第一性原理研究MS (M = Fe, Zn)的LiPSs催化性能
First-Principles Study on LiPSs Catalytic Performance of MS (M = Fe, Zn)
摘要: 锂硫电池因其高理论能量密度(2600 Wh kg1)、硫资源成本低和环境友好等优势,正成为极具前景的下一代储能技术。但其实际应用受到硫导电性差和中间体锂多硫化物(LiPSs)严重的穿梭效应双重限制。本文通过第一性原理计算,揭示了宽带隙半导体ZnS与金属性FeS在LiPSs催化功能上的失配。拥有优异化学锚定能力的ZnS因较高的决速步能垒陷入只捕不转的动力学僵局,而具备卓越电子传导与催化活性的FeS则受限于热力学吸附能力不足,难以实现高效的捕获。为了优化性能,我们构建了ZnS-FeS异质结,利用界面电子重构实现了功能的完美解耦与协同作用。结果显示,异质结在结处建立了多位点协同吸附,吸附能优于纯FeS和ZnS。异质结通过真空能级的显著下移,使得结处形成高效的内建电场(BIEF),从而降低反应决速步能垒,促进对LiPSs的催化。
Abstract: Lithium-sulfur batteries, as a highly promising next-generation energy storage device, are concerned owing to their exceptional theoretical energy density (2600 Wh kg−1), low cost of sulfur resources, and environmental friendliness. And its practical implementation is severely hindered by the poor electrical conductivity of sulfur and the detrimental “shuttle effect” of intermediate lithium polysulfides (LiPSs). In this paper, first-principles calculations are employed to understand the inherent functional mismatch between wide-bandgap semiconductor ZnS and metallic FeS. ZnS, which has excellent chemical anchoring ability, falls into a kinetic deadlock of “trapping without conversion” due to a high rate-determining step (RDS) energy barrier. And FeS, which holds excellent electronic conductivity and catalytic activity and insufficient thermodynamic adsorption, makes it difficult to achieve efficient polysulfide capture. To obtain better performance, we have constructed ZnS-FeS heterostructure that achieves perfect functional decoupling and synergy through interfacial electronic reconstruction. Results show that the heterostructure establishes a multi-site synergistic adsorption mode at the junction and yields stronger binding energies than that of single-component FeS and ZnS. The significant downward shift of vacuum level at the junction will induce a robust built-in electric field (BIEF), which effectively reduces the energy barrier of RDS and improves the catalysis of LiPSs.
文章引用:张峰, 林志萍. 第一性原理研究MS (M = Fe, Zn)的LiPSs催化性能[J]. 物理化学进展, 2026, 15(1): 7-15. https://doi.org/10.12677/japc.2026.151002

1. 引言

在全球能源转型和碳中和目标的双重驱动下,尤其是在电动汽车和便携式电子设备领域,锂硫电池被认为是后锂离子电池时代最有前途的候选者之一。锂硫电池的优势在于其极高的理论能量密度(2600 Wh kg1)和理论比容量(1675 mAh g1) [1]。正极活性材料硫,具有资源丰富、成本低廉和环境友好等显著优点。然而其实际应用仍面临严峻挑战,其中最具破坏性的便是穿梭效应[2]。研究表明,穿梭效应的严重性与缓慢的动力学紧密相连,特别是从可溶性Li2S6到固态Li2S2/Li2S的液–固转化步骤,其动力学势垒极高[3]。因此,设计能够同时高效锚定和快速催化锂多硫化物(LiPSs)的正极主体材料,被认为是解决锂硫电池核心问题的关键[4]

