数字经济政策对企业供应链韧性的影响研究——基于国家数字经济创新发展试验区的准自然实验
Study on the Impact of Digital Economy Policies on Corporate Supply Chain Resilience—A Quasi-Natural Experiment Based on National Digital Economy Innovation and Development Pilot Zones
摘要: 国家数字经济创新发展试验区作为中国深化数字经济发展与实体经济融合的关键政策举措,其微观经济效应日益受到学术界与政策界的关注。本文基于2014~2023年中国沪深A股上市公司的面板数据,以国家数字经济创新发展试验区设立为准自然实验,采用双重差分法实证检验了数字经济试验区政策对企业供应链韧性的影响及其机制。研究发现,数字经济试验区政策显著提升了企业供应链韧性。试验区的设立通过提升数字普惠金融水平、提高地区要素创新质量和提升市场集中度促进企业供应链韧性水平的提升。异质性分析表明,政策效果在沿海地区企业、非国有企业及低数字化水平企业中更为显著。本研究为理解数字经济政策对企业供应链韧性的促进作用提供了新证据,也为各地区借助数字经济试验区激发数据要素和培育数字经济动能提供了参考。
Abstract: As a key policy initiative for deepening the integration of China’s digital economy with the real economy, the National Digital Economy Innovation and Development Pilot Zones have drawn increasing attention from academia and policymakers for their microeconomic impacts. This study employs panel data from Chinese A-share listed companies on the Shanghai and Shenzhen stock exchanges between 2014 and 2023. Using the establishment of these pilot zones as a natural experiment, it applies a difference-in-differences approach to empirically examine the effects of the pilot zone policy on corporate supply chain resilience and its underlying mechanisms. The findings reveal that the policy significantly enhances corporate supply chain resilience. The establishment of these zones promotes supply chain resilience by elevating digital inclusive finance, improving the quality of regional factor innovation, and increasing market concentration. Heterogeneity analysis indicates that the policy effect is more pronounced among coastal enterprises, non-state-owned enterprises, and firms with low digitalization levels. This study provides new evidence for understanding how digital economy policies promote corporate supply chain resilience. It also offers insights for regions seeking to leverage digital economy pilot zones to activate data resources and cultivate momentum for the digital economy.
文章引用:俞羿菲. 数字经济政策对企业供应链韧性的影响研究——基于国家数字经济创新发展试验区的准自然实验[J]. 电子商务评论, 2026, 15(1): 919-933. https://doi.org/10.12677/ecl.2026.151112

1. 引言

在全球数字经济浪潮与供应链重构双重背景下,提升产业链供应链韧性与安全水平成为中国推动经济高质量发展的核心议题。《中共中央关于制定国民经济和社会发展第十五个五年规划的建议》将保障重要产业链供应链安全置于夯实国家安全基础的关键位置,凸显其重要性与现实紧迫性。然而,当前我国产业链供应链韧性建设仍面临诸多挑战。一方面,供应链体系存在“大而不强”的问题,关键环节的自主可控能力有待提升,产业链协同效率亟待加强[1];另一方面,数字化基础不均衡,中小企业转型困难,面临“不愿转、不敢转、不会转”的困境[2]。因此,如何通过政策引导提升产业链供应链韧性,成为当前经济发展的重要课题。

与此同时,近年我国出台了一系列推动数字经济发展的重大政策举措。作为落实数字中国战略的重要部署,国家数字经济创新发展试验区(以下简称“数字经济试验区”)自2019年起在浙江、福建、广东等省份先行先试。政府通过鼓励各试点在数据要素市场化配置、数字技术创新应用、产业数字化转型等领域的探索实践,逐步构建了以“数据驱动、创新引领、产业赋能”三位一体的制度框架。毫无疑问,建设数字经济创新发展试验区,通过优化数字基础设施和完善要素流通机制等途径,为提升供应链韧性创造了有利条件。然而,对试验区政策效果的精准评估仍面临挑战。在此背景下,一个值得深入探讨的问题是:数字经济试验区的设立对企业供应链韧性的提升效应究竟有多大?又以何种渠道发挥作用?对这些问题的解答,有助于理解数字经济政策的微观传导机制,为优化试验区政策设计提供重要启示。

学界有关供应链韧性的学术研究已积累了丰富成果。一方面是有关供应链韧性内涵界定的研究。供应链韧性最初是作为应对运营中断风险的概念被提出的。早期研究将供应链韧性界定为供应链在受到干扰后恢复到原有状态或更优水平的能力(PONOMAROV S Y等,2009) [3]。随着认识深化,学界普遍认为韧性应包含三个关键维度:稳健性,即抵御和吸收冲击的能力;可恢复性,反映从中断中恢复的速度与程度;适应性,即通过学习与重组实现更高水平运营的能力(TUKAMUHABWA B R等,2015;李维安等,2022) [4] [5]。另有观点认为供应链韧性是指遭受不利的外部冲击时,供应链能够维持自身链条稳定,同时动态调整网络结构和运作模式,以有序恢复到受冲击前的状态,并进一步发展演化,实现链条升级的能力(姚正海等,2025) [6]。另一方面是研究提升企业供应链韧性的驱动因素。一是外部冲击与政策环境视角。宋勇超等[7]的研究证实,公共数据开放能通过扩大企业数据要素利用规模、提升其风险承担能力有效增强供应链韧性。另有学者聚焦于跨境电商政策,发现其能通过赋能企业数字化转型和促进供应链协同,显著推动供应链配置多元化,从而系统性提升韧性(徐乾宇,2025;王煜昊等,2024) [8] [9]。二是企业战略与内部治理视角,研究关注企业自身的战略聚焦与治理水平对供应链韧性的决定性作用。杨兴全等[10]针对国有企业的研究发现,聚焦主责主业的战略收缩能通过降低信息不对称、强化风险承担能力与提升核心技术创新水平,显著增强供应链韧性。陶锋等[11]研究发现,下游企业的数字化转型能通过优化供需匹配、稳定供需关系与提高供应商创新能力来增强产业链供应链韧性。张树山等[12]同样证实,企业自身的数字化转型可直接提升供应链韧性,特别是供应链恢复力,其核心机制在于推动供应链多元化配置和优化供需匹配。另有学者发现,优秀的ESG表现可以通过提升信息透明度、维护社会声誉、缓解融资约束三条渠道促进产业链供应链韧性(韩一鸣等,2025) [13]

