制癌症的生长和扩散,是细胞免疫的中坚力量[22]。高淋巴细胞水平或许能促进移植后免疫重建,一项前瞻性分析结果显示,在接受ASCT治疗的多发性骨髓瘤患者中,ASCT后良好的免疫重建和高淋巴细胞恢复是MRD阴性的独立预测因子[23]。CONUT与PNI的主要不同在于是否有胆固醇评估的参与。胆固醇是细胞膜的主要组成部分,提供膜的稳定性和流动性,对脂质筏的形成至关重要。低胆固醇影响着免疫活性细胞的抗癌能力,还可能通过促进癌细胞增殖、侵袭和迁移,在癌症进展中发挥重要作用[24]。MM患者的血清胆固醇水平显著低于健康个体,低胆固醇水平与MM发病风险增加相关[25]。这或许是CONUT较PNI更能良好预测移植患者预后的主要原因。

综上,我们的研究补充了PNI在评估移植MM患者预后研究中的空白,肯定了CONUT对移植预后的意义。CONUT和PNI评分作为简单经济的指标在评估行自体造血干细胞移植MM患者的预后方面具有一定预测意义,高CONUT与低PNI提示预后不良,与PNI相比,CONUT评分对患者预后判断价值更大。本研究存在若干局限性。作为一项单中心、回顾性的研究设计,纳入的研究对象可能存在偏倚,这限制了研究结果的普遍性;本研究仅评估了移植前CONUT和PNI,未纳入其动态变化分析,未能探讨营养干预对患者预后的影响;此外,本研究中CONUT在多因素分析中的95%置信区间较宽,这可能与本研究的总样本量相对较小、随访时间较短、达到死亡终点病例数较少有关,因此,尽管结果提示其具有独立预测价值,也应对其效应强度保持审慎,未来仍需要扩大样本量、动态监测、继续随访进一步证实CONUT和PNI的临床价值。

