海南海域四个地区浮游植物群落结构及环境驱动机制分析
Community Structure of Phytoplankton and Environmental Driving Mechanisms in Four Coastal Regions of Hainan
DOI: 10.12677/ams.2026.131003, PDF, HTML, XML,   
作者: 郝小娇:佰诺全景生物技术(北京)有限公司,海南 海口;蔡楚涛:中国热带农业科学院环境与植物保护研究所,海南 海口
关键词: 浮游植物群落结构营养盐梯度多样性海南近岸 Phytoplankton Community Structure Nutrient Gradient Diversity Coastal Waters of Hainan
摘要: 浮游植物是热带近岸海域初级生产力的主要贡献者,其群落结构对营养盐变化具有高度敏感性。本研究在海南万宁、文昌、东方与临高四个典型海区共12个站位开展同步采样,获取浮游植物种类组成、密度以及TN、TP、 N H 4 + 与COD等水质理化因子。通过NMDS、PERMANOVA、RDA与SIMPER等多元统计方法分析群落结构差异及其环境驱动机制,并采用Shannon指数和物种丰富度评估群落多样性。结果表明,四地区浮游植物群落在空间上存在显著差异(PERMANOVA, p < 0.05),硅藻为绝对优势类群。营养盐梯度,尤其是TN与 N H 4 + ,是影响群落变化的主要环境因子。SIMPER分析显示,中肋骨条藻、热带骨条藻及奇异棍形藻等硅藻对区域群落差异贡献最高。多样性分析显示物种丰富度差。
Abstract: Phytoplankton are major contributors to primary productivity in tropical coastal ecosystems, and their community structure is highly sensitive to changes in nutrient conditions. In this study, synchronous sampling was conducted at 12 stations across four typical coastal regions of Hainan Island, including Wanning, Wenchang, Dongfang, and Lingao. Phytoplankton species composition and cell density were investigated, together with key physicochemical parameters such as total nitrogen (TN), total phosphorus (TP), ammonium ( N H 4 + ), and chemical oxygen demand (COD). Non-metric multidimensional scaling (NMDS), permutational multivariate analysis of variance (PERMANOVA), redundancy analysis (RDA), and similarity percentage analysis (SIMPER) were applied to examine spatial differences in phytoplankton community structure and to identify major environmental drivers. Shannon diversity index and species richness were calculated to assess community diversity. The results showed significant spatial differences in phytoplankton community composition among the four regions (PERMANOVA, p < 0.05), with diatoms as the dominant group. Nutrient gradients, particularly TN and N H 4 + , were identified as the primary environmental factors influencing community variation. SIMPER analysis indicated that several diatom species, including Skeletonema costatum, Skeletonema tropicum, and Thalassionema nitzschioides, contributed most to regional community differences. Species richness did not differ significantly among regions, whereas Shannon diversity index showed significant spatial variation (p < 0.05).
文章引用:郝小娇, 蔡楚涛. 海南海域四个地区浮游植物群落结构及环境驱动机制分析[J]. 海洋科学前沿, 2026, 13(1): 14-25. https://doi.org/10.12677/ams.2026.131003

1. 引言

浮游植物在海洋生态系统中承担着初级生产、碳固定与营养盐循环等基础功能,其群落结构对环境变化的响应迅速且敏感,因而常被用作评价海洋生态状况和水质变化的重要指标[1] [2]。热带海域具有高光照、高水温以及季风驱动的水团交换特征,使浮游植物群落在空间与时间上呈现显著的动态变化[3]

近年来,关于热带及海南近岸浮游植物的研究逐渐增多,但多集中于物种组成、季节变化及营养盐水平对群落结构的影响。现有研究表明,氮、磷等营养盐浓度及其比例(如N:P)是决定浮游植物生长和优势类群的重要因素,而沿海富营养化过程往往伴随优势硅藻类群的替代或增强[4]-[6]。海南近岸受河口径流、陆源输入、养殖活动和潮汐混合作用等多因素共同影响,环境条件呈现出明显的空间异质性[7] [8]。然而,对海南不同海域间浮游植物群落差异的系统比较仍较为有限,尤其缺乏以多元统计分析为核心的研究,以同时揭示群落结构差异、优势物种贡献和环境因子驱动机制[2]

