内蒙古化德地区三面井组沉积环境及大地构造背景研究
Study on the Sedimentary Environment and Tectonic Setting of the Sanmianjing Formation in the Huade Area, Inner Mongolia
DOI: 10.12677/gser.2026.151001, PDF, HTML, XML,    科研立项经费支持
作者: 尚京博, 原宁波, 柳 冰, 王建民, 李朋元, 孙宇飞*:中国地质调查局廊坊自然资源综合调查中心,天津
关键词: 三面井组粒度分析沉积环境内蒙古Sanmianjing Formation Grain Size Analysis Sedimentary Environment Inner Mongolia
摘要: 在进行内蒙古1:5万区域地质调查工作中,对内蒙古化德县同乐村北东一带的下二叠统三面井组粉砂岩进行了粒度分析。结果表明,样品粒度多分布在4.5 Φ左右,表明岩性以细砂和粉砂为主,样品标准偏差多在0.6~0.9之间,表明分选性较好;偏度多为0.1~1之间,峰度多为2~4,样品粒度多大于3 Φ,显示以悬移为主,可见少量跃移。概率累积曲线图多为二段式具浅海相砂岩特征。结合岩石组合类型、沉积构造特征和粒度分析结果,综合得出三面井组为滨–浅海相沉积,且为古亚洲洋向华北陆缘俯冲背景下的弧后盆地沉积。
Abstract: During the 1:50,000 regional geological survey in Inner Mongolia, grain size analysis was conducted on feldspathic lithic sandstones from the Lower Permian Sanmianjing Formation in the northeastern area of Tónglè Village, Huade County, Inner Mongolia. The results indicate that the grain sizes of the samples are mostly distributed around 4.5 Φ, suggesting the lithology is predominantly fine sand and silt. The standard deviation of the samples mostly ranges from 0.6 to 0.9, indicating relatively good sorting. The skewness is mostly between 0.1 and 1, and the kurtosis is mostly between 2 and 4. The grain sizes are mostly greater than 3 Φ, indicating a dominance of suspended transport with a minor presence of saltation. The probability cumulative curves are mostly two-segmented, characteristic of shallow marine sandstones. Based on the rock assemblage types, sedimentary structures, and grain size analysis results, it is comprehensively concluded that the Sanmianjing Formation represents a littoral-shallow marine sedimentary environment, deposited in a back-arc basin under the tectonic setting of the Paleo-Asian Ocean subducting beneath the North China margin.
文章引用:尚京博, 原宁波, 柳冰, 王建民, 李朋元, 孙宇飞. 内蒙古化德地区三面井组沉积环境及大地构造背景研究[J]. 地理科学研究, 2026, 15(1): 1-7. https://doi.org/10.12677/gser.2026.151001

1. 引言

三面井组最初由原河北省区域地质调查大队鞠紫云命名,岩性由细砂岩、含砾砂岩与含Misellina claudiae蜓化石带及珊瑚、腕足类化石的灰岩组成。由于三面井组分布零星、不连续,近些年对其研究比较少,对于其形成环境前人多认为是正常浅海和滨海沉积[1]-[3]。但前人在正镶白旗地区开展区域地质调查时,认为这一地区的三面井组岩石组合均为陆源碎屑岩,暗示其可能形成于陆相环境[4] [5]。目前,对于三面井组沉积环境的认识,多根据岩石或生物组合来分析判断,未曾开展沉积物的成因分析。

本次研究的三面井组仅在化德县同乐村一带分布,通过测制剖面(图1),该地区三面井组主要为一套陆源碎屑岩夹碳酸盐岩建造。三面井组在GF-2影像中表现为灰绿色不规则粗糙的块状,风化较严重,影像中可见部分棕色斑驳,在区内形成缓丘陵地形,馒头状山脊,岩体中穿插有亮白色石英脉,水系不发育,植被也不发育,第四系冲洪积物的分界不明显。三面井组自下而上岩性主要为砾岩、灰绿色、灰黄色长石岩屑砂岩、生物碎屑灰岩、粉砂岩。灰岩呈厚层状产出,层间可见高岭土化、钙化发育,岩石内多见生物化石,其中双壳化石最大长度可达4~5 cm,蜓类最大长度可达1 cm。该组主要为一套陆源碎屑岩夹碳酸盐岩建造。与上覆额里图火山岩为整合接触关系,与下覆比鲁特组为角度不整合接触,厚度大于114.7 m。

