单调关联冗余系统寿命的随机比较
Stochastic Comparison of Lifetimes for Coherent Systems with Redundancy
摘要: 本文在元件独立和相依条件下讨论了单调关联冗余系统寿命的随机比较,给出了元件层面冗余和系统层面冗余的系统寿命随机比较结果保持一致的条件,得到了可规避元件相依性对系统可靠性分析干扰的理论结论,并通过数字算例证实了理论结果。
Abstract: This paper discusses the stochastic comparison of the lifetimes of coherent systems with redundancy under scenarios of component independence or dependence. It presents the conditions under which the conclusions of stochastic comparison for system lifetimes between component-level redundancy and system-level redundancy remain consistent, derives theoretical results that can eliminate the interference of component dependence in system reliability analysis, and verifies the theoretical results through numerical examples.
文章引用:刘海芸. 单调关联冗余系统寿命的随机比较[J]. 应用数学进展, 2026, 15(2): 210-218. https://doi.org/10.12677/aam.2026.152062

1. 引言

在系统设计中,添加冗余是一种提升系统可靠性的高效策略。适用于对系统可靠性要求极高的领域,如卫星控制系统、飞机及机场控制系统、铁路控制系统等关键控制系统中。在数据中心领域,冗余设计也已成为基本配置,通常会采用N + 1或2N的供电架构,空调也支持双路供电,以确保在任何组件出现故障时,系统都能持续工作。特别是在热冗余的应用上,它通过在系统运行期间并联冗余元件,以确保在初始元件发生故障时能够无缝切换,从而保障系统的连续运行。这种方法在实际操作中尤其重要,尤其是在那些更换故障元件不仅不可行,而且耗时且成本高昂的场景中,通过采用热冗余,系统能够在不中断服务的情况下,有效应对元件的故障,显著提高整体的可靠性。

在研究可靠性时,对于系统来说我们会考虑系统元件是否独立,是否同质。冗余分配会考虑匹配和非匹配的情况。在匹配中,冗余与原始组件具有相同的分布,而在非匹配中,冗余和原始组件是非同分布的。许多研究者研究热冗余分配还会关注如何在元件层面或者系统层面分配到系统中。图1展现出了系统冗余与元件冗余。

Figure 1. Component-level redundancy and system-level redundancy

1. 元件冗余与系统冗余示意图

早期关于冗余分配问题的研究,大多均以系统各元件相互独立为前提假设。在普通随机序(ST序)下,具有元件层面冗余的系统,其可靠性普遍优于具有系统层面冗余的系统,这一经典结论被称为BP原则。针对元件寿命满足独立同分布且冗余为匹配冗余k-out-of-n系统,Boland & El-Neweihi (1995) [1]将上述结论推广到了失效率序。随后,Gupta & Nanda (2001) [2]分别探讨了匹配冗余与非匹配冗余两种情形下,具有元件层面冗余与系统层面冗余的系统的反失效率序(HR序)结果;Nanda & Hazra,(2013) [3]在串联系统进一步将该结论推广至似然比序准则(LR序);Hazra & Nanda (2014) [4]又将研究结论拓展到反失效率序(RH序)。Singh & Singh (1997) [5]证明了对于k-out-of-n系统,在似然比序的判定标准下,具有元件层面的热冗余系统优于具有系统层面的热冗余系统。Romera (2004) [6]则在非匹配冗余的条件下,基于各类随机序,探究了串联系统中不同元件的工作冗余分配结论。Zhao (2015) [7]针对匹配冗余场景且元件寿命服从指数分布的串联系统,完成了元件层面与系统层面冗余的LR序随机比较。Li (2024) [8]借助控制函数,研究了元件层级与系统层级冗余之间的随机序关系。