浮游植物群落对环境因子的响应具有多维性,不仅受营养盐(如TN、TP、 NH 4 + )控制,也受到有机物负荷指标(如COD)的影响[6] [9]。如何在统一框架下整合群落结构、多样性指数与环境梯度,全面解析不同区域浮游植物的生态特征,是当前海南近岸生态研究的重要科学问题之一[7] [10]。此外,通过SIMPER识别区域间贡献最大的优势物种,有助于从物种层面理解生态差异的成因[4] [11]

基于此,本研究选取海南沿岸四个典型海区(万宁、文昌、东方、临高),系统调查浮游植物群落及主要水质环境因子[8],并运用NMDS、PERMANOVA、RDA、SIMPER与多样性指数等综合方法[10] [12],旨在:1) 揭示海南不同海域浮游植物群落的空间结构差异;2) 识别驱动群落变化的关键环境因子;3) 明确主要贡献物种与区域差异的对应关系。本研究有助于深化对海南近岸生态过程的认识,并为海域环境评价及营养盐管理提供科学参考。

2. 材料与方法

2.1. 研究区概况

研究选取海南四个典型海域(万宁、文昌、东方、临高),每个地区设3个采样站位(共12个站位),覆盖沿岸、近岸及河口受影响区。采样时间集中于2023年8月,水温29℃~32℃,盐度26~35 PPT。四个地区水体受河口径流、潮汐、陆源输入及人类活动影响存在差异[7] [8]

2.2. 浮游植物采样与处理

浮游植物采样使用20 μm浮游网,网口底部直径0.37 m,网绳长度3 m。每个采样站位进行了4次常规打捞,为获得浓缩水样品,每个站位额外打捞浓缩水3~6次。采集的水样固定于Lugol试剂中,运输至实验室后进行计数和鉴定。浮游植物密度单位为cells/m3 [7] [13]

2.3. 环境因子测定

采集水样测定以下水质理化因子:氨氮( NH 4 + , mg/L)、总氮(TN, mg/L)、总磷(TP, mg/L)、化学需氧量(COD, mg/L)、亚硝酸盐氮( NO 2 -N , mg/L),测定方法均采用国家标准(GB/T)规定方法。

2.4. 数据预处理

由于不同地区物种组成不完全一致,未检出的物种以0填充。浮游植物密度数据在分析前进行Hellinger转换,以减少极端值影响并适用于欧氏距离约束排序。对环境因子进行方差膨胀因子(VIF)检验,当VIF > 10时认为存在严重共线性[11]。结果显示 NO 2 -N 存在严重多重共线性(VIF > 10),因此在RDA分析中将其剔除,只保留COD、总氮、总磷、氨氮四个环境因子。

2.5. 群落结构与统计分析方法

使用R 4.4.2 (vegan, ggplot2, tidyverse)进行统计分析。群落结构差异使用NMDS可视化,并通过PERMANOVA (Adonis)检验不同地区间的群落差异[11]。利用RDA分析环境因子对群落的驱动作用,并通过SIMPER识别各地区差异贡献最大的优势物种。结果图表通过ggplot2绘制。

3. 结果

3.1. 浮游植物总体群落特征

四个采样海域共记录浮游植物120种,其中硅藻为绝对优势类群,整体占比最高。不同地区间浮游植物类群组成存在明显差异(图1~4),反映各区域环境条件的空间异质性。

3.2. 群落结构差异

基于Hellinger转换后的群落数据进行NMDS分析[5] (见图5),排序结果稳定(stress接近0),表明二维排序能够较好地保持样点间的距离关系并可靠反映群落结构差异[4]。四地区样点在二维空间中呈清晰分离:临高样点在NMDS1轴右侧聚集,反映其群落结构相对一致;万宁、文昌与东方样点分别分布在左下、左上及中部偏左区域,显示明显的区域性差异。