数字经济试验区设立对于宏观区域发展、企业微观行为、创新与政策协同有着重要作用。一方面是与宏观区域发展相关的研究:刘思琦等(2025)的研究表明,试验区设立显著提升了城市经济韧性,其通过推动数字技术创新、促进产业结构升级和吸引高级人才集聚等机制实现,且政策效果在高数字化水平城市更为显著[14]。李佳慧等(2025)发现试验区对城市经济高质量发展有促进作用,其机制包括优化要素配置和完善数字基础设施等[15]。另一方面是与企业微观行为有关的研究:郭丰等(2025)的研究系统论证了试验区政策通过研发人员投入和资金投入两条渠道显著促进了制造业企业数字技术创新[16]。任仕佳等(2025)则从民营企业视角切入,证实试验区通过提升人力资本、增加研发投入和加速数据赋能三条路径有效提升民营企业新质生产力[17]。在创新结构与政策协同方面,金环等(2025)观察到试验区虽然降低了实用新型专利数量,但对发明专利影响不显著,反映了创新结构的提质升级[18];宋潞平等(2024)从区域创新视角出发,强调数字经济通过产业结构优化和融资约束缓解促进区域创新产出[19];曾皓(2023)则从企业数字化转型角度补充了重要证据,证实区位导向性政策通过财政支持和研发创新效应促进企业数字化转型[20]

在梳理关于国家数字经济创新发展试验区与企业供应链韧性的相关文献后,本文发现,尽管已有研究分别对试验区的政策效应以及供应链韧性的驱动因素进行了有益探索,但将二者有机结合、系统检验政策对韧性影响的文献仍较为匮乏。一方面,现有关于试验区的研究多聚焦于其宏观经济增长、区域创新及产业升级效应,或集中于对企业数字化转型、生产效率等单一维度的影响,而较少深入考察该政策如何影响企业供应链韧性这一综合性的抗风险与恢复能力。另一方面,现有研究在探讨供应链韧性影响因素时存在局限。多数文献缺乏针对政策干预与供应链韧性之间因果关系的识别。此外,现有文献较少研究数字经济政策如何通过具体路径影响企业供应链韧性。

鉴于此,本文将数字经济试验区设立视为一项准自然实验,采用政策评估的方法,利用双重差分模型(DID),在“着力提升产业链供应链韧性”的战略导向下,实证检验该政策对企业供应链韧性的影响、作用机制与异质性特征。本文的边际贡献主要体现在:第一,在研究视角上,本文将数字经济试验区这一重要政策与企业供应链韧性相结合,弥补了现有文献多关注政策宏观效应或供应链单一维度的不足,为理解数字经济政策的微观影响提供了新的经验证据。第二,在机制分析上,本文从数字普惠金融、地区要素创新质量和市场集中度三通道入手,通过实证检验明确了政策发挥作用的具体路径。第三,在研究方法上,本文采用双重差分法,以试验区设立作为准自然实验,较好地克服了内生性问题。同时通过丰富的稳健性检验,确保了研究结论的可靠性。第四,在实践价值上,本文的异质性分析揭示了政策效果在不同地区、不同性质企业中的差异化表现,为后续政策的精准实施提供了参考。特别是发现政策对低数字化水平企业作用更显著,为数字化补短板提供了方向性启示。

2. 制度背景与理论假说

2.1. 制度背景

国家发展改革委、中央网信办于2019年10月在第六届世界互联网大会期间联合启动首批国家数字经济创新发展试验区,覆盖河北省(雄安新区)、浙江省、福建省、广东省、重庆市、四川省等六个省市。该政策以《国家数字经济创新发展试验区实施方案》(以下简称“《方案》”)为纲领,鼓励各数字经济试验区在数字经济要素流通机制、新型生产关系、要素资源配置、产业集聚发展模式等方面开展大胆探索,充分释放新动能。数字经济试验区结合本地资源优势制定了差异化实施方案:福建省围绕数字丝路、智慧海洋、卫星应用等方面组织开展区域特色实验。重庆有力推进数字经济发展,建设“智造重镇”“智慧名城”。浙江省实施数字化生产关系构建工程,以完善要素配置体制机制和强化数据要素应用。《方案》中进一步明确,通过探索,力争在试验区构建形成与数字经济发展相适应的政策体系和制度环境,数字产业化和产业数字化取得显著成效,培育一批数字经济龙头企业,突破一批关键核心技术,数字经济规模不断增长,产业数字化渗透率不断深化,区域数字经济国际化水平不断提高。2025年10月,国家数据局进一步批复天津、上海、江苏等七省市加入试验区建设,推出158项改革举措,重点在数据要素市场化配置、科技创新与产业创新深度融合等领域开展探索。

随着数字经济试验区建设的深入推进,各试点地区也相继出台配套政策,将提升产业链供应链韧性明确列为重点任务。广东省在《关于印发广东省国家数字经济创新发展试验区建设方案》中强调提升产业链供应链韧性安全。而福建省在《关于印发国家数字经济创新发展试验区(福建)工作方案的通知》中明确提出实施电子信息及数字产业保产业链供应链稳定行动以推动数字经济集聚发展,推动传统产业供应链数字化重构以加快推进智能制造。由此可见,数字经济试验区与供应链发展是互相促进的,通过政策支持和供应链协同发展,可以提升地区创新质量与发展水平。

