脑脊液代谢物与胶质母细胞瘤因果关系研究——一项两样本孟德尔随机化分析研究
Causal Relationship Analysis between Cerebrospinal Fluid Metabolites and Glioblastoma—A Two-Sample Mendelian Randomization Study
摘要: 胶质母细胞瘤是致死率极高的原发性脑肿瘤,中位生存期不足15个月。随着基因组学技术及算力迭代升级,如全基因组关联分析、代谢组学等研究方法已较为成熟,推动了以单核苷酸多态性作为工具变量探索因果关系的孟德尔随机化分析的进展。本研究基于双向两样本孟德尔随机化方法,分别利用FinnGen与IEU Open GWAS数据库中有关胶质母细胞瘤及脑脊液代谢物的数据,分析两者间的因果效应。主分析采用逆方差加权法,辅以MR-Egger、加权中位数等敏感性分析。结果显示15种脑脊液代谢物与胶质母细胞瘤相关,其中8种呈显著负相关、7种呈正相关,且反向孟德尔随机化无阳性发现,提示这些关联具有方向特异性,支持脑脊液代谢物水平可能作为胶质母细胞瘤的潜在因果风险或保护因素,而非疾病后果。
Abstract: Glioblastoma (GBM) is a highly lethal primary brain tumor with a median survival of under 15 months. Advances in genomic technologies and computational power have accelerated genome-wide association studies (GWAS) and metabolomics, enabling Mendelian randomization (MR)—a method that uses single nucleotide polymorphisms (SNPs) as instrumental variables to infer causal relationships. In this study, we applied bidirectional two-sample MR to evaluate the causal relationship of cerebrospinal fluid (CSF) metabolites with GBM, using GWAS summary statistics sourced from the FinnGen consortium and the IEU Open GWAS database. Primary analysis used the inverse-variance weighted (IVW) method, supplemented by sensitivity analyses including MR-Egger and weighted median approaches. The results identified 15 CSF metabolites significantly associated with GBM risk—eight inversely and seven positively. Notably, reverse MR analyses yielded no significant associations, supporting a unidirectional causal effect and suggesting that altered CSF metabolite levels may serve as upstream risk or protective factors in GBM pathogenesis, rather than being secondary consequences of the disease.
文章引用:刘天意, 刘国栋. 脑脊液代谢物与胶质母细胞瘤因果关系研究——一项两样本孟德尔随机化分析研究[J]. 临床医学进展, 2026, 16(2): 870-878. https://doi.org/10.12677/acm.2026.162462

1. 引言

胶质母细胞瘤(Glioblastoma, GBM)是成人中最常见的恶性原发性脑肿瘤,其恶性程度高,中位生存期仅为12至15个月,5年生存率仅约6.8% [1]。GBM的发病机制涉及复杂的分子通路,包括PDGF过表达、EGFR扩增以及TP53和PTEN基因突变等[2]。然而,由于遗传与环境因素的相互作用以及潜在的反向因果关系,识别GBM的因果风险因素仍面临挑战。

代谢组学作为研究代谢重编程的强大工具,为GBM的病理生理机制提供了新的视角[3]。脑脊液(Cerebrospinal Fluid, CSF)与脑组织直接接触,是研究脑肿瘤代谢特征的独特窗口[4]。先前的观察性研究表明,特定脑脊液代谢物(Cerebrospinal Fluid Metabolites, CSFM)与GBM存在相关性,但这些相关性无法区分因果关系与单纯相关性[5] [6]。孟德尔随机化(Mendelian Randomization, MR)是一种以遗传变异为工具变量来推断因果关系的统计方法,可以有效克服传统观察性研究的局限性[7]

本研究采用双向两样本孟德尔随机化分析方法,旨在评估CSF代谢物与GBM之间的因果关系。该方法不仅能评估CSFM对GBM风险的影响(正向分析),还能评估GBM对CSFM水平的影响(反向分析),从而揭示因果关系的方向性。本研究利用FinnGen和IEU Open GWAS数据库中的遗传数据,为GBM的病因学研究提供新的证据。