以金属氧化物、金属氮化物和部分金属硫化物为代表的极性材料被率先开发[5]。它们能通过路易斯酸碱作用或化学键合,与极性的LiPSs产生强烈的化学吸附,有效将其锚定在正极区域,从而在一定程度上抑制了穿梭效应[6]。金属氧化物中的多孔Nb2O5,其表面Nb-O极性键可通过路易斯酸碱作用与LiPSs形成强吸附,静态吸附实验中能使黄色Li2S6溶液迅速透明[7]。金属氮化物TiN凭借N原子与Li+的静电作用及金属阳离子与S2的配位键强力捕获LiPSs [8]。但强吸附往往伴随着弱催化[9]。为了解决动力学迟缓的问题,另一类具有高导电性的材料,如FeS、CoS2、NiS2等,被引入作为高效催化剂[10]。这类材料优异的电子导电性确保了费米能级附近丰富的电子态,能够作为高效的电子供体或受体,显著降低硫还原反应(SRR)的活化能,加速LiPSs的转化[11]。单一组分难以兼顾“强捕获”和“快转化”两大核心性能[12],而异质结工程提供了一种新的解决方案[13]。通过原子尺度耦合互补功能材料,可在界面实现协同催化效应,实现“1 + 1 > 2”的提升[14]。Zhou团队利用TiO2的强吸附力与TiN的优异催化性能,成功构建TiO2/TiN异质结,实现了LiPSs从“捕获”到“转化”的无缝衔接,所组装电池在0.3C下稳定循环300次后,仍能维持927 mAhg1的高容量[15]。针对高硫载量问题,Qin团队设计出Mn3O4/MnS多壳层中空球异质结,通过Mn3O4高效锚定LiPSs、MnS加速转化动力学,并利用中空结构缓解体积膨胀,即便硫载量高达8 mgcm2,仍实现了7.1 mAh cm2的面容量[16],综上展现出异质结工程在提升锂硫电池性能方面的巨大潜力。

ZnS是一种典型的宽带隙半导体。作为一种典型的极性材料,它对LiPSs表现出强大的吸附能力。而FeS呈现金属性,表现出高效的催化转化活性,但其极性较弱,导致其化学锚定LiPSs的能力不足。本文通过密度泛函理论(DFT)计算,系统验证了ZnS、FeS表面LiPSs的吸附能力,并构建了ZnS-FeS异质结讨论LiPSs的“吸附–催化”协同作用机制。这种“1 + 1 > 2”的效果源于ZnS与FeS间的界面电子重构,界面处真空能级的显著下移使异质结功函数降至最低(4.653 eV),极大地优化了电子传输环境。同时,Li2S分解能垒大幅降至0.52 eV,促进放电产物快速解离并加速电化学循环的动力学性能。这使热力学锚定与动力学转化在两个功能位点上实现解耦与同步优化,为锂硫电池高效电催化剂的设计提供了坚实的理论支撑与全新思路。

2. 计算方法

本研究中的所有计算均基于密度泛函理论(DFT) [17],并借助VASP软件包完成[18]。计算采用投影缀加波(PAW)赝势处理电子–离子相互作用,通过广义梯度近似(GGA)结合Perdew-Burke-Ernzerfhof (PBE)泛函描述电子间的交换–关联相互作用[19]。电子波函数基于平面波基组展开,截断能为500 eV,能量和离子力收敛阈值设为1 × 104 eV/Å,布里渊区采样采用3 × 3 × 1的Gamma网格。

所构建的表面分别是硫化铁(FeS)的001面和硫化锌(ZnS)的110面。设置20 Å的真空层以避免周期性边界条件引发的镜像间相互作用。为了定量评估ZnS、FeS和ZnS-FeS异质结对锂多硫化物(LiPSs)的锚定能力,我们计算了吸附能。吸附能由下式描述:

E ads = E Substract+LiPSs E Substract E LiPSs

其中,ESubstrat + LiPSs是LiPSs分子吸附在衬底上并充分优化后的体系总能量;ESubstrat是相同超胞中纯净衬底表面的总能量;ELiPSs是在相同尺寸真空盒子中孤立的LiPSs分子的总能量。理论表明,其绝对值越大,表示吸附能力越强,热力学越稳定。吸附表面与LiPSs分子间的范德华相互作用通过Grimme方案中的DFT-D2 (D代表色散)经验校正[20]。为了深入理解LiPSs与基底之间的电子相互作用和电荷转移机制,做了差分电荷密度分析和Bader Charge电荷分析[21]。表面功函数(Φ)通过提取沿z方向的平面平均静电势获得,定义为真空能级(Ev)与费米能级(Ef)之差,并利用偶极修正以消除周期性极化误差。对于Li2S的分解动力学过程,采用爬坡图像微动弹性带(CI-NEB)方法寻找最小能量路径(MEP),通过在初态与末态间插入合适位点精确定位过渡态能量与反应活化能垒[22]

3. 结果与讨论

3.1. LiPSs在FeS和ZnS表面的催化机理

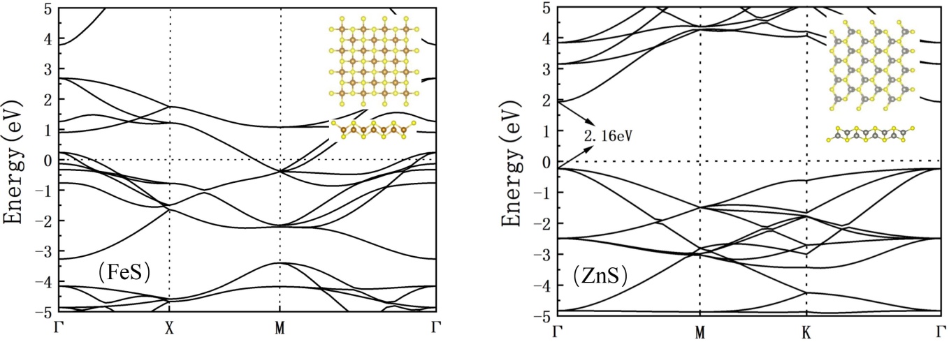
FeS晶体为四方晶系马基诺矿结构(P4/nmm),选取层状(001)表面(如图1左插图所示),它的Fe原子位于四个S原子构成的四面体空隙中,Fe-Fe原子间距约为2.60 Å [23],这一距离接近金属铁中的原子间距,表明层内Fe原子之间存在直接的金属键相互作用。ZnS属于立方闪锌矿结构(空间群F4-3m),二维表面选取其热力学最稳定的(110)面(如图1右插图所示),它能够保持化学计量比的平衡,从而避免了极性面(如111面)可能产生的巨大静电偶极矩[24]图1为二维层状FeS和ZnS的能带图。结果表明,FeS无带隙,呈现金属性;ZnS带有2.16 eV的带隙,呈现了半导体性,具有较高的化学惰性与稳定性,电子跃迁需较高的激发能量。因此,高导电性金属特征的FeS和宽带隙半导体特征的ZnS形成了鲜明对比,FeS基底展现出优异的金属特性,其丰富的费米面电子态可作为高效的电子传输通道,有效弥补ZnS在电化学吸附过程中导电性不足的缺陷,两者在异质结构建中具有显著的电子结构互补优势。

Figure 1. Layered structural models and electronic band structures of FeS and ZnS

1. FeS和ZnS的层状构型及其带隙结构

为明确LiPSs在FeS、ZnS表面的最佳吸附位点,本文对Li2S在不同可能位点的吸附结构进行了弛豫计算,如图2所示。由于库伦相互作用,锂(Li)原子更靠近表面并与硫(S)位点成键。对于FeS表面,Li2S在S的中心穴位吸附能为−3.13 eV,远低于其在桥位(−1.92 eV)和S顶位(−1.65 eV)的吸附能,表明S穴位更有利于捕获LiPSs。这种现象主要归因于Li原子与基底S位点之间的静电吸引和轨道杂化作用。对于ZnS表面,Li2S在S的中心穴位吸附能为−3.27 eV,低于其在S桥位(−2.24 eV)和S顶位(−2.93 eV)的吸附能。在这种构型中可以看出Li2S分子中的Li原子靠近表面与基底中的S位点成键,同时,Li2S分子在ZnS表面的吸附表现出显著的协同双位点锚定效应。分子中的Li原子与基底表面的S位点发生配位,而其自身的S原子则同时与基底的Zn位点成键,这种双位点锚定构型意味着多硫化物分子能够通过更多的原子与基底建立相互作用,从而表明LiPSs分子与ZnS具有更优良的锚定性能。