2.2. 研究假说

首先,从资源基础视角来看,数字经济试验区的设立为企业提升供应链韧性提供了全方位的支持体系。郭丰等(2025)的研究表明,试验区通过三位一体的支持措施为企业数字化转型提供了坚实基础:政策制度支持为企业创造了良好的制度环境,财政金融支持通过税收优惠和专项基金缓解了资金压力,人才要素支持则为供应链数字化提供了智力保障。这些措施有效解决了企业在供应链数字化转型过程中面临的“不会转”的困境[16]。与此同时,金环等(2025)从信号理论角度指出,试验区作为重要的区位导向性政策,向市场传递了明确的政策导向,这种信号效应显著增强了企业进行供应链数字化投入的信心[18]。曾皓(2023)发现试验区通过完善数字基础设施,大幅降低了企业供应链数字化转型的边际成本,使得更多企业有能力开展供应链数字化改造[20]。基于以上分析,本文提出:

H1:国家数字经济创新发展试验区的设立能够显著提升企业供应链韧性水平。

进一步地,本文从多重机制角度深入探讨试验区政策影响供应链韧性的传导路径。一方面,数字普惠金融的发展通过改善企业融资环境发挥关键作用。宋潞平等[19]的研究显示,试验区通过构建多层次数字金融服务体系,有效缓解了企业的融资约束。具体而言,数字支付平台的普及和供应链金融产品的创新,使企业能够更便捷地获得运营资金,为供应链稳定性提供资金保障。韦东明等的实证研究进一步证实,以数字金融平台为代表的数字经济提升了金融服务的普惠性,提高了企业投资与经营的可持续性[21]

另一方面,李佳慧等[15]从能力提升角度指出,试验区通过完善数字基础设施和建立数据要素流通机制,显著提升了区域创新能力。其一,试验区加快完善高水平新型数字基础设施,为企业供应链技术创新提供硬件支撑。其二,通过制定数据资源开发和交易制度,建立数据要素市场,形成高效的数据要素流通体系。这些措施促进了人工智能、区块链等新兴技术在供应链管理中的创新应用,显著增强了供应链的抗风险能力和恢复能力。

此外,YAN H.S.等[22]发现头部企业为维持市场优势,有动力主导构建更高效、抗冲击的供应链网络,并推动上下游协同创新,从而增强全链条的韧性。白俊等[23]指出试验区促进市场信息共享,在集中度较高的市场中更易由核心企业牵头实现,方便对全链条需求进行系统分析,提升合作与响应效率。与此同时,市场竞争带来的淘汰压力与异质性知识整合需求,促使企业间加强合作创新以生存发展(王靖宇等,2023;陈钰芬等,2023) [24] [25]。在市场集中度较高的格局下,这种合作更可能在由核心企业协调的生态内深化,通过技术、标准与知识的整合,系统性地提升供应链的灵活性与恢复力。基于上述分析,本文提出:

H2:国家数字经济创新发展试验区通过提升数字普惠金融水平、提高地区要素创新质量和提升市场集中度促进企业供应链韧性水平的提升。

3. 研究设计

3.1. 数据来源

本文选择2014~2023年中国沪深A股上市公司作为研究对象,并对初始数据进行如下处理:(1) 剔除金融行业样本企业;(2) 剔除上市未满一年的样本企业;(3) 剔除ST、*ST或PT的样本企业;(4) 剔除主要变量存在缺失的样本;(5) 少量的缺失值采用线性插值法和查询各省份统计年报进行补齐;(6) 对连续变量原始数据进行上下1%的(双边)缩尾。最终所得样本数据包含4466家上市企业,共30,677个观测值。上市公司相关数据主要来自CSMAR数据库及企业年度财务报告。

3.2. 变量定义

3.2.1. 被解释变量

供应链韧性(RES)。供应链韧性的内涵为供应链遭受不利外部冲击时能够维持自身稳定,同时调整运行方式以恢复至受冲击前的形态,并进一步发展的能力。本文参考姚正海等[6]的做法,从预测能力、抵抗能力、恢复能力、人力资本与政府支持五个维度构建综合指标体系。各指标经标准化处理后,利用熵权法计算综合得分,分值越高表明供应链韧性越强。

3.2.2. 核心解释变量

核心解释变量为数字经济试验区设立( DID ijt ),是分组虚拟变量( Treat ij )和时间虚拟变量( Post t )的交互项。其中,分组变量为企业i所在的城市j是否属于数字经济试验区的虚拟变量,依据企业注册地是否位于数字经济试验区所在城市赋值,若属于浙江省、福建省、广东省、重庆市、四川省(雄安新区因数据缺失予以剔除)则取1,否则为0;时间虚拟变量以政策实施年份2020年(试验区于2019年10月启动建设,本文选择2020年作为政策实施年份)为界,之后年度取1,之前取0。

3.2.3. 控制变量

本文参考金环等[18]、LIU等[26]、黄勃等[27]和罗佳等[28]的研究思路,引入企业层面与城市层面两类控制变量。

1) 企业层面控制变量

企业上市年龄(Age,样本年份与企业上市年份之差)、资产负债率(Lev,总负债与资产总额之比)、资产收益率(Roa,净利润与资产总额之比)、现金流状况(Cfo,经营活动产生的现金流净额与资产总额之比)、股权集中度(Top10,前十大股东持股比例集中度)、董事会规模(Board,董事会成员数量)和董事独立性(Indboard,公司独立董事数量与董事规模之比)。

2) 城市层面控制变量

经济发展水平(lnCGDP,企业所在城市人均GDP的自然对数)、产业结构(IS,第三产业增加值占第一产业增加值与第二产业增加值之和的比值)、城市规模(lnCS,行政区域土地面积平方公里的自然对数)和政府干预程度(Gi,地方财政一般预算内支出万元占GDP的比重)。