2. 数据处理及分析方法

2.1. 研究设计

本研究采用两样本孟德尔随机化(Two-Sample Mendelian Randomization, 2SMR)方法,探究脑脊液(CSF)代谢物与胶质母细胞瘤(GBM)之间的因果关系。所有分析均严格遵循MR方法的三个核心假设:1) 遗传变异与暴露因素相关;2) 遗传变异独立于混杂因素;3) 遗传变异仅通过暴露因素影响结局[8]

2.2. 数据来源

本研究采用两样本孟德尔随机化设计。GBM及CSFM数据分别来源于FinnGen (FG)联盟和IEU Open GWAS数据库;其中GBM相关GWAS数据源自FG Release 12版本,数据对应队列总样本量为520,120例,其中确诊GBM病例有435例;而CSFM的GWAS数据则来源于IEU Open GWAS数据库,其包括基于291名个体分析所得的338种CSFM的汇总统计量。所有分析均限制在欧洲血统人群中,以减少人群分层偏倚。

2.3. 工具变量筛选

为确保MR分析的可靠性,我们对每个CSFM的遗传工具变量(SNPs)按下述3个步骤进行筛选:1) 基于全基因组显著性水平(p < 1 × 105)筛选与代谢物显著相关的SNPs;2) 去除连锁不平衡(Linkage Disequilibrium, LD),排除高度相关的SNPs以保证工具变量的独立性(参数设定为r2 < 0.001,遗传距离10,000 kb);3) 通过F统计量(F = R2(N − 2)/(1 − R2) (R²为SNPs解释的方差比例,N为GWAS样本量),评估工具变量强度,排除F值 < 10的弱工具变量。

2.4. 孟德尔随机化分析

本研究采用双向两样本孟德尔随机化(Bidirectional Two-Sample Mendelian Randomization, B2SMR)方法,评估CSFM与GBM之间的因果关系。为确保工具变量的有效性,我们采用以下标准筛选SNPs:与CSFM或GBM显著相关(p < 1 × 105)、无连锁不平衡(r2 < 0.001)、无明显多效性(通过MR-Egger截距检验评估)。

本研究选择逆方差加权法(Inverse-Variance Weighted, IVW)作为主要分析方法,因其在无多效性情况下具有最高统计效率;同时采用MR-Egger回归和加权中位数法进行敏感性分析,以评估多效性和异质性对结果的影响。所有分析均使用R软件(版本4.3.0)中的Mendelian Randomization包进行。

此次所使用的B2SMR方法中,正向分析目的为评估CSFM对GBM风险的影响,发现是否存在对GBM有因果效应的CSFM,而反向分析则明确GBM对所发现可能相关的CSFM水平有无影响;若同一CSFM的正向分析显示显著关联而反向分析无显著关联,则支持该CSFM水平可能是GBM的因果风险或保护因素,而非疾病后果。