在实际情况中,元件相互独立这一假设往往并不成立。一方面,环境因素(应力、载荷、电压等)会导致元件的寿命呈现统计相依性;另一方面,系统自身的结构特征也会使元件间产生相依关系。Navarro et al. (2007) [9]借助扭曲函数这一工具,深入分析了具有相依元件的单调关联系统可靠性,而该函数的构建则依托于系统的结构函数与相依结构(如Copula函数)。针对冗余分配这一核心问题,Navarro et al. (2013) [10]揭示了结构相同,元件寿命同分布且具有相依性的两类单调关联系统之间的寿命随机比较规律。Belzunce (2011) [11]聚焦于含两个相依元件的串联与并联系统,给出了热冗余元件的优化分配结论;随后Gupta & Kumar (2014) [12]在匹配冗余的框架下,分别基于普通随机序,失效率序,反失效率序与似然比序这四类经典随机序,系统开展了相依元件的元件层面与系统层面冗余对比研究。Da & Ding (2015) [13]进一步将相关结论从并联系统拓展至更具普适性的k-out-of-n系统。此后,Zhang et al. (2017) [14]突破匹配冗余的局限,在冗余元件非匹配的场景下,推导了元件层级与系统层级冗余在随机序与反失效率序下的结果。Yan & Wang (2022) [15]则针对非匹配冗余,元件异质且具有相依性的一致系统,完成了元件层面与系统层面冗余的系统性研究。You & Li (2025) [16]将不同结构系统相依性进行了进一步研究。

系统的可靠性不仅取决于单个元件的质量与特性,更关键地依赖于元件之间的相互作用关系—即元件的相依性与独立性。准确刻画和区分元件的相依与独立状态,是开展系统可靠性分析、寿命预测及维护策略优化的前提。当元件之间呈现独立关系时,系统分析可借助概率统计中的独立事件性质简化计算;而当元件存在相依性时,忽略这一关系将导致模型与实际情况严重偏离,进而引发决策失误。因此,深入剖析元件相依性与独立性,对提升系统可靠性分析的科学性与准确性具有重要理论与实践价值。基于此,本文将从元件相依性与独立性出发,寻找元件是相依或元件是独立情况时,单调关联系统在满足什么条件下,具有元件层面冗余与系统层面冗余的两种系统寿命的随机比较结果一致,即随机比较结果不用考虑元件是否相依带来的误差。

2. 基本概念

在可靠性分析中,通过随机序可直接判断两个元件寿命分布的优劣,为系统设计选型提供理论指导;在金融学中,借助随机序可精准比较不同资产的风险水平,为投资组合构建提供核心决策准则。因此,清晰界定随机序的基本概念,对其深入探讨有利于我们更好地得出理论性质。下文将首先给出随机序的核心定义。

定义1 [9]XY是两个连续非负随机变量,其生存函数分别为 S X ( t )=P( X>t ) S Y ( t )=P( Y>t ) 。若对任意 t0 ,有 S X ( t ) S Y ( t ) ,则称X关于Y满足ST序,记为 X st Y

定义2 [9]XY的失效率率函数分别为 h X ( t )= f X ( t ) S X ( t ) h Y ( t )= f Y ( t ) S Y ( t ) (其中 f X ,  f Y 为概率密度函数)。若对任意 t0 ,有 h X ( t ) h Y ( t ) ,则称X关于Y满足HR序,记为 X hr Y

在可靠性工程、随机比较分析及概率统计领域,扭曲函数(Distortion Function)是一类定义在区间上的单调函数,常用于构建系统的可靠性指标(如系统生存函数、失效率函数),是连接元件可靠性与系统可靠性的重要工具。

定义3 [10]设函数 T:[ 0,1 ][ 0,1 ] 满足以下三个条件,则称 T( x ) 为扭曲函数:

1) 边界条件: T( 0 )=0 T( 1 )=1

2) 单调性: T( x ) 是单调非降函数,即对任意 0 x 1 x 2 1 ,有 T( x 1 )T( x 2 )

3) 可测性: T( x ) 是勒贝格可测函数(在工程与统计应用中,通常默认 T( x ) 为连续函数)。

3. 主要结果

本节主要研究2个分别拥有元件层面冗余与系统层面冗余的单调关联系统在满足什么条件下,系统元件相依与系统元件独立时系统寿命的随机比较情况一致。简而言之,这一问题的等价说法是在研究单调关联系统的BP原理时,在什么情况下可以不考虑元件的相依情况,将元件相依视为元件独立。下文将依次给出系统寿命在ST序与HR序下的随机比较结果。