对上述连续变量进行了上下1%的缩尾处理,主要变量的描述性统计如表1所示,变量结果与现有文献相似,不再赘述。

Table 1. Results of descriptive statistics for the main variables

1. 主要变量描述性统计结果

Variable

N

Mean

SD

Min

Max

RES

30,677

1.080

0.846

0.018

26.500

DID

30,677

0.179

0.383

0.000

1.000

Lev

30,677

0.420

0.199

0.061

0.893

Roa

30,677

0.033

0.065

−0.267

0.196

Cfo

30,677

0.049

0.067

−0.150

0.244

Top10

30,677

0.420

0.190

0.131

0.898

Board

30,677

8.359

1.601

5.000

14.000

Indboard

30,677

0.379

0.054

0.333

0.571

lnCGDP

30,677

11.587

0.464

10.300

12.200

IS

30,677

1.671

1.139

0.468

5.600

lnCs

30,677

9.053

0.778

7.090

12.200

Gi

30,677

0.156

0.053

0.079

0.365

Dig

30,677

1.669

1.437

0.000

6.310

Iap

30,677

331.964

77.287

144.000

461.000

Inv

30,677

0.195

0.116

0.006

0.976

HHI

30,677

0.190

0.167

0.041

1.000

3.3. 模型设定

为有效识别数字经济试验区与企业供应链韧性的因果效应,本文将数字经济试验区的设立作为外生冲击,构建如下双重差分模型:

RES ijt =α+ β 1 DID ijt + X it + Z jt + μ i + δ t + ε ijt (1)

其中下标ijt分别表示企业、城市和年份。式中, RES ijt 为企业it年的企业供应链韧性: DID ijt 为数字经济试验区政策,表示企业i所在的城市j在第t年是否位于数字经济试验区; X it 表示影响企业供应链韧性水平的企业层面随时间变化的控制变量。 Z jt 表示城市层面可能影响企业供应链韧性的控制变量。 μ i 为企业固定效应,用来控制企业层面不随时间变化的特征。 δ t 为年份固定效应,用来控制全国层面随年份变化的特征。 ε ijt 为随机扰动项。 β 1 是本文关心的核心系数。

4. 实证分析

4.1. 基准回归

Table 2. Benchmark regression results

2. 基准回归结果

(1)

(2)

(3)

DID

0.024***

0.023**

0.023**

(0.009)

(0.009)

(0.009)

Lev

0.105***

0.101***

(0.025)

(0.025)

Roa

0.388***

0.378***

(0.047)

(0.047)

Cfo

0.003

0.003

(0.042)

(0.042)

Top10

−0.198***

−0.198***

(0.027)

(0.027)

Board

0.016***

0.016***

(0.003)

(0.003)

Indboard

0.060

0.060

(0.082)

(0.082)

lnCGDP

0.057**

(0.025)

IS

−0.035***

(0.010)

lnCs

0.036

(0.026)

Gi

0.373***

(0.139)

_cons

1.077***

0.949***

−0.038

(0.003)

(0.055)

(0.401)

年份固定效应

YES

YES

YES

企业固定效应

YES

YES

YES

adj_R2

0.844

0.845

0.845

N

30,677

30,677

30,677

注:括号内为标准误;******分别表示在1%、5%、10%的水平上显著。以下各表同。

表2展示了数字经济试验区设立对企业供应链韧性影响的基准回归结果。第(1)列仅加入企业和年份固定效应,第(2)列在此基础上进一步控制企业层面的控制变量,第(3)列进一步加入城市层面的控制变量。可以看出,未考虑控制变量时,数字经济试验区设立对企业供应链韧性具有显著正向影响。加入不同层面的控制变量后,数字经济试验区设立的系数仍然在5%的水平上显著为正,说明数字经济试验区的设立能够显著提升企业供应链韧性水平,本文H1得以验证。

4.2. 稳健性检验

4.2.1. 平行趋势检验

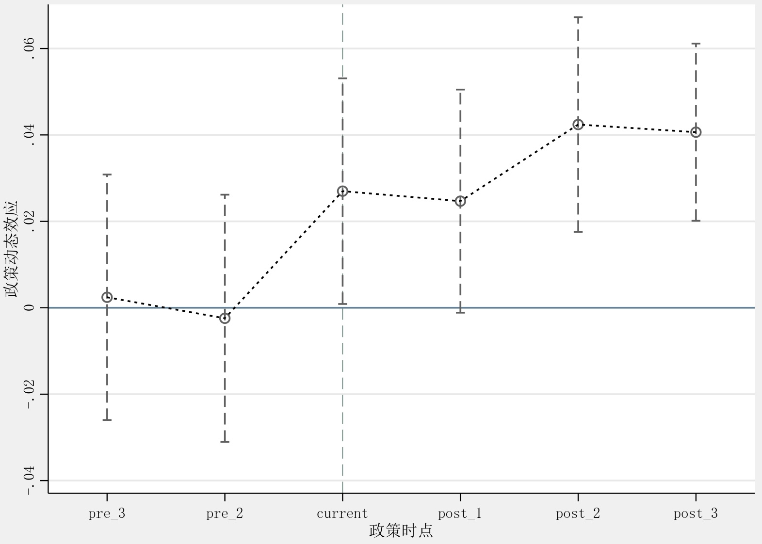
双重差分模型的有效性依赖于平行趋势假设,即处理组与对照组在政策冲击前需具备相同的变化趋势。为验证该条件是否成立,本文参考刘思琦等[14]的研究,采用事件研究法进行检验。具体而言,我们构建了一系列时间虚拟变量,并将其分别与处理组虚拟变量交乘,生成交互项纳入回归模型。为避免多重共线性问题,设定政策实施前一期为基准期并将其予以排除。图1展示了各期交互项系数的估计结果及其置信区间,其中横轴表示相对于政策实施时点的年份。结果显示,在政策实施之前,各交互项的估计系数均未通过显著性检验,说明处理组与对照组在政策冲击前不存在系统性差异,满足平行趋势假设。而在政策实施之后,交互项系数显著为正,表明试验区政策对企业供应链韧性产生了持续的促进作用,为双重差分模型的适用性提供了支持。