Figure 1. Taxonomic distribution of phytoplankton in Dongfang

1. 东方浮游植物类群分布

Figure 2. Taxonomic distribution of phytoplankton in Lingao

2. 临高浮游植物类群分布

Figure 3. Taxonomic distribution of phytoplankton in Wanning

3. 万宁浮游植物类群分布

Figure 4. Taxonomic distribution of phytoplankton in Wenchang

4. 文昌浮游植物类群分布

Figure 5. NMDS

5. NMDS

3.3. PERMANOVA检验

PERMANOVA检验进一步证实地区对群落结构具有显著影响(F = 9.99, p = 0.001),表明地区因子对群落组成具有显著解释力[11]。地区因素可解释约79%的群落变异,说明在本次采样尺度下区域差异是浮游植物群落变化的主要来源(见表1)。

Table 1. Results of Adonis analysis

1. Adonis分析结果

自由度

平方和

R2

F值

p值

模型(地区)

3

2.2303

0.7896

9.9917

0.001**

残差

8

0.5953

0.2107

总和

11

2.8256

1.0000

3.4. 环境因子分布

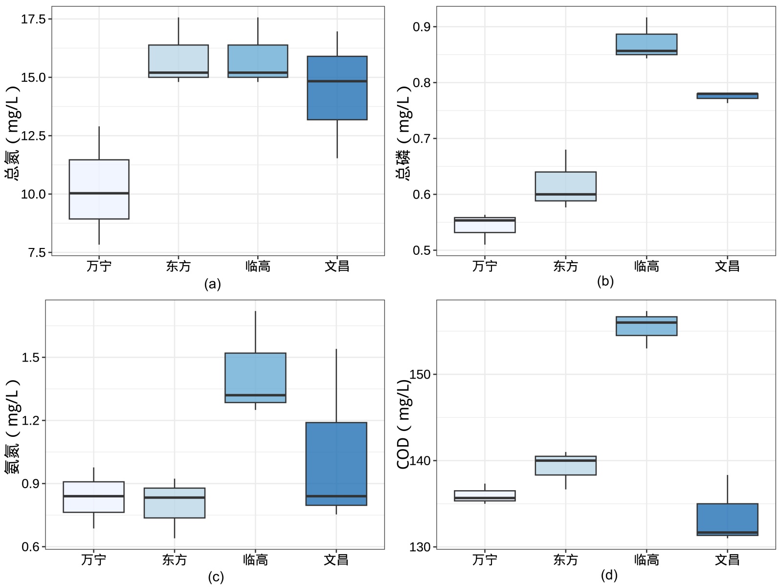
本研究对四个采样地区(万宁、东方、临高、文昌)开展水质理化参数比较,其结果如图6所示。由于每个地区仅包含三个站位(n = 3),样本量不足以开展可靠的显著性差异检验,但箱线图仍能反映指标的集中趋势与数值梯度。

Figure 6. Boxplots of water quality physicochemical parameters in four regions

6. 四个地区水质理化参数箱线图

四个采样区的营养盐和有机负荷指标呈现清晰的空间分异。TN (图6(a))在临高与东方处于较高水平,文昌表现中等,万宁最低。TP (图6(b))的梯度为临高 > 文昌 > 东方 > 万宁。 NH 4 + (图6(c))在临高与文昌相对较高,而万宁与东方较低。COD (图6(d))以临高最高,万宁与文昌处于中等水平,东方最低。

这些差异体现了各区域不同的陆源输入强度和水体交换条件[1] [7] [10],为后续群落差异提供环境背景。

3.5. RDA环境驱动分析

在进行RDA排序分析之前,对五项水质环境因子(亚硝酸盐氮、COD、总氮、总磷、氨氮)进行了方差膨胀因子(VIF)检验,以评估其多重共线性情况(表2)。表2结果显示:亚硝酸盐氮(VIF = 15.27)明显超过10,存在严重多重共线性;COD的VIF值为8.05,接近临界值,但仍处于可接受范围:总氮(VIF = 1.43)、总磷(VIF = 3.08)和氨氮(VIF = 3.44)均远低于10,表明不存在显著共线性。

Table 2. Multicollinearity diagnosis

2. 多重共线性诊断

环境因子

VIF值

亚硝酸盐氮(mg/L)

15.270880

COD (mg/L)

8.050960

总氮(mg/L)

1.434613

总磷(mg/L)

3.075452

氨氮(mg/L)