本文考虑由n个初始元件 C 1 ,, C n 构成的单调关联系统,各元件寿命为 X 1 ,, X n 且元件寿命分布函数相同为F0。该单调关联系统的寿命记为 τ( X ) ,其中 X=( X 1 ,, X n )

当系统元件独立时,具有元件层面冗余的单调关联系统 τ c1 的可靠性函数可表示为:

F ¯ τ c 1 = ( 1 i=0 m ( 1 F ¯ i ( t ) ) ) n

具有系统层面冗余的单调关联系统 τ s1 的可靠性函数可表示为:

F ¯ τ s 1 =1 i=0 m ( 1 F ¯ i n ( t ) )

当系统元件相依时,具有元件层面冗余的单调关联系统 τ c2 的可靠性函数可表示为:

F ¯ τ c 2 =h( 1 i=0 m ( 1 F ¯ i ( t ) ) )

具有系统层面冗余的单调关联系统 τ s2 的可靠性函数可表示为:

F ¯ τ s 2 =1 i=0 m ( 1h( F ¯ i ( t ) ) )

接下来讨论2个单调关联系统在元件独立与相依情况时系统寿命的ST序结果。

定理3.1 当系统满足以下条件

h( 1 i=0 m ( 1 F ¯ i ( t ) ) )1 i=0 m ( 1h( F ¯ i ( t ) ) )

系统将不用考虑元件的相依性, τ c st τ s 恒成立。

证明:首先研究系统元件独立时,具有元件层面冗余的系统与具有系统层面冗余的系统寿命的比较结果,

F ¯ τ c 1 F ¯ τ s 1 = ( 1 i=0 m ( 1 F ¯ i ( t ) ) ) n 1+ i=0 m ( 1 F ¯ i n ( t ) ) =1+ C n 1 ( 1 ) 1 i=0 m ( 1 F ¯ i ( t ) ) + C n 2 ( 1 ) 2 ( i=0 m ( 1 F ¯ i ( t ) ) ) 2 ++ C n n ( 1 ) 2 ( i=0 m ( 1 F ¯ i ( t ) ) ) n 1+ i=0 m ( 1 F ¯ i n ( t ) ) = sgn 1n i=0 m ( 1 F ¯ i ( t ) ) + n( n1 ) 2 ( i=0 m ( 1 F ¯ i ( t ) ) ) 2 1+ i=0 m ( 1 F ¯ i n ( t ) ) =n i=0 m ( 1 F ¯ i ( t ) ) + n( n1 ) 2 ( i=0 m ( 1 F ¯ i ( t ) ) ) 2 + i=0 m ( 1 F ¯ i n ( t ) ) n i=0 m ( 1 F ¯ i ( t ) ) + n( n1 ) 2 i=0 m ( 1 F ¯ i ( t ) ) + i=0 m ( 1 F ¯ i ( t ) ) ( n( n1 ) 2 n+1 ) i=0 m ( 1 F ¯ i ( t ) ) .

n2 时, F ¯ τ c 1 F ¯ τ s 1 0

接下来考虑系统元件相依时,两个系统寿命的比较结果。

要想使系统元件独立与相依时系统寿命比较结果一致,先前我们已经得到了系统寿命表达式,直接进行比较,

h( 1 i=0 m ( 1 F ¯ i ( t ) ) )1 i=0 m ( 1h( F ¯ i ( t ) ) )

对于已经得到的ST序结果,接下来,本文聚焦两个同类型单调关联系统,分别在元件相互独立与元件存在相依关系的两类典型场景下,系统地推导并分析系统寿命的随机序(HR序)判定条件,对比不同元件相关性假设下HR序结论的异同。

定理3.2 当系统满足以下条件,当

( 1u ) h ( u ) h( u )