为了定量分析LiPSs与FeS、ZnS之间的相互作用,计算了从Li2S8到Li2S各阶段中间产物在FeS和ZnS表面的吸附能,结果如图3(b)所示。ZnS对Li2Sn的吸附能力均强于FeS。Li2S、Li2S2、Li2S4、Li2S6和Li2S8的在FeS表面的吸附能分别为−3.06 eV、−2.04 eV、−1.30 eV、−0.98 eV和−1.27 eV,而ZnS表面对LiPSs的吸附能分别为−3.26 eV、−2.71 eV、−2.05 eV、−1.69 eV、−1.51 eV。并且,ZnS对中长链多硫化物的吸附上优势尤为明显,能量差高达0.75 eV。这意味着在抑制可溶性多硫化物的扩散和穿梭方面,ZnS具有更强的热力学驱动力,能够更有效地将这些中间产物锚定在正极区域。

Figure 2. Various adsorption sites and corresponding adsorption energies of Li2S on FeS and ZnS surfaces

2. Li2S在FeS和ZnS表面的不同吸附位点及其对应吸附能

这种热力学差异源于两者表面吸附构型的本质性不同。FeS对LiPSs的吸附主要依赖于单点锚定机制,即LiPSs末端的锂原子与基底表面的S位点形成Li-S键。而ZnS表面展现出一种更为高效的双位点协同锚定机制。除了常规的Li-S相互作用外,LiPSs中的硫原子不仅充当电子供体,还与ZnS表面的亲硫性金属位点Zn发生强烈的路易斯酸碱相互作用,形成了稳定的S-Zn键。这种双重键合形式显著增强了界面结合力,从而能更有效地抑制长链多硫化物的溶解与穿梭效应。图3(b)插图中的吉布斯自由能曲线显示,FeS、ZnS的决速步均处在从液相Li2S4转化为固相Li2S2的过程中。FeS的决速步能垒仅为0.506 eV,而ZnS的反应能垒为0.822 eV。这表明FeS能有效降低氧化还原反应的活化能,促进多硫化物的快速液–固转化。相反,ZnS虽然是一个强力的捕获者,但其在催化动力学上有较大的迟滞。这可能是由于ZnS较宽的带隙或较强的界面吸附限制了中间体的解吸附与后续转化。因此说明,ZnS在抑制穿梭效应方面表现更佳,而FeS则在加速氧化还原动力学方面更具优势。

为了在电子尺度上揭示界面结合机制,本文通过差分电荷密度分析了电荷转移和重新分布情况。当LiPSs吸附到FeS、ZnS表面后,吸附位点周围Li原子和S原子的表面电荷将发生重新分布,如图3(a)所示。在FeS体系中,电荷重新分布主要集中于Li原子与表面S位点之间,而在Fe位点与S原子之间并未观察到显著的电子积聚。尤其对于长链多硫化物,界面之间只出现少量电荷转移区域,表明其相互作用更多地依赖于静电引力,而非强共价键合。对于ZnS体系,LiPSs吸附均展现了明显的化学吸附特征。除了常规的Li-S相互作用外,Zn位点与S原子之间形成了清晰的电子富集通道,且电子云密度高,重叠程度大。这也能证实Zn-S之间形成了强共价键,电子从S的p轨道向Zn的空轨道发生了有效转移和共享。

Figure 3. (a) are optimized adsorption configurations, differential charge density maps. (b) are adsorption energies and Gibbs free energy profiles for Li2Sn (n = 1, 2, 4, 6, 8) on FeS and ZnS surfaces