3. 分析结果

3.1. CSFM与GBM的关联方向及显著性

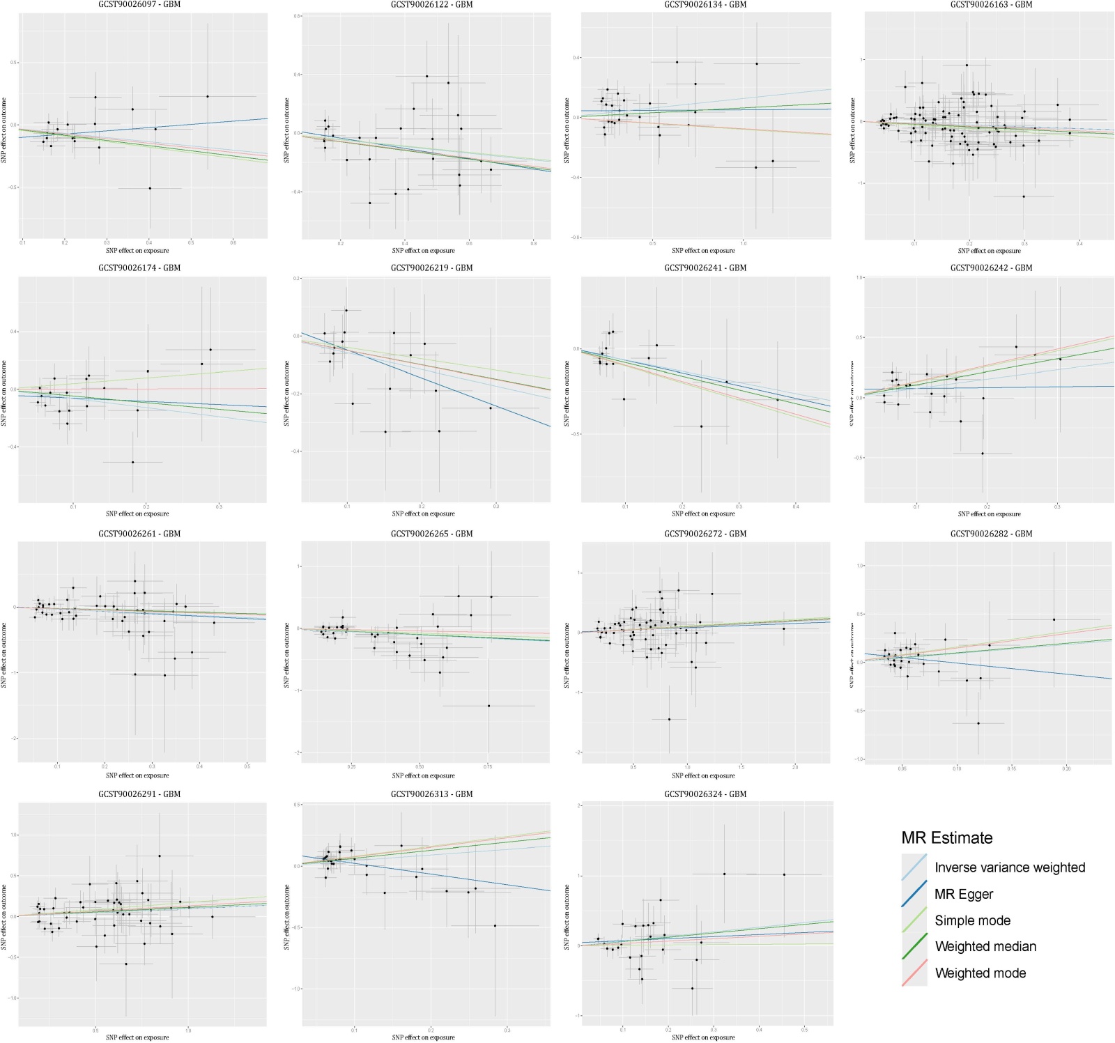
本研究采用2SMR方法,发现了15种CSFM与GBM之间存在可能的因果关系(表1),其中8种代谢物具有保护作用(OR < 1)、7种具有风险作用(OR > 1),各CSFM与GBM的2SMR散点图如图1所示,水平多效性及异质性检验的结果见表2

3.2. 保护性代谢物

4-甲基儿茶酚硫酸盐(4-Methylcatechol Sulfate, OR = 0.714, 95% CI: 0.568~0.899)、花生四烯酸(Arachidonate, OR = 0.795, 95% CI: 0.657~0.962)、γ-谷氨酰谷氨酰胺(Gamma-Glutamylglutamine, OR = 0.739, 95% CI: 0.562~0.971)、甘油磷酸肌醇(Glycerophosphoinositol, OR = 0.531, 95% CI: 0.289~0.977)、N-乙酰甲硫氨酸(N-Acetylmethionine, OR = 0.559, 95% CI: 0.358~0.876)、乳清酸(Orotate, OR = 0.518, 95% CI: 0.276~0.974)、S-1-吡咯啉-5-羧酸(S-1-Pyrroline-5-Carboxylate, OR = 0.727, 95% CI: 0.532~0.993)、亚精胺(Spermidine, OR = 0.808, 95% CI: 0.697~0.938)显著降低GBM风险。

3.3. 风险性代谢物

咖啡因(Caffeine, OR = 1.136, 95% CI: 1.008~1.280)、乳清苷(Orotidine, OR = 2.164, 95% CI: 1.188~3.942)、可可碱(Theobromine, OR = 1.097, 95% CI: 1.010~1.191)、尿嘧啶(Uracil, OR = 2.518, 95% CI: 1.190~5.328)、X-12007 (OR = 1.103, 95% CI: 1.006~1.210)、X-22162 (OR = 1.575, 95% CI: 1.013~2.450)、X-24228 (OR = 1.947, 95% CI: 1.054~3.599)显著增加GBM风险。