关于 u( 0,1 ) 是单调递减时,系统将不用考虑元件的相依性, τ c 1 hr τ s 1 恒成立。

证明:先分别计算具有元件层面冗余的系统与具有系统层面冗余的系统这两个系统的失效率函数

f τ c 1 = d dt ( 1 ( 1 i=0 n ( 1 F ¯ i ( t ) ) ) n ) =n ( 1 i=0 n ( 1 F ¯ i ( t ) ) ) n1 d dt ( i=0 n ( 1 F ¯ i ( t ) ) ) =n ( 1 i=0 n ( 1 F ¯ i ( t ) ) ) n1 ( i=0 n ( 1 F ¯ i ( t ) ) ) i=0 n f i ( t ) 1 F ¯ i ( t ) ,

r τ c 1 = n ( 1 i=0 n ( 1 F ¯ i ( t ) ) ) n1 ( i=0 n ( 1 F ¯ i ( t ) ) ) i=0 n f i ( t ) 1 F ¯ i ( t ) ( 1 i=0 m ( 1 F ¯ i ( t ) ) ) n = n i=0 n ( 1 F ¯ i ( t ) ) i=0 n f i ( t ) 1 F ¯ i ( t ) 1 i=0 m ( 1 F ¯ i ( t ) ) ,

f τ s 1 = d dt ( i=0 n ( 1 F ¯ i n ( t ) ) )=n( i=0 n ( 1 F ¯ i n ( t ) ) ) i=0 n F ¯ i n1 ( t ) f i ( t ) 1 F ¯ i n ( t )

r τ s 1 = n( i=0 n ( 1 F ¯ i n ( t ) ) ) i=0 n F ¯ i n1 ( t ) f i ( t ) 1 F ¯ i n ( t ) 1 i=0 m ( 1 F ¯ i n ( t ) ) .

接下来计算两个系统的失效率函数的关系,先研究系统元件独立时,具有元件层面冗余的系统与具有系统层面冗余的失效率函数的比较结果,

r τ c 1 r τ s 1 = n i=0 n ( 1 F ¯ i ( t ) ) i=0 n f i ( t ) 1 F ¯ i ( t ) 1 i=0 m ( 1 F ¯ i ( t ) ) n( i=0 n ( 1 F ¯ i n ( t ) ) ) i=0 n F ¯ i n1 ( t ) f i ( t ) 1 F ¯ i n ( t ) 1 i=0 m ( 1 F ¯ i n ( t ) ) = sgn n i=0 n ( 1 F ¯ i ( t ) ) i=0 n f i ( t ) 1 F ¯ i ( t ) ( 1 i=0 m ( 1 F ¯ i n ( t ) ) ) ( 1 i=0 m ( 1 F ¯ i ( t ) ) )n( i=0 n ( 1 F ¯ i n ( t ) ) ) i=0 n F ¯ i n1 ( t ) f i ( t ) 1 F ¯ i n ( t ) n i=0 n ( 1 F ¯ i ( t ) ) i=0 n f i ( t ) 1 F ¯ i ( t ) ( 1 i=0 m ( 1 F ¯ i ( t ) ) ) ( 1 i=0 m ( 1 F ¯ i ( t ) ) )n( i=0 n ( 1 F ¯ i ( t ) ) ) i=0 n F ¯ i n1 ( t ) f i ( t ) 1 F ¯ i n ( t ) =n i=0 n ( 1 F ¯ i ( t ) ) i=0 n f i ( t ) 1 F ¯ i ( t ) ( 1 i=0 m ( 1 F ¯ i ( t ) ) )( 1 F ¯ i n1 ( t ) )0.