3. (a) Li2Sn (n = 1, 2, 4, 6, 8)在FeS和ZnS表面的吸附结构、差分密度图;(b) 是Li2Sn (n = 1, 2, 4, 6, 8)在FeS和ZnS表面的吸附能和吉布斯自由能反应曲线

表1通过Bader charge计算收集了小分子Li2S和大分子Li2S6转移的电荷。ZnS体系中S原子的电荷获得量(0.989e和0.998e)普遍高于FeS体系(0.658e和0.581e),且Zn原子的电荷损失绝对值(0.839e和0.858e)大于Fe原子(0.525e和0.545e)的。这表明LiPSs与ZnS表面的电荷转移强度更强,吸附相互作用更显著。这种强烈的电荷转移差异源于ZnS固有的高极性晶体结构和半导体电子特性。ZnS中的Zn2+与S2之间存在较强的离子键成分,且Zn的4s、4p轨道与S的3p轨道形成sp3杂化[25],轨道重叠程度高于FeS,使得ZnS对LiPSs的吸附以强烈的路易斯酸–碱相互作用为主[26],从而高效地锚定并捕获LiPSs中的电子,导致了更强的热力学吸附能。而FeS体系则侧重于d轨道电子参与的共价机制,通过d-p轨道耦合提供稳定的吸附位点[27],使FeS的电荷转移效率略低于ZnS。

Table 1. Calculated Bader charge transfer for LiPSs adsorbed on the surfaces of FeS and ZnS

1. 吸附在FeS和ZnS表面的LiPSs转移Bader电荷

LiPSs

FeS

ZnS

Li

S

Fe

S基底

Li

S

Zn

S基底

Li2S

−0.873e

0.621e

−0.525e

0.658e

−0.861e

1.315e

−0.839e

0.989e

Li2S6

−0.874e

0.663e

−0.545e

0.581e

−0.864e

0.671e

−0.858e

0.998e

3.2. ZnS-FeS异质结的结区LiPSs催化机理

Figure 4. (a)~(c) calculated work functions of FeS, ZnS, and the ZnS-FeS heterostructure; (d)~(f) Li2S decomposition energy barriers on FeS, ZnS, and the ZnS-FeS heterostructure; (g) Gibbs free energy profiles for SRR on the ZnS-FeS surface at equilibrium potential, with the inset illustrating the adsorption energies for Li2Sn

4. (a)~(c)分别展示了FeS、ZnS和ZnS-FeS的功函数;(d)~(f)分别为FeS、ZnS和ZnS-FeS的分解能垒;(g)为平衡电位下,硫还原反应在ZnS-FeS表面的吉布斯自由能曲线,插图为对Li2Sn的吸附能

为改善锂硫电池中多硫化物转化动力学迟缓与穿梭效应等问题,开发兼具强吸附与高催化活性的异质结材料已成为研究热点。本文构建了低晶格失配率的ZnS-FeS异质结界面。FeS、ZnS和异质结的功函数计算结果如图4(a)~(c)所示。结果显示,ZnS-FeS异质结的功函数为4.653 eV,明显低于单一组分的ZnS (5.99 eV)和FeS (4.807 eV)。该异质结物理层展现出更优异的性能,其根源于结处电荷重新分布诱导的偶极矩效应,使得真空能级显著下移,从而在结区构筑了高效的内建电场(BIEF)来加速电子的跨界面迁移。此外,针对充电过程中最为关键的固-液转化步骤,本文对扩散能垒进行了分析,如图4(d)~(f)显示,ZnS-FeS异质结的结区Li2S分解能垒由单体FeS的0.77 eV骤降至0.52 eV,而纯ZnS的能垒则高达1.79 eV。ZnS-FeS异质结更低的扩散能垒避免了Li2S沉积团聚导致的穿梭效应,提升了电池反应速率。

