无人直升机膜片弹簧离合器设计与接合仿真
Design and Engagement Simulation of Diaphragm Spring Clutch for Unmanned Helicopters
摘要: 设计一种无人直升机发动机用膜片弹簧离合器,并进行相关动力学特性分析,来验证膜片弹簧离合器在无人直升机中应用的可行性。根据某大型物流无人直升机的动力与负载需求,完成膜片弹簧离合器的结构参数设计与三维结构绘制,并将SOLIDWORKS中建立的离合器三维模型导入到ADAMS软件建立离合器虚拟样机,对该膜片弹簧离合器的接合过程的平顺性、冲击度、摩擦功等动力学特性进行仿真分析。结果表明,设计出的膜片弹簧离合器在无人直升机的发动机动力和旋翼负载情况下,0.15秒内即能完成接合过程,从动盘转速迅速与发动机同步,接合后期冲击度趋近于零。本研究的仿真思路与仿真结果,可为解决高转速工况下膜片离合器的“效率–平顺性”矛盾问题提供参考,也可为后续设计无人直升机膜片弹簧离合器相关设备提供数据支持。
Abstract: This study designs a diaphragm spring clutch for unmanned helicopter engines and conducts related dynamic characteristic analyses to verify the feasibility of using diaphragm spring clutches in unmanned helicopters. Based on the power and load requirements of a large logistics unmanned helicopter, the structural parameters of the diaphragm spring clutch were designed and a 3D model was created. The 3D clutch model clutch model in SOLIDWORKS was then imported into ADAMS to build a virtual prototype of the clutch. The dynamic characteristics of the diaphragm spring clutch engagement process, including smoothness, impact, and friction work, were analyzed through simulation. The results show that the designed diaphragm spring clutch can complete the engagement process within 0.15 seconds under the engine power and rotor load conditions of the unmanned helicopter, with the driven plate quickly synchronizing with the engine speed, and the impact level approaching zero at the later stage of engagement. The simulation methodology and results of this study provide a reference for addressing the “efficiency-smoothness” conflict of diaphragm clutches under high-speed conditions, and also provide data support for the subsequent design of diaphragm spring clutch equipment for unmanned helicopters.
文章引用:赵鹏. 无人直升机膜片弹簧离合器设计与接合仿真[J]. 建模与仿真, 2026, 15(2): 9-21. https://doi.org/10.12677/mos.2026.152029

1. 引言

无人直升机可以根据任务需求搭载多种设备,具有较强的任务适应性,可广泛应用于民用和军用领域[1]。在无人直升机中,若发动机与传动系统直接连接,旋翼的惯性会导致发动机启动负荷过大,可能造成启动失败或机械损伤;飞行结束或紧急停机时,旋翼因惯性继续带动发动机高速运转,发生“反拖”现象,容易对发动机或传动系统造成损伤。离合器具有高转矩容量、易于操作和高可靠性的优点[2],在传动系统中作为主要组成部分,承担着中断和传递动力的重要作用[3],用以控制发动机与传动系统之间的动力传递。

传统无人直升机离合器一般利用皮带轮的张紧来实现离合器的离与合。V带主要靠带与带轮之间的摩擦来传递发动机的动力,为保证动力传输的稳定,皮带需要增加张紧机构,可替代直升机中起动离合器,控制发动机与传动系统间动力的通断[4]。棘轮棘爪离合器尺寸小、结构简单、质量轻、传动平稳,是航空发动机起动系统中的重要组成部分,但是随着航空发动机使用条件的提高,棘轮棘爪离合器使用过程中遇到的故障问题与不足也逐渐增加[5]。齿式离合器具有结构简单可靠、承载能力强等优点,被广泛应用于大型船舶动力系统[6],这种离合器虽然传递效率很高但是由于自身重量过大,在无人直升机中并不适用。