可得到 τ c 1 hr τ s 1 ,另一方面系统元件相依时,当系统满足,

1 i=0 m ( 1h( F ¯ i ( t ) ) ) h( 1 i=0 m ( 1 F ¯ i ( t ) ) )

关于 F ¯ i ( t ) 是单调递减的, τ c 2 hr τ s 2 成立。令 F ¯ i ( t )= u i u i ( 0,1 )

u i ( 1 i=0 m ( 1h( F ¯ i ( t ) ) ) h( 1 i=0 m ( 1 F ¯ i ( t ) ) ) ) = sgn ij ( 1 u i ( t ) ) h ( u i )h( 1 i=0 m ( 1 u i ) ) h ( 1 i=0 m ( 1 u i ) ) ij ( 1 u i ) ( 1 i=0 m ( 1h( u i ) ) ) = sgn ij ( 1 u i ( t ) ) h ( 1 i=0 m ( 1 u i ) ) h( 1 i=0 m ( 1 F ¯ i ( t ) ) ) h ( u i ) h( u i ) = sgn ( 1( 1 i=0 m ( 1 u i ) ) ) h ( 1 i=0 m ( 1 u i ) ) h( 1 i=0 m ( 1 F ¯ i ( t ) ) ) ( 1 u i ) h ( u i ) h( u i ) 0

这里,

i=0 m ( 1 u i ) 1 u i

1 i=0 m ( 1 u i ) u i

故,当 ( 1u ) h ( u ) h( u ) 关于u是单调递减时, F ¯ τ s 2 F ¯ τ c 2 关于t单调递增, τ c 2 hr τ s 2 成立。

定理中关于h(u)的条件等价于h满足New Better Than Used (NBU)类的老化性质,也等价于h是一个对数凹(log-concave)函数。根据 h( 0 )=0 h( 1 )=1 h单调非减的基本假设,当 ( 1u ) h ( u ) h( u ) 单调递减时,可以得到

h( uv )h( u )( v ) u,v( 0,1 )

即元件是正相依。它的物理意义是一个元件的生存会促进另一个元件的生存,系统的联合生存概率高于独立情形。

3.3 考虑由两个元件组成的串联系统,其结构为 ϕ 1 =min( X 1 , X 2 ) ,分别添加元件层面热冗余与系统层面热冗余,两个新系统记为 τ 1 τ 2 ,这两个系统结构的表达式为

ϕ c =min( max( X 1 , Y 1 ),max( X 2 , Y 2 ) )

生存函数满足 F ¯ ( t )=exp( t ) 。系统的相依结构由Clayton Copula刻画(参数 θ>0 ):

C( u 1 , u 2 , u 3 ;θ )= ( u 1 θ + u 2 θ + u 3 θ 2 ) 1/θ

当系统元件独立时,设具有元件层面冗余的单调关联系统 τ s 1 的可靠性函数为 F ¯ τ c 1 ,具有系统层面冗余的单调关联系统 τ s 1 的可靠性函数可表示为 F ¯ τ S 1 。当系统元件相依时,设具有元件层面冗余的单调关联系统 τ c 2 的可靠性函数为 F ¯ τ c 2 ,具有系统层面冗余的单调关联系统 τ s 2 的可靠性函数为 F ¯ τ S 2

F ¯ C 1 =1( 1 u 1 ) ( 1 u 2 ) 2

F ¯ S 1 =1( 1 u 1 2 )( 1 u 2 2 )

F ¯ C 2 =h( 1( 1 u 1 )( 1 u 2 ) )

F ¯ S 2 =1( 1h( u 1 ) )( 1h( u 2 ) )