Figure 1. Parallel trend test

1. 平行趋势检验

4.2.2. 安慰剂检验

为进一步排除数字经济试验区设立之外其他未被观测和不可观测随机因素对企业供应链韧性的影响,本文参考杨亚平等[29]的做法,采用随机抽样构建“伪政策虚拟变量”的方法进行安慰剂检验。将上述过程重复5000次,得到了5000个虚假数字经济试验区设立对企业供应链韧性影响的估计系数,并绘制对应的P值与核密度分布。由图2可知,新的估计系数基本以零点为中心呈正态分布,表明随机抽取结果与实际回归结果间差异明显,绝大多数回归结果不显著,符合安慰剂检验的预期。基准回归模型的估计结果位于整个分布之外,说明本研究依托双重差分进行的实证分析结果,即数字经济试验区的设立对企业供应链韧性的提升作用是符合实际的,不是其他未被观测和不可观测随机因素导致。本文的基准回归结果具有稳健性。

Figure 2. Placebo test

2. 安慰剂检验

4.2.3. 倾向得分匹配双重差分(PSM-DID)

为进一步缓解内生性问题,利用PSM-DID方法为处理组企业匹配特征最为接近的对照组企业,从而提高双重差分模型实证估计的准确度。本文采用1:2近邻匹配、带宽为0.06的核匹配和半径为0.01的半径匹配。表3列(1)~列(3)报告了使用三种匹配方法后的双重差分估计结果。结果显示,DID的回归系数均在5%的水平上显著为正,原有结论较为稳健。

Table 3. PSM-DID results

3. 倾向得分匹配双重差分结果

(1)

1:2近邻匹配

(2)

核匹配

(3)

半径匹配

DID

0.040***

0.023**

0.022**

(0.014)

(0.009)

(0.009)

_cons

−0.239

−0.019

−0.020

(0.685)

(0.403)

(0.403)

控制变量

YES

YES

YES

年份固定效应

YES

YES

YES

企业固定效应

YES

YES

YES

adj_R2

0.881

0.846

0.846

N

12,994

30,677

30,677

4.2.4. 排除同期政策干扰

本文借鉴郭丰等[16]的研究,进一步控制了可能与企业供应链韧性相关的同期政策干扰。具体而言,样本期内国家推行了国家大数据综合试验区、自由贸易试验区以及“宽带中国”试点等政策,这些政策分别致力于促进数据要素市场培育、深化制度型开放以及加强数字基础设施建设,均可能对企业供应链资源配置与风险抵御能力产生作用,从而对估计结果造成干扰。为确保基准回归结果完全由数字经济创新发展试验区政策驱动,本文分别将上述三项政策的虚拟变量(若企业所在城市在相应年份被列为试点区域则取值为1,否则为0)一并纳入模型重新进行估计。表4列(1)~列(3)报告了在控制上述政策变量后的回归结果。核心解释变量DID的系数依然在5%水平上显著为正,且系数大小与基准结果相比未发生根本变化。这表明在排除同期其他重点区域政策的竞争性影响后,数字经济试验区对企业供应链韧性的提升效应仍然稳健,支持了本文核心结论的可靠性。

Table 4. Other robustness tests

4. 其他稳健性检验

(1)

排除国家级大数据 综合试验区政策

(2)

排除自由贸易 试验区政策

(3)

排除宽带

中国政策

(4)

剔除注册地址

变更的企业

DID

0.020**

0.022**

0.023**

0.019**

(0.009)

(0.009)

(0.009)

(0.009)

_cons

−0.124

−0.068

−0.029

−1.961**

(0.403)

(0.402)

(0.402)

(0.850)

控制变量

YES

YES

YES

YES

年份固定效应

YES

YES

YES

YES

企业固定效应

YES

YES

YES

YES

adj_R2

0.845

0.845

0.845

0.845

N

30,677

30,677

30,677

29,904

4.2.5. 剔除注册地址改变的企业

部分企业可能出于寻求政策红利的目的,在样本期内将注册地址迁入数字经济创新发展试验区,这种非随机的迁移行为会导致处理组样本并非由政策外生设定,从而可能干扰政策效应的纯粹识别。为缓解这一估计偏误,本文借鉴郭家琛等[30]的处理方法,将研究期内企业注册地址发生变更的样本予以剔除。表4第(4)列汇报了基于此子样本的回归结果。核心解释变量DID的系数在5%的水平上依然显著为正,且与基准估计数值较为接近。这表明,在排除企业选址行为可能带来的内生性干扰后,数字经济试验区政策提升企业供应链韧性的核心结论依然成立。

5. 进一步分析

5.1. 机制分析

由于现有研究已验证了数字普惠金融水平、地区要素创新质量和市场集中度对企业供应链韧性有显著正向影响,故本文借鉴江艇[31]的做法,直接验证数字经济试验区能否促进数字普惠金融水平、地区要素创新质量和市场集中度。鉴于此,机制检验模型如下:

M ijt =α+ β 1 DID ijt + X it + Z jt + μ i + δ t + ε ijt (2)