图中15个子图的GCST编号与代谢物对应关系如下:GCST90026097,4-Methylcatechol Sulfate,4-甲基儿茶酚硫酸盐;GCST90026122,Arachidonate (20:4n6),花生四烯酸(20:4n6);GCST90026134,Caffeine,咖啡因;GCST90026163,Gamma-Glutamylglutamine,γ-谷氨酰谷氨酰胺;GCST90026174,Glycerophosphoinositol,甘油磷酸肌醇;GCST90026219,N-Acetylmethionine,N-乙酰基甲硫氨酸;GCST90026241,Orotate,乳清酸;GCST90026242,Orotidine,乳清苷;GCST90026261,S-1-Pyrroline-5-Carboxylate,S-1-吡咯啉-5-羧酸;GCST90026265,Spermidine,亚精胺;GCST90026272,Theobromine,可可碱;GCST90026282,Uracil,尿嘧啶;GCST90026291,X-12007;GCST90026313,X-22162;GCST90026324,X-24228。

Figure 1. Scatter plots of 15 CSFMs related to the risk of GBM

1. 与GBM风险关联的15种CSFM的散点图

Table 1. Causal associations between CSFM and GBM risk estimated by the IVW method

1. IVW法分析CSFM与GBM风险的因果关联结果

代谢物名称

OR

95% CI

p

效应方向

4-Methylcatechol Sulfate

0.714

0.568~0.899

0.004

降低风险

Arachidonate (20:4n6)

0.795

0.657~0.962

0.019

降低风险

Caffeine

1.136

1.008~1.280

0.036

增加风险

Gamma-Glutamylglutamine

0.739

0.562~0.971

0.030

降低风险

Glycerophosphoinositol

0.531

0.289~0.977

0.042

降低风险

N-Acetylmethionine

0.559

0.358~0.876

0.011

降低风险

Orotate

0.518

0.276~0.974

0.041

降低风险

Orotidine

2.164

1.188~3.942

0.012

增加风险

S-1-Pyrroline-5-Carboxylate

0.727

0.532~0.993

0.045

降低风险

Spermidine

0.808

0.697~0.938

0.005

降低风险

Theobromine

1.097

1.010~1.191

0.033

增加风险

Uracil

2.518

1.190~5.328

0.016

增加风险

X-12007

1.103

1.006~1.210

0.037

增加风险

X-22162

1.575

1.013~2.450

0.044

增加风险

X-24228

1.947

1.054~3.599

0.033

增加风险

Table 2. Heterogeneity, pleiotropy, and MR-PRESSO sensitivity analyses for the causal associations of CSFMs with GBM