Figure 1. Measured section of the sanmianjing formation (P1s), Tongle Village, Huade County, Inner Mongolia Autonomous Region

1. 内蒙古自治区化德县同乐村三面井组(P1s)实测剖面图

2. 研究方法

为准确分析三面井组的沉积环境,本研究在化德县同乐村北东一带的PM201实测剖面中系统采集了6个粉砂岩样品(样品编号:PM201-42-1LF、PM201-38-1LF、PM201-44-1LF、PM201-37-1LF、PM201-40-1LF、PM201-50-1LF)。这些样品主要取自剖面的中下部粉砂岩层位,其中PM201-42-1LF和PM201-38-1LF位于剖面下部灰绿色粉砂岩层以及生物碎屑灰岩夹层附近,PM201-44-1LF和PM201-37-1LF位于中部的粉砂岩,PM201-40-1LF和PM201-50-1LF位于上部灰黄色长石岩屑砂岩过渡层(详见图1中标注的样品位置)。

粒度分析采用激光粒度仪法,使用Malvern Mastersizer 3000激光粒度分析仪进行测试。该仪器基于激光衍射原理,通过测量颗粒对激光的散射模式来确定粒度分布。样品预处理包括去除有机质和碳酸盐,使用超声波分散后注入仪器中,测试粒径范围为0.01~3500 μm。每个样品重复测量三次,取平均值以确保数据可靠性。粒度参数(如平均粒径Mz、标准偏差σ、偏度SK和峰度K)采用矩法计算。此外,对砂岩样品进行了薄片鉴定和骨架颗粒统计,使用偏光显微镜计数石英、长石和岩屑含量,每片计数至少300点。

3. 三面井组沉积环境分析

在三面井组系统采集的粉砂岩样品,通过详细的粒度分析,获得了系统的粒度数据(表1)及粒度参数(表2)。从分析结果来看,样品的粒度主要集中分布在4.5 Φ左右,说明岩性组成以细砂和粉砂为主,反映沉积物整体偏细。样品的标准偏差多数介于0.6~0.9之间,属于分选性较好的范畴,说明沉积过程中水动力条件相对稳定,沉积物经过了一定程度的筛选和改造。偏度值大多在0.1至1之间,显示沉积物在粒度分布上略呈正偏,即细粒组分略占优势;峰度值多处于2~4之间,表现为中等至尖锐的峰形,表明沉积物在主要粒级范围内集中程度较高。此外,样品中绝大多数颗粒的粒度大于3 Φ,指示沉积方式以悬移质为主,同时可见少量跃移组分,反映沉积环境水动力不强,悬浮沉降是主要沉积机制。

Table 1. Grain size analysis data of sandstone from the PM201 section of the Sanmianjing formation