3.438464

根据共线性诊断结果,亚硝酸盐氮因存在显著共线性而不适合作为RDA的输入变量,其余四项环境因子可以保留用于后续分析[2] [11]

基于Hellinger转换后的群落矩阵与水质环境因子(TN, TP, NH 4 + , COD)进行RDA排序分析。前两个排序轴共解释53.4%的群落结构变异,其中RDA1解释37.1%,RDA2解释16.3 (图7),表明主要环境梯度能够较好地概括不同海域间的群落差异[2] [4]。TN和 NH 4 + 的箭头长度较长,是最显著的驱动因子,并向营养盐较高的临高区域。TP与文昌样点方向一致,表明其对文昌群落结构具有重要影响。COD主要与东方部分站位相关。万宁样点远离主要环境梯度,表现为整体营养盐水平较低或受未测量因子(如水动力)主导[1] [7] [10]

Figure 7. RDA ordination diagram

7. RDA排序图

总体而言,RDA结果表明,不同海域浮游植物群落结构的主要变化沿着营养盐梯度(尤其是TN与 NH 4 + )展开,显示氮素供应是驱动海南近岸浮游植物空间分异的关键环境机制。

3.6. SIMPER优势物种贡献

为了进一步探究不同地区间浮游植物群落结构差异的关键驱动物种,采用SIMPER分析对各地区配对进行了贡献度排序(表3) [11]

Table 3. SIMPER contribution table

3. SIMPER贡献表

地区配对

物种

贡献百分比(%)

功能类群

说明

万宁_文昌

中肋骨条藻

10.2

硅藻

优势种

万宁_文昌

热带骨条藻

7.25

硅藻

贡献次高

万宁_文昌

薛氏束毛藻

5.78

绿藻

中等贡献

万宁_文昌

角毛藻属

4.08

甲藻

次要贡献

万宁_文昌

海链藻属

3.83

硅藻

次要贡献

东方_万宁

热带骨条藻

5.41

硅藻

优势种

东方_万宁

薛氏束毛藻

5.09

绿藻

中等贡献

东方_万宁

奇异棍形藻

4.64

硅藻

次要贡献

东方_万宁

劳氏角毛藻

3.62

甲藻

次要贡献

东方_万宁

中肋骨条藻

3.4

硅藻

次要贡献

东方_临高

小环藻属

16.8

绿藻

主导群落差异

东方_临高

热带骨条藻

6.64

硅藻

次高贡献

东方_临高

奇异棍形藻

6.31

硅藻

次高贡献

东方_临高

海链藻属

4.55

硅藻

次要贡献

东方_临高

中肋骨条藻

4.44

硅藻

次要贡献

东方_文昌

中肋骨条藻

10.9

硅藻

优势种

东方_文昌

奇异棍形藻

6.79

硅藻

次要贡献

东方_文昌

菱形海线藻

5.41

硅藻

次要贡献

东方_文昌

新月筒柱藻

4.69

硅藻

次要贡献

东方_文昌

旋链角毛藻

4.09

甲藻

次要贡献

SIMPER结果显示,不同区域间的群落差异主要由少数优势硅藻类群主导。其中,中肋骨条藻在多个地区对比中贡献率最高(10%~11%),表明其在区域分异中具有稳定而突出的指示作用。热带骨条藻、奇异棍形藻及小环藻属亦在部分地区比较中具有较高贡献,显示硅藻类群在海南近岸群落分异中的核心地位。

值得注意的是,小环藻属在东方与临高之间的群落差异中贡献率高达16.8%,与RDA中临高海域TN与 NH 4 + 水平较高的结果相一致。这类小型、快速生长的硅藻通常被视为典型的r-策略型类群,在氮营养盐充足条件下具有显著的竞争优势[3] [13],因此其高贡献率反映了临高海域对富营养化条件的响应。

3.7. 群落多样性

对四个地区的浮游植物物种丰富度(Richness)和Shannon指数进行Kruskal-Wallis非参数检验,结果如图8图9所示。

Figure 8. Comparison of species richness (Rich) among four regions

8. 四个地区物种丰富度(Rich)比较图

Figure 9. Comparison of Shannon index among four regions

9. 四个地区Shannon指数比较图

1) 物种丰富度(Richness)