膜片弹簧离合器以其理想的非线性弹性特性、结构简单紧凑、压盘的压紧力均匀且稳定等优点,在汽车传动系统中得到了广泛应用[7],当前国内外针对膜片弹簧离合器的研究多聚焦于汽车领域。2017年,刘晓初等人运用虚拟样机软件ADAMS提供的虚拟环境平台构建离合器模型,对车用膜片弹簧离合器接合过程进行仿真分析[8],2019年谭武中等人基于变速直升机传动的优点,提出了摩擦型离合器是影响变速传动的关键零部件[9]。2023年陈志等人采用分段式接合压力加载方式,以摩擦离合器的接合时间和冲击度作为接合特性的评价指标对离合器进行仿真分析[10]。2024年李晓康等人提出适当提高润滑油温度和增加转速对于提高航空湿式离合器系统的接合质量非常有帮助[11],同年Kozlenok A介绍了一种可以广泛用于自由轮离合器分析的自由轮离合器(FWC)建模方法,所得理论转速、传递扭矩、摩擦系数变化、法向力和摩擦力分布等理论数据在定制试验机上进行验证,证实了所提建模方法的鲁棒性[12]。2025年Ozdemir T E等人提出了一种广义多体动力学模型,研究了由于随时变化的离合器片摩擦产生的非扭转动载荷所产生的影响[13],同年雷衍斌等人采用Adams软件对模型进行动力学特性仿真分析,得到了楔块磨损对楔块与内环接触力、动力输入轴所受转矩、动态接合难易程度和超越时临界脱开转速的影响规律[14]

与传统无人直升机皮带离合器相比,膜片弹簧离合器可直接集成在旋翼轴系上,无需额外传动路径,空间适配性更好;膜片弹簧离合器采用刚性接触,扭矩传递效率更高。膜片弹簧离合器接合质量对直升机的使用寿命和整体飞行性能有重要影响[15],需深入研究。

本文完成某型无人直升机用膜片弹簧离合器的结构设计,利用ADAMS软件进行仿真研究,分析从动盘表面压力、转速、滑摩功、冲击度及摩擦力矩的动态变化规律,旨在验证膜片弹簧离合器在无人直升机中的可行性。

2. 离合器接合过程原理

为了方便分析离合器的接合过程,本研究将无人直升机传动系统进行简化,将离合器简化为主动盘和从动盘两部分,离合器的输入简化为发动机,输出简化为负载,图1为简化后的发动机到无人直升机螺旋桨之间的动力传递示意图。

Figure 1. Unmanned helicopter power transmission diagram

1. 无人直升机动力传递示意图

对离合器进行动力学分析,创建接合时的动力学关系式。离合器主动部分和从动部分的动力学方程分别见式(1)和式(2)。

J e d ω e dt = T e T c (1)

J v d ω c dt = T c T m (2)

式中,Je:发动机转动惯量;Jv:螺旋桨转动惯量;Tm:无人直升机负载力矩;ωe:发动机输出轴角速度;ωc:离合器从动盘角速度;Te:发动机输出转矩;Tc:离合器传递力矩。

离合器的接合过程可分为接合与分离两种状态。在接合状态下,离合器主动部分与从动部分完全接合时,此时Te = Tc,实现动力传递;在分离状态下,离合器主动部分与从动部分完全分离时,此时Tc = 0,实现动力中断。

3. 膜片弹簧离合器的结构设计与工作过程

3.1. 主要设计输入

本文设计的离合器应用于某型大重量物流运输无人直升机,无人直升机及其发动机具体参数见表1。如图2所示,所设计的膜片弹簧离合器主要由离合器盖、膜片弹簧、离合器压盘、从动盘、飞轮几部分组成,整体尺寸为280 mm × 280 mm × 52 mm。

Table 1. Input parameter table of unmanned helicopter

1. 无人直升机输入参数表

参数名称

数值

无人直升机起飞重量/(kg)

700

无人直升机最大载荷/(kg)

200

无人直升机速度/(km/h)

120

发动机最大扭矩/(N·m)

173

发动机最大功率/(kw)

105

发动机最大转速/(r/min)

5800

发动机最大连续功率/(kw)

100

发动机最大连续转速/(r/min)

5500

参数名称

数值

无人直升机起飞重量/(kg)