1. 三面井组PM201剖面砂岩粒度分析数据

PM201-42-1LF

PM201-38-1LF

PM201-44-1LF

Φ值

频率

百分数/%

累积百分

含量/%

Φ值

频率

百分数/%

累积百分

含量/%

Φ值

频率

百分数/%

累积百分

含量/%

2~2.5

1

1.00

2~2.5

0

0

2~2.5

0

0

2.5~3

6.33

7.33

2.5~3

0

0

2.5~3

0.33

0.33

3~3.5

23.67

31.00

3~3.5

0.27

0.27

3~3.5

1.99

2.33

3.5~4

28.67

59.67

3.5~4

1.86

2.13

3.5~4

8.97

11.30

4~4.5

25

84.67

4~4.5

11.70

13.83

4~4.5

22.26

33.55

4.5~5

9

93.67

4.5~5

26.86

40.69

4.5~5

37.54

71.10

5~5.5

4.33

98.00

5~5.5

29.79

70.48

5~5.5

18.94

90.03

5.5~6

1.33

99.33

5.5~6

19.68

90.16

5.5~6

1.64

97.67

6~6.5

0.67

100.00

6~6.5

7.71

97.87

6~6.5

1.66

99.34

6.5~7

2.13

100.00

6.5~7

0.66

100.00

续表

PM201-37-1LF

PM201-40-1LF

PM201-50-1LF

Φ值

频率

百分数/%

累积百分

含量/%

Φ值

频率

百分数/%

累积百分

含量/%

Φ值

频率

百分数/%

累积百分

含量/%

1~1.5

0

0

1~1.5

0

0

1~1.5

2.69

2.69

1.5~2

0

0

1.5~2

0

0

1.5~2

12.87

15.57

2~2.5

0

0

2~2.5

0.33

0.33

2~2.5

24.25

39.82

2.5~3

0.66

0.66

2.5~3

4.93

5.26

2.5~3

27.25

67.07

3~3.5

2.30

2.95

3~3.5

11.51

16.78

3~3.5

19.46

86.53

3.5~4

11.48

14.43

3.5~4

19.08

35.86

3.5~4

8.38

94.91

4~4.5

16.39

30.82

4~4.5

19.08

54.93

4~4.5

3.59

98.50

4.5~5

25.25

56.07

4.5~5

23.68

78.62

4.5~5

1.20

99.70

5~5.5

22.95

79.02

5~5.5

14.14

92.76

5~5.5

0.30

100.00

5.5~6

12.79

91.80

5.5~6

3.95

96.71

6~6.5

6.56

98.36

6~6.5

1.97

98.68

6.5~7

1.64

100.00

6.5~7

0.66

99.34

7~7.5

0.66

100.00

Table 2. Table of grain size parameters of sandstone from the PM201 section of the Sanmianjing formation (calculated by the moment method)

2. 三面井组PM201剖面砂岩粒度参数表(矩法计算)

序号

平均值(Mz)

标准偏差(σ)

偏度(SK)

峰度(K)