图4(g)可以观察到ZnS-FeS吸附构型的LiPSs分子以一种跨越界面的桥接模式稳定存在。具体来说,多硫化物中的一个Li原子与FeS基底的S位点成键,而另一个Li原子则与ZnS基底的S位点成键,并且多硫化物中的一个S原子同时与ZnS基底中的Zn位点成键。这种多位点、跨界面的化学键合提供了比单一材料中更稳定、数量更多的结合位点,从而显著增强了吸附稳定性,进一步强化了对多硫化物的吸附能。为定量分析LiPSs与ZnS-FeS界面的相互作用,计算了从Li2S8到Li2S各阶段中间产物在ZnS-FeS结区的吸附能(图4(g)插图)。结果显示,ZnS-FeS对Li2S、Li2S2、Li2S4、Li2S6和Li2S8的吸附能分别为−3.43 eV、−3.08 eV、−2.22 eV、−1.8 eV和−1.832 ev。通过对比可知ZnS-FeS异质结对所有Li2Sn的吸附能均为三者中的最低值,显示出更强的化学相互作用。这种吸附能力的增强并非是两种单体性能的简单加和,而是界面相互作用产生的协同增强效应。强大的化学锚定能力是实现对LiPSs捕获功能的先决条件,能有效地将LiPSs固定在电极表面,为后续的催化转化奠定基础。硫还原反应的动力学行为是衡量催化剂催化性能的关键指标,图4(g)的吉布斯自由能曲线清晰显示,ZnS-FeS异质结的反应决速步仍处于液相Li2S4向固相Li2S2的转化阶段,但其决速步能垒已降至0.455 eV,低于单一组分FeS的0.506 eV与ZnS的0.822 eV,直观印证了该异质结更优异的电催化活性。

4. 结论

本文基于第一性原理计算,研究了宽带隙半导体ZnS和金属性FeS及其异质结ZnS-FeS作为锂硫电池LiPSs的催化机制。宽带隙ZnS凭借其极性表面展现出对LiPSs的强化学吸附能力,能有效地将可溶性中间体锚定在电极表面,但其硫还原反应的能垒高达0.822 eV,催化转化动力学较为缓慢。金属性的FeS虽然拥有较低的催化动力学能垒0.506 eV,能够确保快速的电子传输,但其对LiPSs的吸附能力相对较弱,难以从根本上解决穿梭效应问题。这种热力学与动力学之间的内在矛盾,使得传统的单组分材料难以实现LiPSs的“强捕获”与“快转化”的完美统一。针对这一核心问题,我们构建了ZnS-FeS异质结。结果表明,ZnS-FeS异质结对所有LiPSs的吸附能力均强于单组分ZnS和FeS,且其关键的硫还原反应决速步能垒仅为0.455 eV,不仅远低于ZnS,也低于FeS的0.506 eV。LiPSs分子在ZnS-FeS异质结区形成了一种独特的跨界面多点锚定构型:分别为一个Li原子与FeS基底的S位点成键,另一个Li原子与ZnS基底的S位点成键,同时多硫化物中的一个S原子与ZnS基底的Zn位点成键。此外,Bader电荷分析和功函数进一步说明,结区电子结构差异导致的结区电荷重新分布,形成局域内建电场。内建电场不仅强化了多点锚定作用,更作为电子定向转移的驱动力,显著降低了硫还原反应的活化能,加速了锂硫催化反应动力学。

