基于S型速度曲线的B样条轨迹规划研究
Research on B-Spline Trajectory Planning Based on S-Shaped Velocity Curve
DOI: 10.12677/mos.2026.152030, PDF, HTML, XML,    科研立项经费支持
作者: 范江涛:北京印刷学院机电工程学院,北京;蒋小珊*:北京印刷学院机电工程学院,北京;北京印刷学院数字化印刷装备北京市重点实验室,北京;北京印刷学院,印刷装备北京市高等学校工程研究中心,北京
关键词: B样条曲线轨迹规划弧长数值积分S型速度规划切向量分解B-Spline Curve Trajectory Planning Numerical Integration of Arc Length S-Shaped Velocity Planning Tangent Vector Decomposition
摘要: 针对三轴联动数控加工过程中存在的曲率突变、速度不连续以及由此引发的伺服冲击与振动问题,本文提出一种基于三次非均匀B样条曲线拟合与S型速度规划相结合的轨迹优化方法。首先,选取三次非均匀B样条曲线并引入复合辛普森积分实现曲线弧长的高精度数值计算。设计分段式S型速度规划,应用切向量分解法将得到曲线一维动态量投影分解至x、y、z三轴。仿真结果表明:在最大速度10 mm/s、最大加速度10 mm/s2、最大加加速度30 mm/s3的约束下,所规划轨迹长度为26.95 mm,总运行时间为2.66 s,速度与加速度无突变,跃度变化受控且整体连续,验证了该方法在轨迹平滑性与动态可控性方面的有效性。
Abstract: To address the issues of curvature discontinuity, velocity discontinuity, and the resulting servo shock and vibration in three-axis CNC machining, this paper proposes a trajectory optimization method combining cubic non-uniform B-spline curve fitting with S-shaped velocity planning. Firstly, cubic non-uniform B-spline curves are selected and the composite Simpson integral is introduced to achieve high-precision numerical calculation of the curve arc length. A piecewise S-shaped velocity planning is designed, and the one-dimensional dynamic quantities of the obtained curve are projected and decomposed into the x, y, and z axes using the tangent vector decomposition method. Simulation results show that under the constraints of a maximum speed of 10 mm/s, a maximum acceleration of 10 mm/s2, and a maximum jerk of 30 mm/s3, the planned trajectory length is 26.95 mm, the total running time is 2.66 s, the velocity and acceleration have no sudden changes, the jerk variation is controlled and overall continuous, verifying the effectiveness of this method in terms of trajectory smoothness and dynamic controllability.
文章引用:范江涛, 蒋小珊. 基于S型速度曲线的B样条轨迹规划研究[J]. 建模与仿真, 2026, 15(2): 22-30. https://doi.org/10.12677/mos.2026.152030

1. 引言

三轴联动数控加工与3D打印等装备的运动质量在很大程度上取决于轨迹的几何连续性与速度规划的动态可实现性[1]。常见的直线和圆弧离散插补虽然实现简单,但在路径段连接处易产生曲率突变与速度、加速度不连续,从而引起伺服系统冲击、振动与跟踪误差增大,最终影响加工表面质量与设备寿命[2]。为改善离散插补带来的动态激励问题,采用具有高阶连续性的样条曲线对离散路径进行重构是一类有效思路[3] [4]。B样条曲线具有局部支撑、可调节连续阶次以及良好的数值稳定性,能够在保持路径可控性的同时实现多段平滑连接,因而在复杂路径的几何表达与轨迹生成中得到广泛应用。例如,毛征宇等[5]提出了一种三次均匀B样条曲线的轨迹规划方法,为采用样条曲线规划运动轨迹提供了可能性。

然而,仅有几何层面的平滑拟合并不足以保证机床在动态约束下的平稳运行。轨迹执行过程中仍需满足速度、加速度及加加速度等约束条件,若速度规划模型在加速度层面存在突变,系统同样会产生明显冲击与振动。相较于传统梯形速度曲线,S型速度规划通过引入加加速度约束,使加速度变化连续,可显著降低运动冲击并提升跟踪稳定性[6] [7]