PM201-42-1LF

3.88

0.69

0.55

2.56

PM201-38-1LF

5.17

0.64

0.14

2.83

PM201-44-1LF

4.38

0.63

1.30

4.19

PM201-37-1LF

4.88

0.78

0.002

2.69

PM201-40-1LF

4.35

0.86

0.29

3.19

PM201-50-1LF

2.73

0.73

0.44

3.16

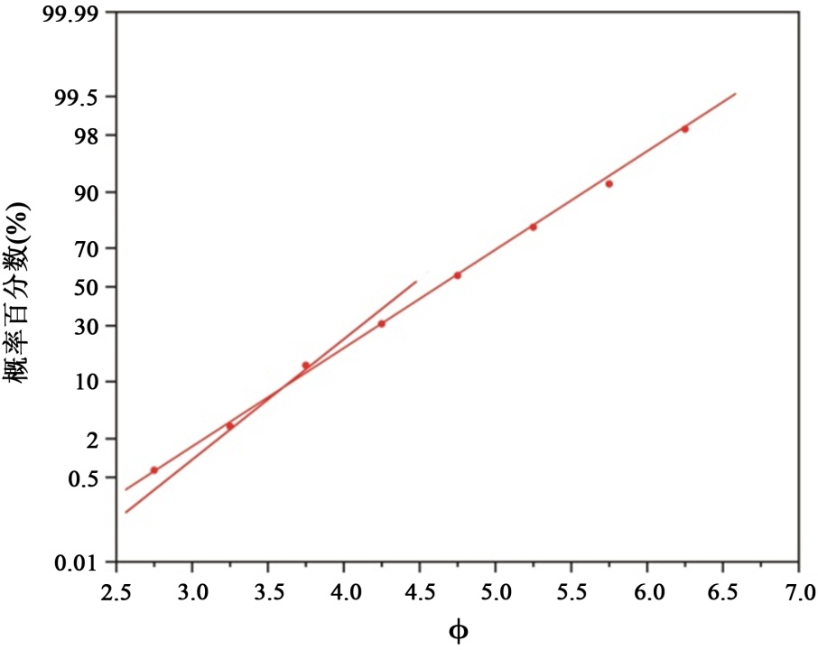
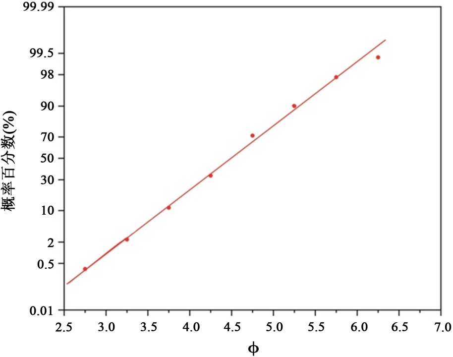
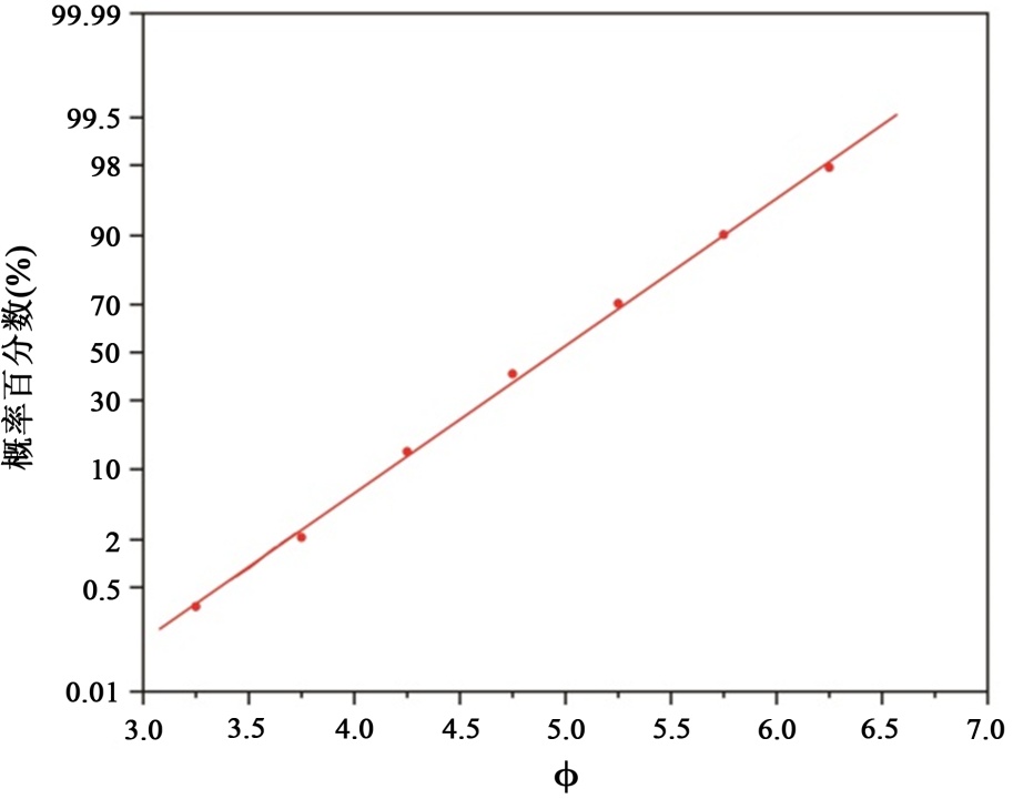
这些粒度特征与浅海相砂岩的典型模式高度一致,例如二段式概率累积曲线(图2)显示跃移组分和悬移组分的清晰分界,跃移组分坡度较陡(约65˚~75˚),悬移组分坡度较缓(约10˚~20˚),这通常见于潮汐影响下的滨浅海环境,而非河流或湖泊环境中的三段式或多段式曲线。