2. CSFM与GBM因果关联的异质性、多效性及MR-PRESSO敏感性分析结果

Exposure Phenotype

Methods

Q

p

Intercept

p

MR-PRESSO

4-Methylcatechol Sulfate Levels

IVW

13.76656

0.68355

−0.125257

0.13935

0.005365867

MR-Egger

11.34658

0.78760

Arachidonate (20:4n6) Levels

IVW

27.78417

0.31788

0.036134

0.48907

0.0267893

MR-Egger

27.22421

0.29411

Caffeine Levels

IVW

27.50645

0.33107

0.044010

0.39581

0.04678201

MR-Egger

26.67557

0.31980

Gamma-Glutamylglutamine Levels

IVW

76.96252

0.85298

−0.001368

0.96366

0.0204798

MR-Egger

76.96043

0.83470

Glycerophosphoinositol Levels

IVW

14.15733

0.71878

−0.038328

0.55295

0.03388916

MR-Egger

13.79089

0.68184

N-Acetylmethionine Levels

IVW

11.07466

0.74728

0.048263

0.47672

0.009817865

MR-Egger

10.54001

0.72173

Orotate Levels

IVW

10.12990

0.75263

0.007513

0.90050

0.03076978

MR-Egger

10.11364

0.68462

Orotidine Levels

IVW

18.05243

0.58395

0.070060

0.31353

0.01519874

MR-Egger

16.98060

0.59118

S-1-Pyrroline-5-Carboxylate Levels

IVW

32.35709

0.92086

0.007403

0.83330

0.02237162

MR-Egger

32.31227

0.90396

Spermidine Levels

IVW

36.66968

0.43763

−0.003338

0.93839

0.008002538

MR-Egger

36.66333

0.39157

Theobromine Levels

IVW

62.82009

0.37669

0.012524

0.71982

0.03216343

MR-Egger

62.68208

0.34706

Uracil Levels

IVW

27.15816

0.45529

0.108261

0.10136

0.02274321

MR-Egger

24.27347

0.56033

X-12007 Levels

IVW

43.63449

0.72518

0.000691

0.98498

0.03027909

MR-Egger

43.63413

0.68975

X-22162 Levels

IVW

14.77107

0.98672

0.110353

0.05982

0.008488759

MR-Egger

10.92318

0.99842

X-24228 Levels

IVW

26.81484

0.36520

0.044332

0.48702

0.04346604

MR-Egger

26.26937

0.33964

4. 讨论

4.1. 主要研究发现

本研究采用双向两样本孟德尔随机化(2SMR)方法,发现15种CSFM与GBM之间存在可能的因果关系,其中8种代谢物(4-甲基儿茶酚硫酸盐、花生四烯酸、γ-谷氨酰谷氨酰胺、甘油磷酸肌醇、N-乙酰基甲硫氨酸、乳清酸、S-1-吡咯啉-5-羧酸和亚精胺)与GBM风险呈显著负相关,7种代谢物(咖啡因、乳清苷、可可碱、尿嘧啶、X-12007、X-22162和X-24228)则呈显著正相关。与Bao等人(2024)研究相比,本研究共发现15种CSFM与GBM存在因果关系,而Bao等人发现14种[9]。本研究发现的保护性代谢物(N-乙酰基甲硫氨酸、γ-谷氨酰谷氨酰胺等)与Bao等人研究中发现的保护性代谢物(N1-Methylinosine、Stachydrine、Succinylcarnitine)在类别上有所重叠,但具体代谢物存在差异。这可能与数据库来源、样本人群或分析方法的差异有关。所有代谢物的正向分析均显示显著关联,而反向分析无阳性发现,表明这些关联具有方向特异性,支持上述CSFM水平可能作为GBM的潜在因果风险或保护因素,而非疾病后果。15种脑脊液代谢物与GBM风险的关联分析结果显示,这些代谢物对GBM风险的影响存在显著差异。在保护性代谢物中,N-乙酰基甲硫氨酸和γ-谷氨酰谷氨酰胺表现出最强的保护效应,而S-1-吡咯啉-5-羧酸和4-甲基儿茶酚硫酸盐的保护效应相对较弱但同样显著。在风险性代谢物中,尿嘧啶和乳清苷表现出最强的风险效应,而咖啡因和可可碱的风险效应相对较弱但同样显著。此外,本研究还识别出3种缺乏标准中文命名的代谢物(X-12007、X-22162和X-24228)。这类“X-”前缀的代谢物通常对应人类代谢组数据库(Human Metabolome Database, HMDB)中尚未完成结构鉴定或功能注释的化合物。尽管这些X类代谢物在现阶段难以提供直接的临床指导价值,但其在2SMR及反向MR一致的显著因果关联提示其可能代表潜在的新型生物标志物。

反向孟德尔随机化分析未发现任何显著关联,这进一步支持了因果关系的方向特异性,即代谢物水平的变化可能影响GBM的发生风险,而非GBM导致代谢物水平的变化。这种方向特异性为理解GBM的发病机制提供了重要线索,表明脑脊液代谢物可能在肿瘤发生早期就起到关键作用。

4.2. 统计结果的稳健性分析

本研究采用多种统计方法来评估结果的稳健性,包括IVW、MR-Egger回归、加权中位数法和MR-PRESSO敏感性分析。效应大小的一致性分析表明,多数代谢物的IVW效应方向与MR-Egger一致,但部分代谢物存在差异。异质性检验(Q检验)显示,多数代谢物的Q检验p值 > 0.05,表明工具变量间无显著异质性;但少数如Caffeine和Gamma-Glutamylglutamine的Q值较高,需结合样本量进一步分析。而多效性检验结果显示,多数代谢物的MR-Egger截距p值多>0.05,但尿嘧啶和X-22162接近显著性阈值,可能存在多效性干扰。MR-PRESSO敏感性分析表明,所有代谢物的MR-PRESSO p值均≥0.05,表明排除潜在异常值后因果效应仍显著,支持结果稳健性。工具变量强度(F统计量)是孟德尔随机化分析中的重要考量因素,而本研究数据中所有SNP的F值均>10,满足强工具变量条件。