700

Figure 2. Exploded view of a diaphragm spring clutch

2. 膜片弹簧离合器爆炸图

3.2. 从动盘主要结构参数设计

从动盘作为离合器中承担动力传递的核心元件,其尺寸是整个离合器设计的逻辑起点和性能基准,离合器尺寸设计中从动盘尺寸计算是非常重要的。

3.2.1. 从动盘摩擦片尺寸设计

摩擦片尺寸与发动机扭矩直接相关,计算见式(3)

D=100 T emax A (3)

Temax为发动机最大扭矩,系数A为离合器摩擦片设计常数,针对大型无人直升机单片离合器,一般取A = (30~36)。

3.2.2. 从动盘毂结构参数设计

从动盘毂是离合器中承受载荷最大的零件,它一般采用矩形花键安装在变速器的输入轴上,矩形花键尺寸参数可根据摩擦片的外径D与发动机的最大转矩Temax按国标GB1144-74选取。本文设计的从动盘毂结构尺寸参数为齿数n为10,外径D'为35 mm,内径d'为28 mm,齿厚t为4 mm,有效齿长l为35 mm。

在最大发动机转矩工况下,对矩形花键的挤压应力和剪切应力进行校核,计算结果分别为8.9 MPa和15 MPa,满足工作要求。

3.2.3. 减震弹簧设计

查找相关手册,根据经验可知弹簧中径(平均直径) Dc通常选取11~15 mm,本文选取15 mm。

由于无人直升机负载波动,易有强烈冲击,本文取减震弹簧承受的最大扭矩Tj为发动机最大扭矩的2倍。

计算减震弹簧所受总压力见式(4)

P = T j R 1 (4)

其中P为减震弹簧所受总压力,R1为减震弹簧分布半径。

单个弹簧工作压力为:

P= P Z (5)

弹簧钢丝直径确定见式(6)

d 1 = 8P D c πτ (6)

式中τ为减震弹簧材料65 Mn的扭转许用应力。

由经验公式(7)初选角刚度,选取减振器扭转角刚度CaTj的13倍。

C a 13 T j (7)

减振弹簧刚度为:

C= c a 1000 R 1 2 z (8)

其中z为减震弹簧数量,其常用范围为4~10,由于无人直升机需要整体重量尽可能地小,选取减震弹簧数量为4。

通过公式(9)计算出减振弹簧的圈数i

i= G d 1 4 8 D 2 3 C (9)

式中G为弹簧材料的扭转弹性模数。

所设计的膜片弹簧离合器从动盘主要设计参数见表2

Table 2. Main design parameter table of driven plate

2. 从动盘主要设计参数表

参数名称

数值

从动盘摩擦片外径D/(mm)

225

续表

从动盘摩擦片内径d/(mm)

150

从动盘摩擦片厚度h/(mm)

3.5

弹簧传递扭矩Tj/(N∙m)

346

单个弹簧工作压力P/(N)

6654

减振器扭转角刚度Ca/(N∙m)

4498

减振弹簧刚度C/(N/m)

416

减振弹簧的圈数i

6

从动盘摩擦片外径D/(mm)

225

本文设计的膜片离合器从动盘三维图见图3

Figure 3. Driven disc 3D model

3. 从动盘三维模型

3.3. 膜片弹簧离合器的工作过程

Figure 4. Diagram of the operating principle of a diaphragm spring clutch. (a) Clutch engagement schematic; (b) Clutch separation schematic

4. 膜片弹簧离合器工作过程图。(a) 离合器接合原理图;(b) 离合器分离原理图

图4(a)所示,在无人直升机飞行过程中,膜片弹簧不受外力,在其本身弹簧力作用下将压盘紧紧地压向离合器从动盘(图中橙色箭头),从动盘被牢牢地夹在飞轮和压盘之间,而使从动盘接合面与飞轮和盘间产生摩擦转矩(即图中紫色椭圆位置),发动机的动力通过飞轮、从动盘、变速箱,最终传递到旋翼。如图4(b)所示,在无人直升机起飞前或者降落后,需断开发动机与旋翼之间的动力连接,膜片弹簧内圈在外力的作用下(图中紫色箭头),发生变形,其外圈部分会向后翘起(图中绿色箭头),从而减少对压盘的压紧力,从动盘不再被夹紧,与飞轮和压盘之间出现间隙(即图中黄色椭圆位置),动力传递被中断。