参考文献

[1] Liu, R., Wei, Z., Peng, L., Zhang, L., Zohar, A., Schoeppner, R., et al. (2024) Establishing Reaction Networks in the 16-Electron Sulfur Reduction Reaction. Nature, 626, 98-104. [Google Scholar] [CrossRef] [PubMed]
[2] Bi, C., Hou, L., Li, Z., Zhao, M., Zhang, X., Li, B., et al. (2023) Protecting Lithium Metal Anodes in Lithium-Sulfur Batteries: A Review. Energy Material Advances, 4, Article ID: 0010. [Google Scholar] [CrossRef
[3] Liu, D., Zhang, C., Zhou, G., Lv, W., Ling, G., Zhi, L., et al. (2018) Catalytic Effects in Lithium-Sulfur Batteries: Promoted Sulfur Transformation and Reduced Shuttle Effect. Advanced Science, 5, Article 1700270. [Google Scholar] [CrossRef] [PubMed]
[4] Ting, L.K.J., Gao, Y., Wang, H., Wang, T., Sun, J. and Wang, J. (2022) Lithium Sulfide Batteries: Addressing the Kinetic Barriers and High First Charge Overpotential. ACS Omega, 7, 40682-40700. [Google Scholar] [CrossRef] [PubMed]
[5] Haridas, A.K. and Huang, C. (2023) Advances in Strategic Inhibition of Polysulfide Shuttle in Room-Temperature Sodium-Sulfur Batteries via Electrode and Interface Engineering. Batteries, 9, Article 223. [Google Scholar] [CrossRef
[6] Liu, R., Tao, W., Du, Y., Wu, C., Ye, H., Fan, M., et al. (2022) ZnS-Nanoparticle-Coated Carbon Cloth as an Efficient Interlayer for High-Performance Li-S Batteries. ACS Applied Energy Materials, 5, 12408-12414. [Google Scholar] [CrossRef
[7] Wang, J., Chen, L., Zhao, B., Liang, C., Wang, H. and Zhang, Y. (2023) Porous Nb2O5 Formed by Anodic Oxidation as the Sulfur Host for Enhanced Performance Lithium-Sulfur Batteries. Nanomaterials, 13, Article 777. [Google Scholar] [CrossRef] [PubMed]
[8] Yao, Z., Zou, Y., Liu, S., Li, Y., Guo, Q., Zheng, C., et al. (2025) Reactivity Descriptors for Sulfur Redox Kinetics in Lithium-Sulfur Batteries: From Mechanistic Insights to Machine Learning Driven Catalyst Design. Chemical Society Reviews, 54, 9161-9191. [Google Scholar] [CrossRef
[9] Peng, L., Wei, Z., Wan, C., Li, J., Chen, Z., Zhu, D., et al. (2020) A Fundamental Look at Electrocatalytic Sulfur Reduction Reaction. Nature Catalysis, 3, 762-770. [Google Scholar] [CrossRef
[10] Zhou, G., Tian, H., Jin, Y., Tao, X., Liu, B., Zhang, R., et al. (2017) Catalytic Oxidation of Li 2 S on the Surface of Metal Sulfides for Li-S Batteries. Proceedings of the National Academy of Sciences, 114, 840-845. [Google Scholar] [CrossRef] [PubMed]
[11] Huang, Z., Wang, Z., Zhou, L. and Pu, J. (2024) Research Progress in Performance Improvement Strategies and Sulfur Conversion Mechanisms of Li-S Batteries Based on Fe Series Nanomaterials. Nano Research, 17, 8045-8067. [Google Scholar] [CrossRef
[12] Li, H., Chen, C., Yan, Y., Yan, T., Cheng, C., Sun, D., et al. (2021) Utilizing the Built‐in Electric Field of P-N Junctions to Spatially Propel the Stepwise Polysulfide Conversion in Lithium-Sulfur Batteries. Advanced Materials, 33, Article 2105067. [Google Scholar] [CrossRef] [PubMed]
[13] Luo, Y., Zhang, Z., Wang, Y., Zheng, Y., Jiang, X., Zhao, Y., et al. (2025) A Review of the Application of Metal-Based Heterostructures in Lithium-Sulfur Batteries. Catalysts, 15, Article 106. [Google Scholar] [CrossRef