其中, M ijt 是指机制变量,具体包括数字普惠金融水平、地区要素创新质量和市场集中度,其余指标与前文含义相同。本文参考李佳慧等[15]、韦东明等[21]的研究,数字普惠金融水平采用北京大学数字金融研究中心编制的省级数字普惠金融指数(Iap)。该指数从覆盖广度、使用深度和数字化程度三个维度综合表征地区数字金融服务水平。数字普惠金融可以通过扩大金融服务覆盖面和提高资金配置效率来缓解企业融资约束,为供应链稳定提供资金支持。本文参考郭丰等[32]的方法,地区要素创新质量(Inv)采用城市发明专利授权数占专利授权总数的比重进行衡量。该比值越高,表明地区的研发活动越倾向于产生具有实质突破性的高质量创新成果,从而间接反映了数据、人才等高级要素向高质量创新活动配置的效率,通过促进核心技术突破和知识溢出效应,增强供应链的技术含量和抗风险能力。本文参考尚洪涛等[33]的研究思路,采用赫芬达尔–赫希曼指数(HHI)对市场集中度进行测度。具体计算方法为:以中国证监会2012年版行业分类为标准,逐年计算每个行业内各家上市公司总资产占该行业总资产之和的平方,并将同一行业内所有公司的该平方值进行加总。该指数值越高,表明市场集中度越高。

机制检验结果如表5所示。其中,列(1)为数字普惠金融水平的检验结果,系数在1%的水平下显著为正,表明建立数字经济试验区能显著提升区域数字金融服务水平,通过完善数字金融基础设施、扩大金融服务覆盖广度与深度,有效缓解了企业融资约束,为供应链稳定性提供了资金保障,从而增强了企业供应链韧性。列(2)为地区要素创新质量的检验结果,系数在1%的水平下显著,表明政策通过促进地区创新要素集聚,提升了区域的创新产出质量,从而增强了供应链的持续创新能力和抗风险韧性。列(3)为市场集中度的检验结果,系数在1%的水平下显著,表明政策产生了资源集聚效应,优势企业能更快速地吸收政策红利,扩大市场份额,促进了以龙头企业为核心的供应链协同网络的形成。龙头企业在信息共享[23]、资源调配和风险共担方面发挥更为主导的作用,从而增强了链条的整体韧性。以上研究表明,数字经济试验区的设立通过深化数字普惠金融、提高地区要素创新质量和提升市场集中度显著提升了企业供应链韧性水平,本文H2得以验证。

Table 5. Mechanism test

5. 机制检验

(1)

数字普惠金融水平

(2)

地区要素创新质量

(3)

市场集中度

DID

4.916***

0.032***

0.009***

(0.170)

(0.001)

(0.002)

_cons

44.584***

−0.520***

0.485***

(7.344)

(0.077)

(0.089)

控制变量

YES

YES

YES

年份固定效应

YES

YES

YES

企业固定效应

YES

YES

YES

adj_R2

0.995

0.841

0.812

N

26,037

23,550

29,615

5.2. 异质性分析

5.2.1. 地理位置异质性

本文参考宋潞平等[19]的研究,根据地理位置特征将样本企业划分为沿海地区和内陆地区。表6列(1)显示,在具备更完善的数字基础设施、更活跃的外向型经济及更高效的要素流通网络的沿海地区,试验区政策对企业供应链韧性具有显著的提升作用。而内陆地区受制于数字化人才短缺、配套设施不足等瓶颈,政策效果尚未充分显现。

Table 6. Heterogeneity test

6. 异质性检验

(1)

沿海地区

(2)

内陆地区

(3)

国有企业

(4)

非国有企业

(5)

高数字化水平

(6)

低数字化水平

DID

0.035***

−0.019

0.021

0.038***

0.014

0.027**

(0.012)

(0.019)

(0.022)

(0.010)

(0.014)

(0.011)

_cons

−0.080

0.145

−1.754*

0.376

1.761***

−0.975**

(0.616)

(0.743)

(1.062)

(0.424)

(0.677)

(0.441)

控制变量

YES

YES

YES

YES

YES

YES

年份固定效应

YES

YES

YES

YES

YES

YES

企业固定效应

YES

YES

YES

YES

YES

YES

adj_R2

0.789

0.908

0.868

0.817

0.819

0.909

N

19,251

10,896

10,073

19,764

16,091

12,792

5.2.2. 产权异质性

本文借鉴李君锐等[34]的研究,按企业产权性质将样本分为国有企业与非国有企业。表6列(4)显示非国有企业的政策系数显著为正,表明其供应链韧性在政策干预下得到显著提升。非国有企业通常具备更灵活的决策机制和更强的市场响应能力,能够更快将政策机遇转化为供应链的实际优化。而国有企业的系数未达到统计显著性。

5.2.3. 数字化水平异质性

本文参考刘思琦等[14]的研究,以样本数字化程度综合指数中位数作为划分标准,若数字化程度综合指数高于样本中位数则为高数字化水平城市,否则为低数字化水平城市。表6列(5)与列(6)显示,政策对高数字化水平企业的影响不显著,却显著提升了低数字化水平企业的供应链韧性。

6. 结论与启示

6.1. 研究结论

推进国家数字经济创新发展试验区建设是中国整合区域数据要素、提升产业链供应链韧性与安全水平的关键战略部署。本文基于2014~2023年中国沪深A股上市公司数据,将试验区设立视为一项准自然实验,实证检验了该项政策对企业供应链韧性的影响及其内在机制。研究发现:

首先,数字经济试验区的设立对企业供应链韧性产生了显著的提升作用。这一结论在经过严格的实证检验后依然稳健,说明政策效果具有持续性。具体而言,试验区通过优化区域数字生态,增强了企业在面临外部冲击时的抗风险能力和恢复能力,体现了数字经济政策在维护产业链供应链安全方面的价值。

其次,机制分析表明,政策效果主要通过三条路径实现。一是数字普惠金融的发展改善了企业融资环境,为供应链稳定提供了资金支持;二是地区创新质量的提升通过技术进步效应增强了供应链的核心竞争力;三是市场集中度的提升通过强化龙头企业的供应链协同整合能力,增强了链条的整体韧性。这三条路径相辅相成,共同促进了供应链韧性的提升。

第三,异质性分析显示政策效果存在明显差异。沿海地区企业因基础设施完善、创新环境优越而获益更多;非国有企业凭借其灵活机制,能够吸收更多政策红利;低数字化水平企业表现出明显的“追赶效应”,政策对其提升作用尤为显著。