不同地区之间的物种丰富度差异不显著(K-W test,p = 0.108;图8)。

万宁、东方与文昌的丰富度水平相近,而临高略高,但差异未达到统计显著性。这表明四个地区总体上具有相近的物种数量水平。

2) Shannon多样性指数

Shannon多样性指数在不同地区之间存在显著差异(K-W test,p = 0.0156;图9)。万宁的Shannon指数最高,其次为东方和文昌,而临高显著较低。说明各地区浮游植物群落在均匀度和群落结构复杂度方面存在明显差异。

4. 讨论

4.1. 浮游植物群落结构的空间差异的生态机制

本研究显示海南近岸不同海域浮游植物群落在空间上存在明显分化,但这种分化并非简单的环境变量数值差异,而是不同营养盐输入背景下群落功能策略分化的结果。结合RDA与SIMPER的结果可以看出,群落结构沿着以TN与 NH 4 + 为主导的营养盐梯度发生系统性变化:在氮营养盐水平较高的海域(如临高与东方),群落由少数生长速率快、资源竞争力强的硅藻类群主导,而在营养盐相对较低或水体交换较强的区域(如万宁与文昌),群落结构则更为均匀和多样[4] [6] [7]

RDA排序显示,TN与 NH 4 + 是解释临高群落分异的最强环境变量,而SIMPER分析进一步表明,小环藻属、中肋骨条藻和热带骨条藻在临高与其他海域之间的群落差异中贡献最高。这些小型硅藻通常被归类为典型的r-策略型浮游植物,在氮供应充足和扰动频繁的近岸环境中具有快速增殖和高资源利用效率的优势[3] [12]。因此,临高海域高TN与 NH 4 + 条件为这些r-策略硅藻提供了有利的竞争环境,从而导致其在群落中占据主导地位[4] [6]

这种空间分异符合经典的近岸富营养化演替模型,即沿陆源营养盐输入增强的方向,浮游植物群落由多功能型、多类群共存状态,逐渐向少数高竞争力硅藻占优的结构演替[1] [9] [14]。在海南近岸,这一过程受到河口径流、陆源输入与水体交换能力的共同调控:临高与东方靠近河口、受陆源输入影响较强,更容易形成以r-策略硅藻为主的群落;而万宁与文昌处于相对开放水域,更有利于维持由多种功能型浮游植物组成的均衡结构[7] [8]

4.2. TN与 N H 4 + 对群落结构的调控机制

RDA结果表明TN与 NH 4 + 对群落结构的解释度最高,这一结果在生态学上具有明确机制基础。 NH 4 + 作为浮游植物最易同化的无机氮形态,其吸收不需要硝酸还原过程,可被硅藻及小型机会型藻类直接用于蛋白质和光合系统合成,因此在富 NH 4 + 条件下往往会触发快速生物量积累和优势种替代过程。当水体中同时存在较高TN储量时,代表水体中存在持续可利用的氮库,可通过再矿化与再生过程不断补充 NH 4 + ,从而维持优势类群的高生长速率[6] [9]

在本研究中,临高海域同时表现出TN、 NH 4 + 和COD的高值特征,说明该区域不仅受陆源营养盐输入强烈影响,而且有机物负荷高、再生氮供给充足[6]-[8]。这种“高TN-高 NH 4 + -高有机负荷”的环境组合为r-策略型硅藻提供了最有利的竞争条件[3] [12] [14]。SIMPER结果显示,中肋骨条藻和小环藻属在临高与其他区域的群落差异中贡献最高,正是这类典型高响应、高生长速率硅藻的优势增强,驱动了临高群落向低均匀度、高优势度结构转变[12] [15]。

相比之下,东方海域虽TN较高,但 NH 4 + 与COD明显低于临高,表明其氮供应更多依赖外源输入而非再生氮循环,群落处于由氮限制向氮富集过渡的阶段[6] [9]。这种条件下,仅部分高竞争力硅藻获得优势,而群落尚未完全演替为单一或少数优势种主导型结构[3] [4]