4. 膜片弹簧离合器虚拟样机的建立

将SOLIDWORKS中的三维模型进行合理简化后导人ADAMS软件中,对机械中各个构件材料进行定义,模型物理参数设置见表3赋予各部分质量与设计时一致。飞轮与离合器盖为固定副,飞轮与大地为旋转副,飞轮与从动盘为圆柱副,从动盘与压盘为圆柱副。最终得到虚拟样机仿真模型如图5所示。

Table 3. Quality parameter table of diaphragm spring clutch

3. 膜片弹簧离合器质量参数表

模型质量参数

数值

膜片弹簧质量/(kg)

0.357

飞轮质量/(kg)

10.3

从动盘质量/(kg)

1.9

压盘质量/(kg)

2.5

Figure 5. Clutch simulation model

5. 离合器仿真模型

在ADAMS仿真中需设置离合器摩擦片的摩擦因数、飞轮与从动盘片之间、压盘与从动盘之间的接触参数,根据赫兹接触理论,计算所得接触参数见表4

Table 4. Simulation parameter table of diaphragm spring clutch

4. 膜片弹簧离合器仿真参数表

参数名称

数值

离合器摩擦片摩擦因数

0.4

压盘与从动盘之间接触刚度

2.8 × 108

飞轮与从动盘片之间摩擦因数

0.4

飞轮与从动盘片之间接触刚度

3.0 × 108

根据负载设置输出轴的阻力矩为44 N∙m,发动机输入轴的动力矩为156 N∙m。在实际工作过程中,压盘对从动盘施加的压力来自于膜片弹簧,在仿真中以膜片弹簧弹性曲线为依据,设置step函数表达膜片弹簧对压盘的弹力。膜片弹簧对压盘施加的载荷F与本身变形λ之间的关系见式(10):

F( λ )=[ ΠEhλ 6(1 μ 2 ) ] ln( R/r ) ( R 1 r 1 ) 2 [ ( Hλ Rr R 1 r 1 )( H λ 2 Rr R 1 r 1 )+ h 2 ] (10)

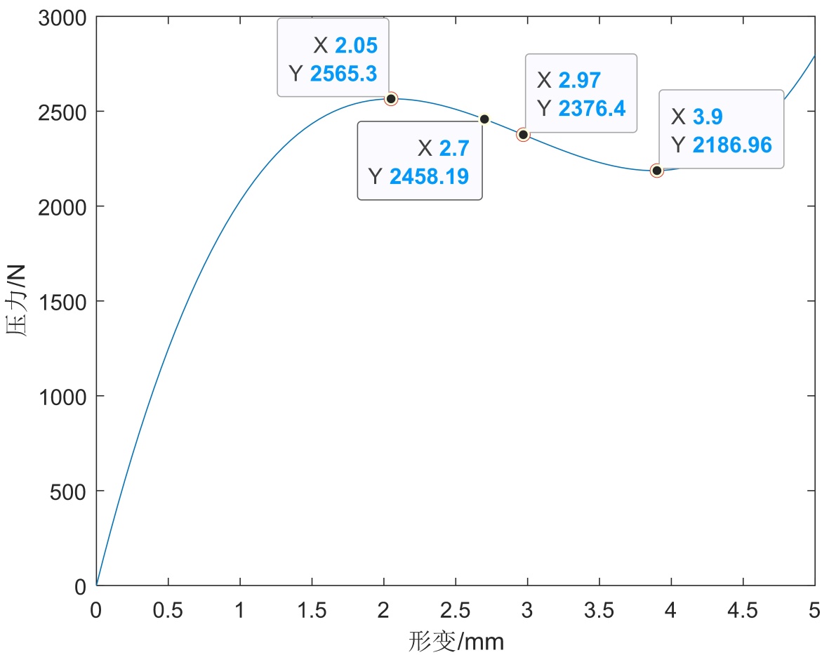
式中,E:弹性模量;μ:泊松比;h:弹簧钢板厚度;H:膜片弹簧的内截锥高;Rr分别为膜片弹簧大端、小端半径;R1r1分别为压盘加载点和支承环加载点半径。最终得到膜片弹簧压力–形变曲线,如图6所示。