6.2. 政策启示

基于以上研究发现,本文提出以下政策建议:

第一,以数字普惠金融为关键抓手,夯实企业供应链的财务韧性。本文研究发现,数字经济试验区的政策效果,很大程度上通过提升数字普惠金融水平得以实现,其有效缓解了企业融资约束。因此,在深化试验区建设时,应重点完善以供应链金融为代表的数字金融服务体系,开发更贴合中小企业需求的信贷产品,降低融资成本,从而为供应链的稳定运行与弹性恢复提供坚实的资金保障。

第二,以区域创新质量提升为核心引擎,强化企业供应链的技术韧性。机制检验表明,试验区通过提高地区创新质量,为企业供应链注入了技术进步的动力。鉴于此,政策应着力优化区域创新生态,鼓励试验区内产学研协同攻关供应链关键数字技术,并促进高质量创新成果的转化应用,以此驱动供应链向智能化、高端化升级,从根本上增强其抗风险能力和恢复能力。

第三,以市场集中度为产业生态基础,培育企业供应链的协同与自适应韧性。适度的市场集中度既能提升供应链的协同稳定性,也能通过激发合作创新增强其适应能力。因此,在制定产业与区域政策时,应有意识引导形成有效集中、有序竞争的市场结构。在关键产业链中培育具有领导力和责任感的链主企业,鼓励其利用信息优势与创新协调能力,构建资源共享、风险共担的供应链共同体,通过市场竞争与规模协同的有机结合,使供应链韧性根植于一个兼具活力、秩序与高度组织性的产业生态之中。

第四,实施精准化、差异化的政策推广策略。本研究的异质性分析显示,政策效果在沿海与内陆地区、不同所有制和不同数字化基础的企业间存在显著差异。因此,在总结试点经验并向更大范围推广时,应避免“一刀切”。对于沿海及高数字化水平地区,政策重点可转向鼓励其开展前沿技术创新和供应链协同;对于内陆及数字化基础薄弱地区,则需优先完善数字基础设施,并提供转型能力培训与资金支持,以提升政策红利的普惠性和公平性。