4.3. 优势物种生态意义

SIMPER结果揭示了不同地区之间群落差异由少数关键物种驱动,且驱动物种主要集中于硅藻类群[4] [11]。硅藻在四个研究海域中均占据优势地位,表明研究区域整体营养盐供应充足,适宜硅藻快速生长[1] [5] [15]。SIMPER分析进一步显示,中肋骨条藻和热带骨条藻在多个区域对群落差异贡献显著,具有良好的指示意义。其中,中肋骨条藻常见于营养盐较高水体,其高贡献率反映了部分区域潜在的富营养化风险[7] [12] [15]。

4.4. Shannon指数下降的生态学解释

结果显示,虽然四个海域的物种丰富度相近,但Shannon指数呈现显著空间差异,这表明群落变化的核心并非物种“有或无”,而是物种相对丰度结构的重组[4] [5]。在临高海域,高TN与 NH 4 + 条件下,中肋骨条藻和小环藻等r-策略者快速占据资源并抑制其他功能型类群,使群落由“多物种共存”转变为“少数优势种垄断”,从而导致均匀度急剧下降[9] [12] [14]

这一过程与富营养化演替理论中的“优势种排他效应”高度一致:在营养盐持续输入背景下,群落生产力提高,但多样性反而下降[1] [5] [6]。万宁海域营养盐适中且水动力交换较强,有利于抑制单一物种的长期垄断,因此维持了更高的均匀度与Shannon指数[4] [7] [8]

4.5. 与国内外研究比较

本研究结果表明,硅藻是海南近岸海域浮游植物群落结构的主要优势类群,尤其是在营养盐输入较为显著的区域(如临高与文昌) [7] [8]。这一发现与国内外大量研究结果一致。例如,胡晓芳等(2018) [7]在对珠江口及邻近海域的调查中指出,受陆源输入影响显著的海域通常以中肋骨条藻、海链藻等硅藻作为优势种,占据群落结构的主导地位,并伴随多样性下降。与珠江口相比,临高的总体营养盐水平可能较低,但其水体交换能力更弱,使单位营养盐输入对群落结构的影响更为集中,从而在较低绝对浓度下仍可引发明显的优势种主导效应[6] [8]。这说明海南近岸生态系统在富营养化响应上可能具有更高的敏感性。类似地,多项关于长江口、湄南河口及菲律宾吕宋海岸的研究亦显示,陆源营养盐(尤其是氮营养盐)是导致硅藻在亚热带与热带浅海中占优势的关键因素[1] [5] [9] [13]

相比前人研究,本研究具有以下显著特点与创新点:

1) 采用了多元统计方法(NMDS、K-W检验、Alpha多样性分析)全面刻画群落差异,而传统研究多以物种组成与数量分布为主。

2) 引入RDA (冗余分析)量化了环境因子对群落变异的解释度,明确TN、 NH 4 + 与TP是主导性营养盐因子,为营养盐驱动机制提供直接证据。

3) 结合SIMPER分析识别了不同地区间群落差异的贡献物种,从物种层面揭示优势类群在空间异质性中的响应模式,较前人研究更具定量化与解释力。

总体而言,本研究在结果趋势上与国内外研究保持一致,但在分析深度上有所拓展,为理解海南近海浮游植物群落响应营养盐梯度的生态机制提供了新的证据。

4.6. 局限性与未来方向

尽管本研究系统分析了海南不同海域浮游植物群落结构及其驱动因子,但仍存在一定局限性:

1) 样本量较小(每个地区n = 3)

受实际海况与采样条件限制,各海域站位数量较少,这在一定程度上降低了统计检验的功效。因此,本研究中多样性指标及环境因子差异的显著性结果应主要被视为对空间变化趋势的支持,而非对效应量的精确参数估计。然而,由于四个海域采用同步采样设计,时间变异得到有效控制,使得不同海域之间群落结构及环境梯度的相对比较仍具有较高的可靠性。

2) 仅进行了单季节采样

浮游植物群落在热带与亚热带海域通常具有显著的季节性波动,受降雨、陆源径流、营养盐输入及水温变化等多重因素调控。因此,本研究结果更适用于反映调查季节下不同海域之间的空间差异格局,而不宜直接外推为全年尺度的群落动态。未来结合多季节或长期时间序列观测,将有助于检验本研究中识别的营养盐–群落结构关系是否在时间尺度上具有稳定性。