进一步结合剖面中的岩石组合和沉积构造特征,可以更全面地论证沉积环境。三面井组岩石组合以陆源碎屑岩(砾岩、长石岩屑砂岩、粉砂岩)夹碳酸盐岩(生物碎屑灰岩)为主,灰岩呈厚层状产出,层间发育高岭土化和钙化,表明间歇性暴露和浅水碳酸盐沉积。沉积构造包括水平层理、波状层理和生物扰动迹,以及丰富的海洋生物化石(如双壳类、蜓类、珊瑚和腕足类),这些特征指向潮汐主导的滨–浅海环境,水体能量较低,利于细粒悬浮物质沉积。与可能的其他环境进行对比,例如湖相环境通常显示更差的分选性(标准偏差 > 1.0)和更强的季节性层理变化,且缺乏海洋化石;陆相河流环境则多见粗粒跃移主导(粒度<3 Φ)和

PM201-42-1LF (粉砂岩) PM201-38-1LF (薄层石英砂岩)

PM201-44-1LF (土灰色细砂岩) PM201-37-1LF (泥质粉砂岩)

PM201-40-1LF (薄层粉砂岩) PM201-50-1LF (粉砂岩)

Figure 2. Probability cumulative curve diagram of sediments in the Sanmianjing formation

2. 三面井组中沉积物概率累积曲线图

交叉层理。本研究数据不支持这些替代解释,因为粒度偏细、正偏度和二段式曲线更符合浅海陆架体系,而化石证据进一步排除陆相假设。因此,综合粒度分析、岩石组合和沉积构造,三面井组形成于滨–浅海相沉积环境,整体属于水体能量较弱、沉积物供应以细粒悬浮物质为主的陆架浅海沉积体系。

4. 大地构造背景浅析

本次研究对三面井组30块砂岩样品开展了系统的砂岩骨架颗粒统计与分析。结果显示,样品中石英含量介于20%~30%之间,且以单晶石英为主;长石含量同样在20%~30%范围内;岩屑含量显著偏高,达40%~60%,并以火山岩岩屑占主导。该矿物组成特征反映物源区以中–酸性火山岩为主,并经历了较短距离的搬运和较弱的化学风化作用。在Q-F-L、Qm-F-L和Qp-Lvm-Lsm三角投图(图3)中,30块样品的数据点集中分布于岩浆弧区域,明确揭示三面井组砂岩物源区的构造属性属于岩浆弧背景。综合三面井组沉积环境特征,结合其砂岩骨架颗粒组成与构造判别结果,认为三面井组形成于古亚洲洋板块向华北陆缘俯冲背景下的弧后盆地沉积环境,是区域构造–沉积响应的直接体现。

Figure 3. Tectonic settings of provenance from Qt-F-L, Qm-F-L, and Qp-Lvm-Lsm triangular diagrams of the Sanmianjing formation (provenance division after Dickinson, 1984) (Qt: All quartz grains, Qp: Polygranular quartz grains, F: All feldspar grains. Lvm: All volcanic and metamorphic volcanic rock grains, Lsm: All sedimentary or metamorphic sedimentary rock grains. A: Re-cycled orogenic belts; B: Stable cratons or uplifted basement; C: Volcanic arcs; P: Accretionary wedges)

3. 三面井组Qt-F-L、Qm-F-L和Qp-Lvm-Lsm三角图解的物源板块构造类型(物源分区据Dickinson,1984) (Qt:所有石英颗粒,Qp:多晶石英颗粒,F:所有长石颗粒。Lvm:所有火山岩和变质火山岩颗粒,Lsm:所有沉积岩或变质沉积岩颗粒。A:再旋回造山带;B:稳定克拉通或隆起的基底;C:火山弧;P:增生楔)