基于此,本文采用三次非均匀B样条曲线对离散路径进行平滑重构,并引入复合辛普森积分对曲线弧长进行数值计算。在此基础上,设计分段式S型速度曲线,实现基于弧长的全程时间参数化。随后,通过仿真对规划轨迹的平滑性与动态可控性进行验证,采用切向量投影方法将曲线的一维动态量分解到x、y、z三轴。进一步表明该方法能够实现弧长域动态量向各轴指令的准确映射,并保持规划动态特性的传递一致性。

2. 轨迹建模与长度计算

2.1. B样条曲线轨迹建模

B样条曲线通过控制点的选择和权重的调整,能够灵活地构建出光滑的轨迹,满足速度和加速度的平滑过渡需求。设三次非均匀B样条曲线为:

(2-1)

其中 C( u i+3 ) 表示三次非均匀B样条曲线, P=[ P j , P ( j+1 ) , P ( j+2 ) , P ( j+3 ) ] 为控制顶点, B i p ( u ) p次规范B样条基函数, U=[ u 0 , u 1 ,, u n +p+1 ] 为节点矢量。

2.2. 节点矢量构造

为保证曲线端点插值与端部切向稳定性,本文采用开放型非均匀节点矢量,设曲线上有n + 1个型值点,那么它将由n + 3个控制顶点构成,相应的节点矢量区间 U=[ u 0 , u 1 ,, u n +6 ]

对于内部节点,首先基于型值点 { Q i } 采用累积弦长参数化得到离散参数 { u ¯ i }

u ¯ =0, u ¯ i = u ¯ i 1 + Q i Q i1 k=1 m Q i Q i1 ,i,,m

随后采用“平均法”生成内部节点:

u j+p = 1 p i=j j+p1 u ¯ i ,j=1,,np

通过上述构造可获得满足端点约束且随点分布自适应的非均匀节点矢量,从而提高拟合段间光顺性并降低局部振荡风险。

2.3. 曲线长度求解

在进行曲线的速度规划时,轨迹长度是速度规划中的一个关键参数。由于B样条曲线的参数与其弧长之间不存在严格的解析对应关系,曲线长度的精确解析求解较为困难。B样条曲线长度的定积分计算表达式可以表示为:

L( u )= a b C ( u )du = a b x ( u ) 2 + y ( u ) 2 + z ( u ) 2 du (2-2)

可以看出上述积分无法直接求解得到解析解。因此,本文提出以复合辛普森积分公式进行曲线长度积分。n阶复合辛普森积分公式可表示如式:

(2-3)

式中, h= ( ba )/n ,是划分的区间数, x i =a+ih 。通过该方法,可以计算定义域内任意区间的曲线长度。

3. S型速度规划

在三轴联动机床的运动控制中,为确保速度变化平稳、降低机床冲击,当机床运动速度改变时,应采用适宜的加减速模型,使机床从当前速度平稳过渡至下一运动速度,从而精准控制加减速过程。在传统的梯形速度曲线规划中,由于加速度曲线存在突变,往往会引发机械振动和冲击,进而影响机械系统的精度和使用寿命。

3.1. 分段S型速度曲线

为了有效避免这些问题,并充分考虑三轴平台在实际运行中的需求,本文采用了分段式S型速度曲线规划。该方法不仅确保了加速度曲线的连续性,从而使得速度曲线呈现更为平滑的变化,还显著减少了运动过程中的冲击,提升了系统的稳定性和控制精度。为了进一步优化运动过程,并减缓加速度变化,实际计算时引入了一个低加速度阶段。这一过渡阶段能够使加速与减速过程更加顺畅,从而有效降低对系统的动态负荷,并减少可能的机械冲击。各速度段的位移、速度、加速度轨迹公式如下:

(1) 加速段

1) t[ 0, T j1 ]

{ S= V 0 t+ j max t 3 6 V= V 0 + j max t 2 2 a= j max t (3-1)

2) t[ T j1 , T a T j1 ]

(3-2)

3) t[ T a T j1 , T a ]

(3-3)

(2) 减速段

1) t[ T T d ,T T d + T j2 ]