Figure 6. Diaphragm spring pressure-deformation curve

6. 膜片弹簧压力–形变曲线

图6中C点对应着离合器工作时膜片弹簧的压平位置点,坐标为λC = (λA + λD)/2。离合器工作时的完全接合位置点对应图6中点B,λB = (0.8~1.0)λC,B点纵坐标为接合过程中压盘所受到的压力。

5. 离合器仿真结果分析

5.1. 从动盘表面压力仿真结果分析

在膜片弹簧离合器中,从动盘表面压力指的是压盘在膜片弹簧作用下,施加在离合器摩擦片表面的压力。选取仿真总时间为2 s,从动盘表面压力变化曲线,如图7所示。由图7可以观察到离合器从动盘表面压力变化分为两个主要阶段:

(1) 快速压紧阶段

在0~0.15 s时,压力从0 N急剧上升至约2500 N,在这一阶段工作过程中,膜片弹簧受力逐渐减小,压盘施加在离合器摩擦片表面的压紧力随之增大。快速压紧阶段所用时间非常短,体现了膜片弹簧离合器机构的高效性。

(2) 稳定保持阶段

在0.15 s后,压力在2500N附近保持一个非常稳定的值,仅有微小的波动。表明在离合器完全接合状态下,离合器从动盘表面压力仅有微小波动。

Figure 7. Pressure variation curve of the driven disc surface

7. 从动盘表面压力变化曲线

5.2. 从动盘转速仿真结果分析

从动盘转速仿真结果如图8所示,离合器从动盘转速变化分为两个阶段:

(1) 滑摩阶段

在0~0.15 s时,角速度从0急剧地攀升至570 rad/s。离合器飞轮与从动盘摩擦片开始接触并产生巨大的摩擦力矩,而产生的摩擦力矩力矩远远大于阻力矩,因此从动盘被剧烈地加速拖动,导致速度提升非常快,加速度大,所以该段曲线斜率较大。若提速时间缩短至0.1 s,加速度会增大,冲击度峰值将超过传动系统许用阈值;若提速时间延长至0.2 s,虽冲击度可降低,但滑摩时间延长会导致滑摩功增至7000 J以上。

(2) 稳定阶段

在0.15 s后,角速度在达到约570 rad/s后,变为一条稳定的直线,直至仿真时间结束。此阶段从动盘与发动机飞轮转速相同,飞轮、摩擦片、压盘同步旋转,不再有相对滑动和磨损,滑摩阶段结束。

Figure 8. Driven disk speed variation curve

8. 从动盘转速变化曲线

5.3. 滑摩功仿真结果分析

滑摩功是指在离合器接合过程中,从动盘与飞轮之间因存在转速差而产生相对滑动摩擦,在这个过程中所消耗的功。其计算见式(11)。

L= 0 t 1 ( ω 1 ω 2 ) T c dt (11)

从动盘滑摩功仿真结果如图9所示。图9展示了在一次离合器接合过程中,滑摩功变化的全过程,分为两个主要阶段:

(1) 增长阶段

图8可以看出,从0 s到0.1 s,离合器滑摩功变化曲线非常陡峭,那是由于飞轮与从动盘接合时二者转速相差过大,导致滑摩功以极高的速率增长;相比0 s到0.1 s的滑摩功变化曲线,0.1~0.15 s区间,此时从动盘的转矩已经增大,增长速率也随之降低,变化曲线变得也逐渐平缓起来。

(2) 稳定阶段

0.15 s后,从动件与主动件已经达到相同转速,滑摩功仿真曲线稳定,滑摩功的数值不再变化,数值保持在约5800左右,不再增长,此阶段表明滑摩过程已经完全结束。

由上述分析结果可以得出该膜片弹簧离合器滑摩时间极短,说明其动力传递效率极高,符合无人直升机离合器高性能、高效率的目的。

Figure 9. Slide-friction power variation curve

9. 滑摩功变化曲线

5.4. 冲击度仿真结果分析

冲击度直接反映了离合器接合过程的平顺程度。其计算见式(12)

j= da dt = d 2 u d 2 t (12)