附 录

企业供应链韧性评价指标体系与权重

一级指标

二级指标

指标定义

方向

权重

适应能力

销售水平

营业收入

+

0.0669

资金管理效率

营业收入/应收账款

+

0.3001

生产能力

在职员工总数

+

0.0438

信息化水平

数字化转型程度

+

0.0177

抵抗能力

创新产出

当年独立获得专利总和

+

0.0682

权益乘数

总资产/所有者权益

0.0001

产权比率

总负债/所有者权益

0.0001

固定资产

固定资产原值减去累计折旧和减值准备

+

0.0684

风险承担水平

行业均值调整的总资产净利润率的三期滚动标准差

0.0001

供应链集中度

向前五大供应商、客户采购与销售比例之和的均值

+

0.0061

销售净利率

净利润/营业收入

+

0.0001

恢复能力

净资产收益率

净利润/股东权益

+

0.0001

存货周转率

销货成本/存货

+

0.2419

流动比率

流动资产/流动负债

+

0.01415

造血量

企业创造现金流的能力

+

0.0001

供应商采购额

本期上市公司向供应商采购的金额

+

0.06520

客户销售额

本期上市公司向顾客销售的金额

+

0.05600

人力资本

本科及以上占比

本科及以上学历占总员工比例

+

0.01392

研发人员占比

研发人员占总员工比例

+

0.02764

政府力量

政府补贴

政府的各项补贴额

+

0.0098

应交所得税费用

所得税金额

+

0.0001

注:“+”为正向指标;“−”为负向指标。

参考文献

[1] 荆润灿. 国际环境变革下强化我国供应链体系建设研究[J/OL]. 价格理论与实践: 1-7.
https://kns.cnki.net/kcms2/article/abstract?v=YtMUyApXHwZ3DGPnAMu85Fjo6DYA5Tpx9FcC2yeB1JAM5xClr4V4DBDFOcQxUdtPw6DYACGMisS4h0mm-jEf5D9mRCA7Xa9zfB5KnFm3MxgUjJmXnXZI7VG1sbdFoieVD_50tvkLJjZfiHTGYTyM4bOBQsx4WXYb8DAfwZoPYHbHQ6uJUibxeo20-rqiLGEDxGkPBcTla9w&uniplatform=NZKPT&captchaId=bd569b2f-5c13-408a-a940-76aa6fbfe758, 2025-12-13.
[2] 邱洋冬, 吴敏. 竞争政策的数字化驱动效应: 数字专利视角[J/OL]. 经济与管理: 1-15.
https://kns.cnki.net/kcms2/article/abstract?v=YtMUyApXHwZpJniWAFpPAN_KthSftMunqn1xLJjUHYazonIJZyz_6uTlYokyl1c-Sfxqn_o4p3-KGap_CSJ-MkfqIBPP3XuSYo3AMU8ImIRSeCGQJhOLyrdw1gKxFqB7koD9rJg3KcEJk9Y26W5tLlIIcm38ZRClI75LYxF4jJY3h8Y8T9bw0w==&uniplatform=NZKPT&language=CHS, 2025-12-13.
[3] Ponomarov, S.Y. and Holcomb, M.C. (2009) Understanding the Concept of Supply Chain Resilience. The International Journal of Logistics Management, 20, 124-143. [Google Scholar] [CrossRef
[4] Tukamuhabwa, B.R., Stevenson, M., Busby, J. and Zorzini, M. (2015) Supply Chain Resilience: Definition, Review and Theoretical Foundations for Further Study. International Journal of Production Research, 53, 5592-5623. [Google Scholar] [CrossRef
[5] 李维安, 马茵. 如何构造供应链韧性的有效机制? [J]. 当代经济管理, 2022, 44(12): 27-38.
[6] 姚正海, 李昊泽, 姚佩怡. ESG表现对企业供应链韧性的影响[J]. 首都经济贸易大学学报, 2025, 27(2): 95-112.
[7] 宋勇超, 周广亮. 公共数据开放与企业供应链韧性[J]. 经济经纬, 2025, 42(6): 147-160.
[8] 徐乾宇. 跨境电商能否助力企业供应链配置多元化?: 基于跨境电商综试区的准自然实验[J]. 世界经济研究, 2025(9): 120-134, 137.
[9] 王煜昊, 马野青, 承朋飞. 跨境电商赋能企业供应链韧性提升: 来自中国上市公司的微观证据[J]. 世界经济研究, 2024(6): 105-119, 137.
[10] 杨兴全, 丁琰, 张可欣. 国有企业聚焦主责主业与企业供应链韧性[J]. 经济管理, 2025, 47(9): 22-42.
[11] 陶锋, 王欣然, 徐扬, 等. 数字化转型、产业链供应链韧性与企业生产率[J]. 中国工业经济, 2023(5): 118-136.
[12] 张树山, 谷城. 企业数字化转型与供应链韧性[J]. 南方经济, 2024(8): 137-158.
[13] 韩一鸣, 胡洁, 于宪荣. 企业ESG表现与产业链供应链韧性——基于信号传递的视角[J]. 经济与管理研究, 2025, 46(9): 3-20.
[14] 刘思琦, 李世祥. 国家数字经济创新发展试验区设立与城市经济韧性[J]. 中南财经政法大学学报, 2025(5): 110-122.
[15] 李佳慧, 杨起鸣. 数字经济政策与城市经济高质量发展——来自国家数字经济创新发展试验区的经验证据[J]. 中国经济问题, 2025(4): 53-69.
[16] 郭丰, 任毅. 数字经济创新政策能否赋能企业数字技术创新——来自数字经济创新发展试验区的证据[J]. 南昌大学学报(人文社会科学版), 2025, 56(4): 69-82.
[17] 任仕佳, 金环, 吴柏钧. 数字创新政策激励与民营企业新质生产力提升[J/OL]. 软科学: 1-16.
https://kns.cnki.net/kcms2/article/abstract?v=YtMUyApXHwYViSTYF9SCg2kxwHU8UIy_3j4k16Z9IE53frGMwEQ1HDOBV8sQxwfxTHgcXeE3Yo9xOImZzOkv92tBc_hK3alHXgLH8Qyve73iQEzIyAKnl2occqsl3UvUvjIb8tZyPeM-VWixvuQNEy62hhCqjwS-skuY05ayNd6NOwlsR8IDUw==&uniplatform=NZKPT&language=CHS, 2025-12-13.
[18] 金环, 牛子恒. 政策赋能、结构变迁与企业数字创新[J]. 研究与发展管理, 2025, 37(1): 46-59.
[19] 宋潞平, 刘晓梅. 数字经济发展与区域创新产出——来自国家数字经济创新发展试验区的准自然实验[J]. 投资研究, 2024, 43(2): 75-86.
[20] 曾皓. 区位导向性政策促进企业数字化转型吗?——基于国家数字经济创新发展试验区的准自然实验[J]. 财经论丛, 2023(4): 3-13.
[21] 韦东明, 徐扬, 顾乃华. 数字经济驱动经济高质量发展[J]. 科研管理, 2023, 44(9): 10-19.
[22] Yan, H. and Ma, K. (2011) Competitive Diffusion Process of Repurchased Products in Knowledgeable Manufacturing. European Journal of Operational Research, 208, 243-252. [Google Scholar] [CrossRef
[23] 白俊, 李云. 分析师跟踪网络与企业合作创新[J]. 财经论丛, 2023(1): 59-68.
[24] 王靖宇, 刘长翠, 张宏亮. 产学研合作与企业创新质量——内部吸收能力与外部行业特征的调节作用[J]. 管理评论, 2023, 35(2): 147-155.
[25] 陈钰芬, 王科平. 多维邻近性视角下人工智能合作创新网络演化研究[J]. 管理学报, 2023, 20(7): 1045-1055.
[26] Liu, Y., Dong, J., Mei, L. and Shen, R. (2023) Digital Innovation and Performance of Manufacturing Firms: An Affordance Perspective. Technovation, 119, Article ID: 102458. [Google Scholar] [CrossRef
[27] 黄勃, 李海彤, 刘俊岐, 等. 数字技术创新与中国企业高质量发展——来自企业数字专利的证据[J]. 经济研究, 2023, 58(3): 97-115.
[28] 罗佳, 张蛟蛟, 李科. 数字技术创新如何驱动制造业企业全要素生产率?——来自上市公司专利数据的证据[J]. 财经研究, 2023, 49(2): 95-109, 124.
[29] 杨亚平, 刘歆. 数字中国建设是否提升了城市创业活跃度——基于国家数字经济创新发展试验区的经验证据[J]. 调研世界, 2024(10): 74-85.
[30] 郭家琛, 王凤, 刘珊, 等. 数字经济发展与企业品牌价值——基于准自然实验的经验证据[J]. 财经论丛(浙江财经大学学报), 2025(10): 64-76.
[31] 江艇. 因果推断经验研究中的中介效应与调节效应[J]. 中国工业经济, 2022(5): 100-120.
[32] 郭丰, 任毅, 柴泽阳. “双碳”目标下数字基础设施建设与城市碳排放——基于“宽带中国”试点政策的准自然实验[J]. 中国经济问题, 2023(5): 164-180.
[33] 尚洪涛, 王斯彤. 国家数字经济创新发展试验区对民营企业合作创新的影响[J]. 中国流通经济, 2024, 38(9): 80-91.
[34] 李君锐, 买生, 刘磊. 国家数字经济创新发展试验区设立的创新效应: 基于供给侧与需求侧双重视角[J]. 科技进步与对策, 2024, 41(13): 45-56.