{ S=L( V lim + V 1 ) T a 2 + V lim ( tT+ T d ) j max tT+ T d 3 6 V= V lim j max ( tT+ T d ) 2 2 a= j max ( tT+ T d ) (3-4)

2) t[ T T d + T j2 ,T T j2 ]

{ S=L( V lim + V 1 ) T d 2 + V lim ( tT+ T d ) + a lim d 6 ( 3 ( tT+ T d 2 )3 T j2 ( tT+ T d )+ T J2 2 V= V lim + a lim d ( tT+ T d T j2 2 ) a= j max T j2 = a lim d (3-5)

3) t[ T T j2 ,T ]

{ S=L V 1 ( Tt ) j max ( Tt ) 3 6 V= V 1 + j max ( Tt ) 2 2 a= j max ( Tt ) (3-6)

通过分段式S型速度曲线规划,能够解决三轴数控机床在运动控制中速度变化突变和加速度不连续的问题。通过设计加减速的低加速度过渡阶段,不仅提升了速度曲线的平滑性,也有效减少了机械系统的振动与冲击,从而保证了系统的稳定性和控制精度。

3.2. 基于切向量的三轴分解

为将一维弧长域规划映射到三维空间轨迹,设空间曲线为r(u),其单位切向量为:

t( u )= r ( u ) r ( u ) =[ t x ( u ), t y ( u ), t z ( u ) ]^T (3-7)

则沿曲线切向方向的速度可分解为各轴速度分量:

[ dx/ dt , dy/ dt , dz/ dt ]^T=v( t )×t( u ) (3-8)

同理,可将沿切向方向的加速度与跃度分量分别投影到各轴:

[ d 2 x/ d t 2 , d 2 y/ d t 2 , d 2 z/ d t 2 ]^Ta( t )×t( u ) (3-9)

[ d 3 x/ d t 3 , d 3 y/ d t 3 , d 3 z/ d t 3 ]^Tj( t )×t( u ) (3-10)

上述分解方式能够保证各轴速度方向与路径切向一致。需要说明的是,当曲率较大时,严格的轴向加速度还包含由曲率引起的法向分量;本文重点关注切向一致性与动态量连续性,在仿真验证中采用切向投影方式生成轴向指令。

4. 仿真验证与结果分析

4.1. 仿真设置与轨迹生成

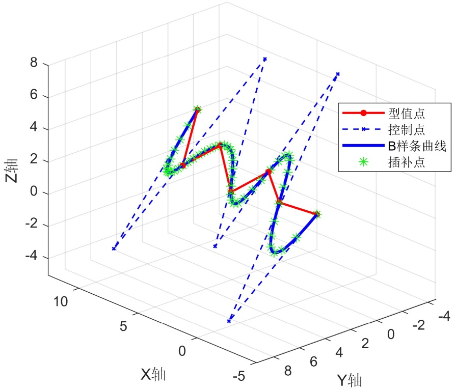
Figure 1. Cubic non-uniform B-spline curve

1. 三次非均匀B样条曲线

选取一组型值点(0, 0, 0)、(1, 2, 1)、(3, 1, 2)、(4, 3, 1) (6, 2, 3)、(7, 4, 2)、(9, 1, 4),为实现轨迹插值精度与平滑性的统一,在原路径上均匀插入50个样本点,采用三次非均匀B样条重构整条轨迹,实现高质量的曲线拟合,如图1所示。对B样条曲线进行S型速度规划时,设起始速度为0,最大速度为30 mm/s,最大加速度30 mm/s2,最大加加速度30 mm/s3,采样点1000个。求出的位移、速度、加速度、跃度曲线如图4~7所示,总运行时间为5.33 s。

4.2. S型速度规划结果

图2~5展示了所拟合B样条路径在插值后的形态及其对应的位移、速度、加速度与跃度曲线。仿真过程中,路径长度通过复合辛普森积分方法精确计算为26.95 mm,结合分段式S型速度规划参数完成动态特性设计。各曲线表现出良好的平滑性与连续性,其中速度与加速度无突变点,跃度曲线也呈现连续波动趋势,符合高阶光滑要求。