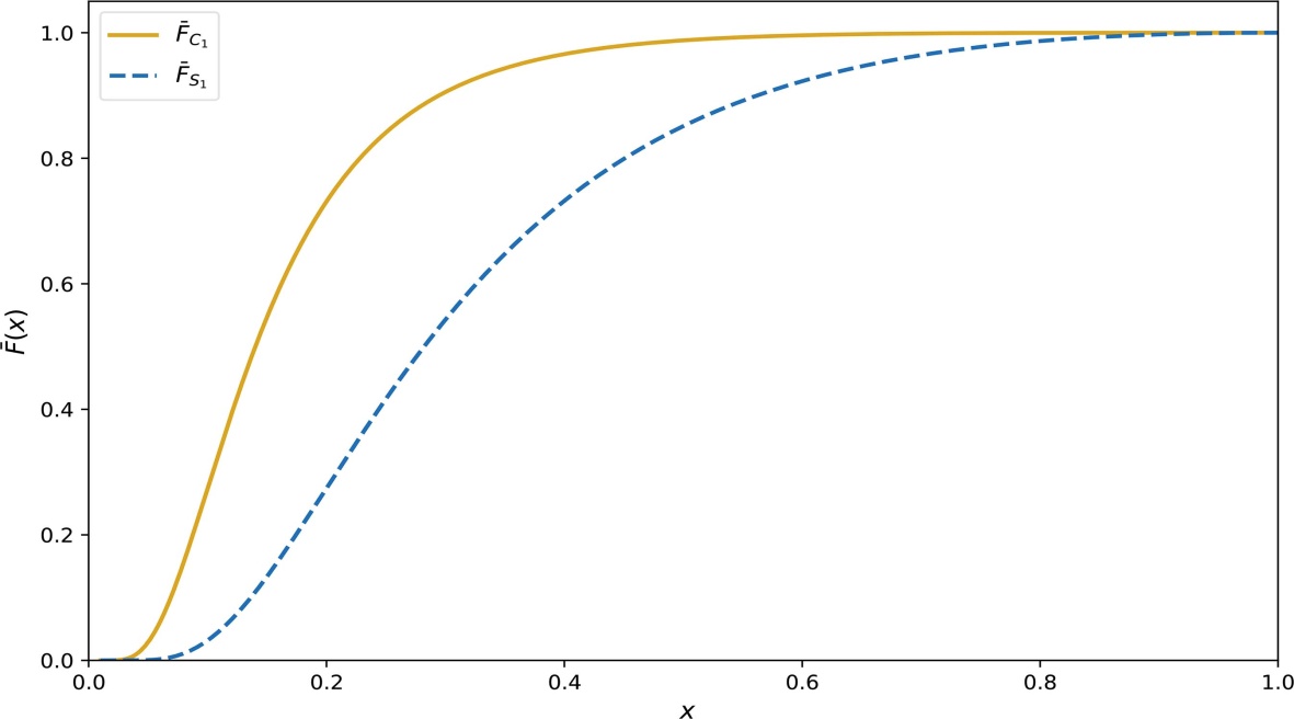
Figure 2. System survival function F ¯ τ c 1 and F ¯ τ s 1 , t=1/x 1 , x[ 0,1 ]

2. 系统生存函数 F ¯ τ c 1 F ¯ τ s 1 t=1/x 1 x[ 0,1 ]

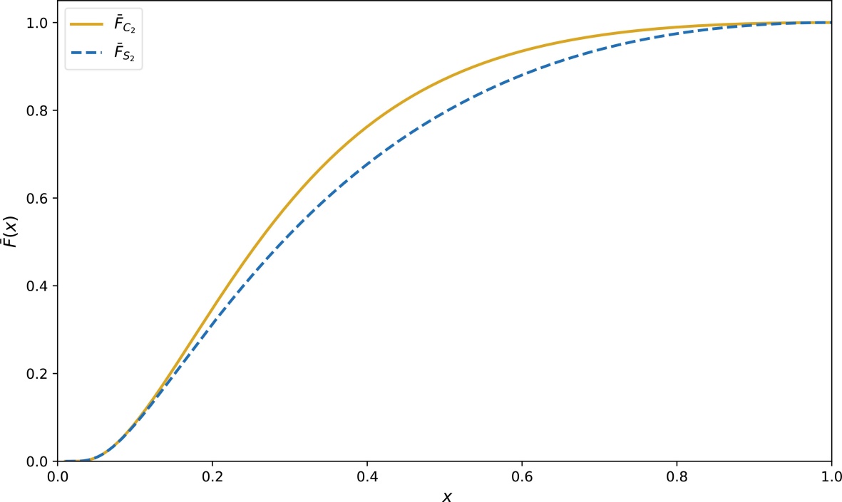
Figure 3. System survival function F ¯ τ c 2 and F ¯ τ s 2 , t=1/x 1 , x[ 0,1 ]

3. 系统生存函数 F ¯ τ c 2 F ¯ τ s 2 t=1/x 1 x[ 0,1 ]