5. 讨论

本研究通过粒度分析和砂岩组分统计,得出三面井组为滨–浅海相沉积于弧后盆地的结论,与前人研究存在一定异同。前人[1] [3]基于岩石和生物组合,认为三面井组为正常浅海或滨海沉积,这与本文的滨–浅海相判断一致,均强调海洋影响。但[5]在正镶白旗地区提出陆相环境假设,主要基于纯陆源碎屑岩组合,缺乏化石证据。本文通过粒度数据(如二段式曲线和悬移主导)及化石记录(如海洋双壳类和蜓类)直接反驳陆相观点,表明化德地区三面井组受海洋入侵影响更强。分歧原因可能源于区域变异:正镶白旗地区可能更靠近陆缘,沉积更陆相化,而化德地区位于盆地更内部,受古亚洲洋俯冲弧后扩展影响,形成浅海陆架。相比[6]-[9]的中二叠世岛弧或陆缘环境研究,本文强调下二叠统的弧后盆地背景,提供粒度动力学证据,填补了前人仅靠岩石组合判断的空白。不确定性包括样品覆盖范围有限,未来可扩展到更多剖面以验证区域一致性。总体而言,本研究强化了三面井组作为晚古生代构造演化记录的意义,为古亚洲洋闭合过程提供新视角。

6. 结论

1) 综合判定化德地区三面井组形成于滨—浅海沉积环境,而非前人推测的陆相环境,为该组沉积相争议提供了关键的沉积动力学证据。

2) 该区三面井组砂岩以高含量的火山岩岩屑(40%~60%)和中低含量的石英、长石为特征,反映其物源主要来自中–酸性火山岩,并经历了短距离搬运和较弱的化学风化作用。在Dickinson三角图解中,所有样品点均落于岩浆弧区域,明确指示其形成于与岩浆弧相关的构造背景。

3) 综合沉积环境与物源区分析结果,本研究认为三面井组是在古亚洲洋板块向华北克拉通北缘俯冲的构造体制下,于弧后盆地中沉积的产物,表明三面井组是晚古生代–早中生代期间华北板块北缘构造–沉积响应的直接记录,为深入理解古亚洲洋最终闭合过程中的构造–古地理格局演变提供了重要的实证支撑。

基金项目

中国地质调查局“内蒙古化德——商都地区区域地质调查(编号:DD20230251)”项目资助。

NOTES

*通讯作者。

参考文献

[1] 河北省地质矿产局. 1:20万康保-太仆寺旗区域地质调查报告[R]. 1980.
[2] 河北省区调队. 1:20万张家口幅地质图及说明书[Z]. 1967.
[3] 河北省地质矿产局. 1:20赤城幅区域地质调查报告[R]. 1990.
[4] 河北省地质矿产局. 1:20太仆寺旗幅区域地质调查报告[R]. 1990.
[5] 卢观送, 李锋, 梅杨, 等. 内蒙古正镶白旗二叠系下统三面井组基本特征及成矿规律[J]. 科技视界, 2012(27): 410+369.
[6] 田树刚, 范嘉松, 施立志, 等. 内蒙古、河北交界区中二叠世三面井期岛弧型陆缘环境[J]. 地球学报, 2021, 42(4): 472-486.
[7] 陈井胜, 邢德和, 刘淼, 等. 内蒙古元宝山小建昌营子地区三面井组沉积环境[J]. 世界地质, 2015, 34(4): 1013-1023.
[8] 刘智荣, 黄静宜, 陆丽娜, 等. 内蒙古正镶白旗中二叠统三面井组沉积古环境研究[J]. 地层学杂志, 2013, 37(4): 593.
[9] 李文国, 申长福, 贺希格. 讨论三面井组及其相关问题[J]. 地层学杂志, 1986(1): 16-23.