Figure 2. Displacement curve

2. 位移曲线

Figure 3. Velocity curve

3. 速度曲线

该结果表明,将S型速度规划算法应用于B样条曲线轨迹中,能够有效提升轨迹跟踪过程中的动态平滑性,显著抑制速度突变与加速度不连续现象。整体轨迹运行过程具有良好的物理一致性与可控性,为后续三维轨迹分解奠定了基础。

Figure 4. Acceleration curve

4. 加速度曲线

Figure 5. Jerk curve

5. 跃度曲线

4.3. 三维轨迹分解结果

为进一步验证基于分段式S型速度曲线规划的轨迹在三维空间中的运动效果,保证轨迹运动方向与路径一致性,本文采用切向量分解法,将路径总位移、速度、加速度与跃度沿三维B样条曲线方向逐点投影,得到x、y、z三个轴向上的对应运动量。图6~8展示了分解后x、y、z三轴上的速度、加速度及跃度曲线。

图6为三维速度分解曲线,可以观察到,在路径初始阶段x轴与z轴的速度分量出现负值,说明B样条曲线在该区段存在朝负方向运动的趋势,这一现象与路径曲线初段的实际几何走向相一致。与此同时,由于整体路径在初始阶段主要向y方向延展,单位切向量在y方向的分量显著大于其他方向,因此速度在该轴上的投影始终为正,反映了路径在该段主要向上运动的特征。

Figure 6. Decomposed speed curve

6. 分解后速度曲线

图7图8分别展示了三轴方向的加速度和跃度分解曲线。从整体趋势上看,这些高阶导数曲线在形态上与速度分量的变化密切相关,表现出与之相应的波动和拐点位置。此外,三轴加速度与跃度曲线均保持良好的连续性和平滑性,未出现突变点或方向不一致的问题,进一步表明该方法能够实现弧长域动态量向各轴指令的准确映射,并保持规划动态特性的传递一致性。

Figure 7. Decomposed acceleration curve

7. 分解后加速度曲线

Figure 8. Decomposition jerk curve

8. 分解后跃度曲线

5. 结论

本文针对三轴数控加工中轨迹连续性差与速度控制精度不足的问题,提出了一种基于三次非均匀B样条曲线拟合与分段式S型速度规划相结合的轨迹优化方法。并设计分段式S型速度曲线,显著提高了轨迹运动过程的平滑性与动态稳定性。进一步地,本文引入切向量分解法,将一维轨迹动态信息投影至三维路径中,实现对x、y、z三轴运动状态的完整还原。仿真分析验证了该方法在轨迹拟合精度、速度变化连续性及物理一致性等方面的优势,具有良好的工程应用潜力与可实现性。

基金项目

北京市教委科技计划项目(No.KM201710015002)。

NOTES

*通讯作者。

参考文献

[1] 金鑫, 刘其广, 吕杰, 等. 数控加工中多约束进给率规划算法研究[J]. 制造技术与机床, 2022(5): 105-111.
[2] 李甍材, 赵东标, 冯胜利. 一种S型加减速组合的速度规划算法[J]. 机械科学与技术, 2024, 43(1): 54-63.
[3] 鲁毛毛, 刘宝泉, 徐梦杰, 等. NURBS曲线插补弓高误差的双向Hausdorff距离评估方法[J]. 机械科学与技术, 2022, 41(2): 253-262.
[4] 高翔宇, 刘晓健, 裘乐淼, 等. 基于曲率约束和位移补偿的NURBS曲线柔性高精插补方法[J]. 计算机辅助设计与图形学学报, 2018, 30(12): 2213-2223.
[5] 毛征宇, 刘中坚. 一种三次均匀B样条曲线的轨迹规划方法[J]. 中国机械工程, 2010, 21(21): 2569-2572+2577.
[6] 覃珍莹, 赵东标, 周迪琪. 一种简化计算的S型加减速NURBS插补算法[J]. 机电工程, 2017, 34(3): 219-223.
[7] 韩庆瑶, 赵长梅, 胡媛媛. 基于预判插补时间的S形加减速差补算法分析[J]. 电子世界, 2013(8): 202-203.