其中 h( u )=C( u,θ )= ( 3 u θ 2 ) 1 θ u 1 X 1 , X 2 的生存函数, u 2 Y 1 , Y 2 的生存函数。图2图3可发现 F ¯ C 1 F ¯ S 1 F ¯ C 2 F ¯ S 2 ,证明了在上述系统中,在元件相依与元件独立时系统寿命随机比较结果一致。

参考文献

[1] Boland, P.J. and El-Neweihi, E. (1995) Component Redundancy vs System Redundancy in the Hazard Rate Ordering. IEEE Transactions on Reliability, 44, 614-619. [Google Scholar] [CrossRef
[2] Gupta, R. and Nanda, A. (2001) Some Results on Reversed Hazard Rate Ordering. Communications in Statistics: Theory and Methods, 30, 2447-2457. [Google Scholar] [CrossRef
[3] Nanda, A.K. and Hazra, N.K. (2013) Some Results on Active Redundancy at Component Level versus System Level. Operations Research Letters, 41, 241-245. [Google Scholar] [CrossRef
[4] Hazra, N.K. and Nanda, A.K. (2014) Component Redundancy versus System Redundancy in Different Stochastic Orderings. IEEE Transactions on Reliability, 63, 567-582. [Google Scholar] [CrossRef
[5] Singh, H. and Singh, R.S. (1997) Note: Optimal Allocation of Resources to Nodes of Series Systems with Respect to Failure-Rate Ordering. Naval Research Logistics, 44, 147-152. [Google Scholar] [CrossRef
[6] Romera, R., Valdes, J. and Zequeira, R.I. (2004) Active-Redundancy Allocation in Systems. IEEE Transactions on Reliability, 53, 313-318. [Google Scholar] [CrossRef
[7] Zhao, P., Zhang, Y. and Li, L. (2015) Redundancy Allocation at Component Level versus System Level. European Journal of Operational Research, 241, 402-411. [Google Scholar] [CrossRef
[8] Li, C. and Li, X. (2023) On Relevation Redundancy to Coherent Systems at Component and System Levels. Journal of Applied Probability, 61, 104-120. [Google Scholar] [CrossRef
[9] Navarro, J., Ruiz, J.M. and Sandoval, C.J. (2007) Properties of Coherent Systems with Dependent Components. Communications in Statistics-Theory and Methods, 36, 175-191. [Google Scholar] [CrossRef
[10] Navarro, J., del Águila, Y., Sordo, M.A. and Suárez‐Llorens, A. (2012) Stochastic Ordering Properties for Systems with Dependent Identically Distributed Components. Applied Stochastic Models in Business and Industry, 29, 264-278. [Google Scholar] [CrossRef
[11] Belzunce, F., Martínez-Puertas, H. and Ruiz, J.M. (2011) On Optimal Allocation of Redundant Components for Series and Parallel Systems of Two Dependent Components. Journal of Statistical Planning and Inference, 141, 3094-3104. [Google Scholar] [CrossRef
[12] Gupta, N. and Kumar, S. (2014) Stochastic Comparisons of Component and System Redundancies with Dependent Components. Operations Research Letters, 42, 284-289. [Google Scholar] [CrossRef
[13] Da, G. and Ding, W. (2016) Component Level versus System Level K-Out-of-Assembly Systems. IEEE Transactions on Reliability, 65, 425-433. [Google Scholar] [CrossRef
[14] Zhang, Y., Amini‐Seresht, E. and Ding, W. (2017) Component and System Active Redundancies for Coherent Systems with Dependent Components. Applied Stochastic Models in Business and Industry, 33, 409-421. [Google Scholar] [CrossRef
[15] Yan, R. and Wang, J. (2020) Component Level versus System Level at Active Redundancies for Coherent Systems with Dependent Heterogeneous Components. Communications in Statistics-Theory and Methods, 51, 1724-1744. [Google Scholar] [CrossRef
[16] You, Y. and Li, X. (2025) Barlow and Proschan Principle for Coherent Systems with Statistically Dependent Component and Redundancy Lifetimes. Probability in the Engineering and Informational Sciences, 39, 141-155. [Google Scholar] [CrossRef