作者贡献声明

贾宏伟:实验设计、文章撰写、数据统计分析、作图;张源、李佳阳、黄俊霞:数据整理;冯献启:研究指导、论文审阅、经费支持。

NOTES

*通讯作者。

参考文献

[1] Rajkumar, S.V. and Kumar, S. (2016) Multiple Myeloma: Diagnosis and Treatment. Mayo Clinic Proceedings, 91, 101-119. [Google Scholar] [CrossRef] [PubMed]
[2] Perrot, A. (2022) How I Treat Frontline Transplantation-Eligible Multiple Myeloma. Blood, 139, 2882-2888. [Google Scholar] [CrossRef] [PubMed]
[3] Greipp, P.R., Miguel, J.S., Durie, B.G.M., Crowley, J.J., Barlogie, B., Bladé, J., et al. (2005) International Staging System for Multiple Myeloma. Journal of Clinical Oncology, 23, 3412-3420. [Google Scholar] [CrossRef] [PubMed]
[4] Li, Y. (2024) Prognostic Value of the Controlling Nutritional Status Score in Patients with Newly Diagnosed Multiple Myeloma. American Journal of Translational Research, 16, 4788-4795. [Google Scholar] [CrossRef] [PubMed]
[5] 李青芬, 张启科, 魏小芳, 冯友繁, 伏媛, 赵阳阳, 黄秀娟. 不同营养评分系统对老年多发性骨髓瘤患者预后的影响[J]. 中国实验血液学杂志, 2024, 32(2): 499-504.
[6] (2022) Guidelines for the Diagnosis and Management of Multiple Myeloma in China (2022 Revision). Chinese Journal of Internal Medicine, 61, 480-487.
[7] Ozaki, S., Handa, H., Saitoh, T., Murakami, H., Itagaki, M., Asaoku, H., et al. (2019) Evaluation of the Revised International Staging System (R-ISS) in Japanese Patients with Multiple Myeloma. Annals of Hematology, 98, 1703-1711. [Google Scholar] [CrossRef] [PubMed]
[8] Pasvolsky, O., Marcoux, C., Dai, J., Milton, D.R., Tanner, M.R., Syed, N., et al. (2024) Trends in Outcomes after Upfront Autologous Transplant for Multiple Myeloma over Three Decades. Transplantation and Cellular Therapy, 30, 772.e1-772.e11. [Google Scholar] [CrossRef] [PubMed]
[9] 黄紫晴, 李艳慧, 吕斌, 顾雪娇, 田明溪, 李新怡, 张炎, 李晓倩, 王莹, 朱锋. 预后营养指数和全身炎性反应指数对外周T细胞淋巴瘤患者近期疗效及预后的影响[J]. 中国实验血液学杂志, 2025, 33(5): 1350-1357.
[10] Duvenci Birben, O., Yenibertiz, D., Akkurt, E.S., Darcın, T., Kes, Y.D. and Dal, M.S. (2025) Evaluating Pre-Transplant Nutritional Indices as Predictors of Pneumonia and Mortality in Multiple Myeloma Patients Post-Autologous Stem Cell Transplantation. BMC Pulmonary Medicine, 25, Article No. 517. [Google Scholar] [CrossRef
[11] Morello, E., Guarinoni, M.G., Arena, F., Andreoli, M., Bernardi, S., Malagola, M., et al. (2021) A Systematic Review of the Literature and Perspectives on the Role of Biomarkers in the Management of Malnutrition after Allogeneic Hematopoietic Stem Cell Transplantation. Frontiers in Immunology, 11, Article ID: 535890. [Google Scholar] [CrossRef] [PubMed]
[12] Brotelle, T., Lemal, R., Cabrespine, A., Combal, C., Hermet, E., Ravinet, A., et al. (2018) Prevalence of Malnutrition in Adult Patients Previously Treated with Allogeneic Hematopoietic Stem-Cell Transplantation. Clinical Nutrition, 37, 739-745. [Google Scholar] [CrossRef] [PubMed]
[13] Sonneveld, P., Avet-Loiseau, H., Lonial, S., Usmani, S., Siegel, D., Anderson, K.C., et al. (2016) Treatment of Multiple Myeloma with High-Risk Cytogenetics: A Consensus of the International Myeloma Working Group. Blood, 127, 2955-2962. [Google Scholar] [CrossRef] [PubMed]
[14] Liu, X., Zhang, X., Zhang, Q., Xie, H., Ruan, G., Liu, T., et al. (2022) Value of the Controlling Nutritional Status Score in Predicting the Prognosis of Patients with Lung Cancer: A Multicenter, Retrospective Study. Journal of Parenteral and Enteral Nutrition, 46, 1343-1352. [Google Scholar] [CrossRef] [PubMed]
[15] Toyokawa, T., Kubo, N., Tamura, T., Sakurai, K., Amano, R., Tanaka, H., et al. (2016) The Pretreatment Controlling Nutritional Status (CONUT) Score Is an Independent Prognostic Factor in Patients with Resectable Thoracic Esophageal Squamous Cell Carcinoma: Results from a Retrospective Study. BMC Cancer, 16, Article No. 722. [Google Scholar] [CrossRef] [PubMed]
[16] Matsukawa, T., Suto, K., Kanaya, M., Izumiyama, K., Minauchi, K., Yoshida, S., et al. (2020) Validation and Comparison of Prognostic Values of GNRI, PNI, and CONUT in Newly Diagnosed Diffuse Large B Cell Lymphoma. Annals of Hematology, 99, 2859-2868. [Google Scholar] [CrossRef] [PubMed]
[17] Zhang, Y., Chen, Q., Lu, C. and Yu, L. (2022) Prognostic Role of Controlling Nutritional Status Score in Hematological Malignancies. Hematology, 27, 653-658. [Google Scholar] [CrossRef] [PubMed]
[18] 熊艺颖, 周琴, 陈琳, 余伟, 张红宾, 陈建斌. 移植前控制营养状况和移植后微小残留病灶对多发性骨髓瘤患者自体造血干细胞移植预后的影响[J]. 中国实验血液学杂志, 2024, 32(1): 146-154.
[19] Liang, F., Dong, X.Y., Tang, G.F., Qi, K.M., Chen, W., Sang, W., Sun, H.Y., Cao, J., et al. (2021) Influence of Prognostic Nutritional Index and Controlling Nutritional Status on the Prognosis of Patients with Multiple Myeloma. Chinese Journal of Hematology, 42, 332-337.
[20] Zeeshan, F., Madheswaran, T., Panneerselvam, J., Taliyan, R. and Kesharwani, P. (2021) Human Serum Albumin as Multifunctional Nanocarrier for Cancer Therapy. Journal of Pharmaceutical Sciences, 110, 3111-3117. [Google Scholar] [CrossRef] [PubMed]
[21] Pang, H., Dai, F., Chen, L., Yan, M., Zhao, Z. and Sun, H. (2025) Prognostic Value of the Pretreatment Naples Prognostic Score in Gastrointestinal Cancer Patients: An Updated Meta-Analysis with 28 Studies. Systematic Reviews, 14, Article No. 191. [Google Scholar] [CrossRef
[22] Fan, Z. and Zhang, Q. (2005) Molecular Mechanisms of Lymphocyte-Mediated Cytotoxicity. Cellular & Molecular Immunology, 2, 259-264.
[23] Keruakous, A.R., Asch, A., Aljumaily, R., Zhao, D. and Yuen, C. (2022) Prognostic Impact of Natural Killer Cell Recovery on Minimal Residual Disease after Autologous Stem Cell Transplantation in Multiple Myeloma. Transplant Immunology, 71, Article 101544. [Google Scholar] [CrossRef] [PubMed]
[24] Habib, A., Best, O.G., Toomes, C.E. and Wallington-Gates, C.T. (2025) The Instrumental Role of Lipids in Governing the Sensitivity of Multiple Myeloma to Ferroptosis. Discover Oncology, 16, Article No. 1612. [Google Scholar] [CrossRef] [PubMed]
[25] Choi, T., Choi, I.Y., Han, K., Jeong, S., Yoo, J.E., Rhee, S.Y., et al. (2021) Lipid Level, Lipid Variability, and Risk of Multiple Myeloma: A Nationwide Population-Based Study of 3,527,776 Subjects. Cancers, 13, Article 540. [Google Scholar] [CrossRef] [PubMed]