式中,j:冲击度;a:加速度;u:速度。

从动盘冲击度仿真结果如图10所示。图10展示了在一次离合器接合过程中,冲击度的动态变化分为两个截然不同的阶段:

(1) 剧烈波动阶段

从0 s到0.15 s冲击度在正负之间进行极端剧烈的振荡,其过程不算平稳。此阶段对应主、从动部分开始接触并进入滑摩阶段的关键时期,图10也清晰地体现了离合器接合中的经典矛盾——传动效率与舒适平顺性二者难以兼得。若采用更陡的压紧力曲线,冲击度峰值将升至1.5E+06量级以上,可能导致旋翼轴系振动加剧;若采用过缓的压紧力曲线,虽冲击度峰值可降低,但会以牺牲传动效率为代价。

(2) 平稳阶段

冲击度迅速衰减并趋近于零,仅在约0.5 s和1.5 s时有微不足道的小波动,这表明系统已进入稳定状态。此阶段滑摩过程已经完全结束,传递的扭矩变得非常稳定,所以加速度没有变化,冲击度也自然为零。

Figure 10. Impact variation curve

10. 冲击度变化曲线

5.5. 摩擦力矩仿真结果分析

离合器摩擦力矩用M表示,是指离合器在接合状态下,依靠摩擦力所能传递的最大扭矩。其计算式为

dM=( μmg+F π( R 2 2 R 1 2 ) )2πrdrr (13)

M= R 1 R 2 dM= 2 3 π( μmg+F π( R 2 2 R 1 2 ) )( R 2 3 R 1 3 ) (14)

式中m:从动盘、压盘、膜片弹簧的整体质量,F:压盘施加的压力,R2:从动盘外径,R1:从动盘内径。

图11展示了在离合器接合过程中摩擦力矩变化的全过程。可以将其分为摩擦力矩建立和稳定两个主要阶段:

(1) 摩擦力矩建立阶段

摩擦力矩从0 s到0.15 s以一个极高的速率非线性地攀升,达到了约250 N∙m的峰值。力矩的快速上升源于膜片弹簧的压紧力迅速建立(这与之前分析的从动盘表面压力曲线完全吻合)。

(2) 摩擦力矩稳定阶段

0.15 s之后,摩擦力矩在达到256 N∙m后,变为一条非常平稳的水平线,仅有极其微小的波动,之后这个波动逐渐减小直至消失。主、从动部分转速达到同步,摩擦力矩从动摩擦力转变为静摩擦力矩,这个力矩的大小等于发动机输出到离合器上的扭矩。

Figure 11. Friction torque variation curve

11. 摩擦力矩变化曲线

5.6. “效率–平顺性”矛盾的权衡机制总结

本设计通过以下三个核心策略实现高转速工况下“效率–平顺性”矛盾的优化平衡:

(1) 非线性压紧力曲线匹配

利用膜片弹簧“快速建立–稳定保持”的非线性压力特性,0~0.15 s快速建立2500 N压紧力以缩短滑摩时间(提升效率),0.15 s后稳定压力以抑制冲击波动(保障平顺性),形成“高效接合 + 平稳传递”的协同效应。

(2) 关键参数量化优化

将接合时间控制在0.15 s,既满足无人直升机动态响应需求,又避免了过短接合时间导致的冲击过载;滑摩功控制在5800 J,既保证传动效率(接近理想刚性连接),又避免了过长滑摩时间引发的摩擦片过热失效。

(3) 结构与特性协同设计

通过减震弹簧参数优化(刚度416 N/m、圈数6)和花键强度校核(挤压应力8.9 MPa、剪切应力15 MPa),进一步缓冲冲击载荷,确保在高效接合的同时,传动系统结构可靠性不受影响。

6. 结论

本研究设计了一种适用于大重量物流无人直升机的膜片弹簧离合器,验证了此膜片弹簧离合器在无人直升机发动机输入和负载条件下的可行性,也体现了该离合器具备高传动效率与快响应速度,完全适配无人直升机对动力传递的作业要求。

通过多体动力学仿真,深入揭示了其接合过程中的动态特性,主要结论如下:

(1) 所设计的离合器在0.15秒内即能完成接合过程,从动盘转速迅速与发动机同步,满足了无人直升机对高动态响应能力的作业要求。

(2) 滑摩功被控制在较低水平(约5800 J),表明能量在接合过程中的耗散较少,传动效率高,有利于延长离合器寿命并减少热负荷。

(3) 接合后期冲击度趋近于零,表明该离合器能有效抑制扭矩波动与传动冲击,保障了动力传递的极佳平顺性,这对于提升飞行稳定性和机载设备精度至关重要。

(4) 关键部件(如花键联接)的强度校核结果均满足许用应力要求,确保了设计的工程可行性与可靠性。

(5) 通过膜片弹簧非线性特性与压紧力曲线的精准匹配,实现了“效率–平顺性”的优化平衡:既避免了更快压紧导致的冲击过载问题,又解决了更慢压紧引发的滑摩功激增缺陷,为高转速工况下离合器设计提供了有效的矛盾解决思路。

参考文献

[1] 姜斌, 许宇航, 郭黎. 非完整信息下多无人直升机追逃博弈[J]. 中国科学: 技术科学, 2025, 55(9): 1514-1525.
[2] 崔红伟, 李冬辉, 梅碧舟, 索一然, 张玲卿, 崔龙, 李琦. 片式离合器摩擦副热弹性不稳定性温度-压力扰动特性研究[J]. 机械传动, 2025, 49(3): 1-7.
[3] 李利平. 汽车摩擦离合器传动系统动态特性研究[D]: [博士学位论文]. 长沙: 中南大学, 2022.
[4] 赵少魁, 许欣宇, 贾良现. 基于MATLAB的轻型无人直升机V带传动张紧机构分析[J]. 科学技术与工程, 2020, 20(7): 2681-2685.
[5] 石昊, 李政民卿, 陈利强. 双棘轮离合器二次结合冲击应力分析[J]. 机械传动, 2024, 48(11): 126-133.
[6] 俞翔栋, 殷浩博, 李铁, 吴维. 船用楔形齿桨轴离合器设计与仿真分析[J]. 机械传动, 2024, 48(3): 102-108.
[7] 项燕国, 黄天宇. Φ270大扭转角膜片弹簧离合器设计及校核[J]. 时代汽车, 2025(1): 140-144.
[8] 刘晓初, 陈宥丞, 姜引, 曹杰, 陈宁波. 基于ADAMS的离合器接合过程仿真研究[J]. 机械传动, 2017, 41(10): 136-139.
[9] 谭武中, 王祁波. 航空用变转速传动的摩擦离合器研究现状分析[J]. 科学技术创新, 2019(23): 150-152.
[10] 陈志, 施宗材, 朱楚, 张迎东. 高转速差航空摩擦离合器的接合特性与控制策略研究[J]. 机械设计与制造, 2023(8): 166-170+174.
[11] Li, X.K., Yan, H.Z., Wei, D.H., Wu, J.M., et al. (2024) Study on the Effect of Operating Conditions on the Friction Pair Gap in a Wet Multi-Disc Clutch in a Helicopter Transmission System. Applied Sciences, 14, Article 7751.
[12] Kozlenok, A. (2024) An Approach for the Simulation of the Wedge Freewheel Clutch as a Frictional Multibody Dynamic System. Tribology International, 193, Article 109398. [Google Scholar] [CrossRef
[13] Ozdemir, E.T., Inalpolat, M., Lee, H.K. and Kim, M.S. (2025) A Generalized Multibody Dynamic Model for Dual-Clutch Transmissions with Wet Clutchsets. Proceedings of the Institution of Mechanical Engineers, Part K: Journal of Multi-Body Dynamics, 239, 254-273. [Google Scholar] [CrossRef
[14] 雷衍斌, 宁凤莲, 曾卓, 彭凯. 楔块磨损对离心脱开型超越离合器性能的影响[J]. 机械传动, 2025, 49(7): 113-119.
[15] Xiao, Y.Y., Li, Q.M. and Liu, H.S. (2024) The Optimization and Control of the Engagement Pressure for a Helicopter Dry Clutch. Machines, 12, Article 533.