[14] Sun, Z., Wang, Y., Xu, J. and Wang, X. (2024) Mo3p/Mo Heterojunction for Efficient Conversion of Lithium Polysulfides in High-Performance Lithium-Sulfur Batteries. Frontiers in Chemistry, 12, Article ID: 1459324. [Google Scholar] [CrossRef] [PubMed]
[15] Zhou, T., Lv, W., Li, J., Zhou, G., Zhao, Y., Fan, S., et al. (2017) Twinborn TiO2-Tin Heterostructures Enabling Smooth Trapping-Diffusion-Conversion of Polysulfides Towards Ultralong Life Lithium-Sulfur Batteries. Energy & Environmental Science, 10, 1694-1703. [Google Scholar] [CrossRef
[16] Qin, B., Wang, Q., Yao, W., Cai, Y., Chen, Y., Wang, P., et al. (2023) Heterostructured Mn3O4‐MnS Multi‐Shelled Hollow Spheres for Enhanced Polysulfide Regulation in Lithium-Sulfur Batteries. Energy & Environmental Materials, 6, e12475. [Google Scholar] [CrossRef
[17] Dominguez, J. E. Q., Christiansen, M. P. V., Neyman, K. M., Hammer, B., & Bruix, A. (2025) Efficient Grand Canon-ical Global Optimization with On-the-Fly-Trained Machine-learning Interatomic Potentials. Arxiv:2509.19968.
[18] Kresse, G. and Furthmüller, J. (1996) Efficient Iterative Schemes For ab Initio Total-Energy Calculations Using a Plane-Wave Basis Set. Physical Review B, 54, 11169-11186. [Google Scholar] [CrossRef] [PubMed]
[19] Perdew, J.P., Burke, K. and Ernzerhof, M. (1996) Generalized Gradient Approximation Made Simple. Physical Review Letters, 77, 3865-3868. [Google Scholar] [CrossRef] [PubMed]
[20] Grimme, S., Hansen, A., Brandenburg, J.G. and Bannwarth, C. (2016) Dispersion-Corrected Mean-Field Electronic Structure Methods. Chemical Reviews, 116, 5105-5154. [Google Scholar] [CrossRef] [PubMed]
[21] Sanville, E., Kenny, S.D., Smith, R. and Henkelman, G. (2007) Improved Grid‐Based Algorithm for Bader Charge Allocation. Journal of Computational Chemistry, 28, 899-908. [Google Scholar] [CrossRef] [PubMed]
[22] Zhang, R., Guo, J., Chen, L. and Tao, F. (2025) Adsorption and Decomposition Mechanisms of Li2s on 2D Thgraphene Modulated by Doping and External Electrical Field. Materials, 18, Article 3269. [Google Scholar] [CrossRef] [PubMed]
[23] Dzade, N.Y., Roldan, A. and de Leeuw, N.H. (2014) The Surface Chemistry of Nox on Mackinawite (FeS) Surfaces: A DFT-D2 Study. Physical Chemistry Chemical Physics, 16, 15444-15456. [Google Scholar] [CrossRef] [PubMed]
[24] Dengo, N., Vittadini, A., Natile, M.M. and Gross, S. (2020) In-depth Study of ZnS Nanoparticle Surface Properties with a Combined Experimental and Theoretical Approach. The Journal of Physical Chemistry C, 124, 7777-7789. [Google Scholar] [CrossRef
[25] Tian, H., Lei, Y., Sun, B., Yang, C., Chen, C., Huang, T., et al. (2025) P-d Orbital Hybridization Induced by Transition Metal Atom Sites for Room-Temperature Sodium-Sulfur Batteries. National Science Review, 12, nwaf241. [Google Scholar] [CrossRef] [PubMed]
[26] Wang, X., Huang, H., Liang, B., Liu, Z., Chen, D. and Shen, G. (2013) ZnS Nanostructures: Synthesis, Properties, and Applications. Critical Reviews in Solid State and Materials Sciences, 38, 57-90. [Google Scholar] [CrossRef
[27] Guo, J., Chen, L., Wang, L., Liu, K., He, T., Yu, J., et al. (2025) Te-Modulated Fe Single Atom with Synergistic Bidirectional Catalysis for High-Rate and Long-Cycling Lithium-Sulfur Battery. Nano-Micro Letters, 18, Article No. 31. [Google Scholar] [CrossRef] [PubMed]