3) 生物相互作用与物理过程的刻画仍然有限

本研究主要关注营养盐及理化因子对浮游植物群落的影响,而未系统纳入浮游动物捕食压力、水体交换强度、垂向混合、潮汐及沿岸流等过程。已有研究表明,在高营养盐背景下,这些物理与生物过程可能显著调节优势种的形成与群落稳定性。未来研究可结合浮游动物群落(如桡足类与枝角类)、水动力模型(如FVCOM、ROMS)及多季节长期监测数据,以更全面地解析海南近岸浮游植物群落的形成与维持机制。此外,引入eDNA或高通量测序技术有助于提高物种识别分辨率,从而进一步降低形态鉴定不确定性对群落分析的影响。

5. 结论

本研究系统分析了海南近岸四个典型海域浮游植物群落结构及其环境驱动机制。结果表明,不同区域群落组成在空间上存在显著差异,硅藻为绝对优势类群。营养盐梯度,尤其是总氮和氨氮,是驱动群落结构变化的主要环境因素。临高与东方区域表现出较高的营养盐水平和较低的群落均匀度,提示其潜在的富营养化风险。本研究为海南近岸生态系统的浮游植物监测及区域营养盐管理提供了基础数据和科学参考。

致 谢

感谢国家农业科学数据中心提供“2023年海南近岸海域浮游植物群落组成和物种多样性调查数据集”,并感谢刘思航、邓晓东两位研究人员在数据采集与整理方面所做的工作,为本研究的顺利开展提供了重要数据支持。

参考文献

[1] Falkowski, P.G., Barber, R.T. and Smetacek, V. (1998) Biogeochemical Controls and Feedbacks on Ocean Primary Production. Science, 281, 200-206. [Google Scholar] [CrossRef] [PubMed]
[2] Falkowski, P.G. and Raven, J.A. (2007) Aquatic Photosynthesis. 2nd Edition, Princeton University Press. [Google Scholar] [CrossRef
[3] Richardson, T. (2008) Phytoplankton Ecology in Tropical Seas. Journal of Marine Systems, 73, 1-12.
[4] Litchman, E. and Klausmeier, C.A. (2008) Trait-Based Community Ecology of Phytoplankton. Annual Review of Ecology, Evolution, and Systematics, 39, 615-639. [Google Scholar] [CrossRef
[5] Reynolds, C.S. (2006) The Ecology of Phytoplankton. Cambridge University Press. [Google Scholar] [CrossRef
[6] Cloern, J.E. (2001) Our Evolving Conceptual Model of the Coastal Eutrophication Problem. Marine Ecology Progress Series, 210, 223-253. [Google Scholar] [CrossRef
[7] 胡晓芳, 等. 海南海域浮游植物群落结构与环境因子关系[J]. 海洋学报, 2018, 40: 120-132.
[8] 刘思航, 邓晓东. 2023年海南近岸海域浮游植物群落组成和物种多样性调查数据集[Z]. 国家农业科学数据中心, 2023.
[9] Dortch, Q. (1990) The Interaction between Ammonium and Nitrate Uptake in Phytoplankton. Marine Ecology Progress Series, 61, 183-201. [Google Scholar] [CrossRef
[10] Zhang, Y., et al. (2019) Phytoplankton Diversity and Nutrient Dynamics in Tropical Coastal Waters. Marine Pollution Bulletin, 140, 35-45.
[11] Oksanen, J., et al. (2020) Vegan: Community Ecology Package. R Package Version 2.5-7.
[12] Smayda, T.J. (1997) Harmful Algal Blooms: Their Ecophysiology and General Relevance to Phytoplankton Blooms in the Sea. Limnology and Oceanography, 42, 1137-1153. [Google Scholar] [CrossRef
[13] Hasle, G.R. and Syvertsen, E.E. (1997) Marine Diatoms. In: Tomas, C.R., Ed., Identifying Marine Phytoplankton, Elsevier, 5-385. [Google Scholar] [CrossRef
[14] Glibert, P.M., Burkholder, J.M., Kana, T.M., et al. (2016) The Global, Complex Phenomena of Harmful Algal Blooms. Oceanography, 29, 30-41.