4.3. CSFM与GBM病理生理机制的关联

本研究发现的代谢物与GBM风险的关联可从多个病理生理机制角度进行解释:咖啡因在体外实验中被证实可抑制GBM细胞增殖、迁移及侵袭,并通过调控FAK/AKT/ROCK通路促进凋亡,但本研究结果显示其与GBM风险呈正相关(OR = 1.136),提示咖啡因的摄入量可能与GBM风险存在剂量依赖性关系,需进一步研究其在不同剂量下的风险效应[10]。花生四烯酸作为脂质介质,其代谢通路在GBM中富集,可能通过促进肿瘤血管生成、抑制抗肿瘤反应,并导致治疗耐药。本研究结果显示其OR = 0.795 (95% CI: 0.657~0.962, p = 0.019),表明花生四烯酸水平升高降低GBM风险,这可能与其在肿瘤微环境中的双重作用有关,需进一步研究其在GBM中的具体作用机制。尿嘧啶作为DNA/RNA合成前体,其水平升高可能通过促进TYMS (胸苷酸合成酶)活性加速肿瘤增殖,与GBM风险正相关(OR = 2.518)的机制相符。TYMS抑制剂,如5-氟尿嘧啶,在胃癌、结肠癌中有效,但在GBM中TYMS的表达调控可能影响药物敏感性。本研究结果提示尿嘧啶水平可能作为GBM预后判断和治疗反应预测的潜在标志物。N-乙酰基甲硫氨酸作为甲基供体,N-乙酰基甲硫氨酸可能通过调控DNA甲基化降低GBM风险。本研究结果显示其OR = 0.559 (95% CI: 0.358~0.876, p = 0.011),表明其保护效应显著,可能与表观遗传调控有关。N-乙酰基甲硫氨酸的甲基化调控作用可能为GBM的表观遗传治疗提供新思路。亚精胺作为多胺代谢物,可通过mTOR去磷酸化诱导自噬,降低GBM风险(OR = 0.808, 95% CI: 0.697~0.938, p = 0.005)。自噬在GBM发生发展中的作用复杂,既可抑制肿瘤生长,也可促进肿瘤细胞存活。本研究结果提示亚精胺可能通过激活保护性自噬通路降低GBM风险,为GBM的自噬靶向治疗提供了新方向。另外,本研究所发现的3种X类列代谢物,即X-12007、X-22162和X-24228,虽因尚未完成结构鉴定或功能注释而无实际临床意义,但其在B2SMR中一致的显著因果关联提示,其与GBM风险相关,且均呈正相关(OR分别为1.103、1.575和1.947),提示其可能参与GBM的代谢通路,但具体机制仍待未来通过整合高分辨质谱、核磁共振等正交分析技术,实现其化学结构的精确鉴定后,方能进一步明确。

4.4. 研究局限性

本研究也存在很多局限性。IEU Open GWAS数据库中脑脊液代谢物数据来源于291名个体,样本量较小降低统计效力,导致部分代谢物效应估计不稳定,使得数据分析的结论可能并不可靠。样本量不足限制了我们对代谢物与GBM风险关联的精确估计,未来研究需扩大样本量以提高结果的可靠性。此外,结果包括尚未完成结构鉴定或功能注释而无实际临床意义的X类化合物,其具体生物学性质不明确,严重限制了结果的解释深度和临床应用价值。而且,也应当注意脑脊液代谢物检测需依赖多平台协同,如NMR、GC-MS、LC-MS,不同方法的灵敏度和覆盖范围差异可能导致系统性偏倚。另外本研究虽然采用了MR-Egger回归检验多效性,但仍可能存在未检测到的混杂因素。

4.5. 临床意义与未来研究方向

本研究发现的代谢物与GBM风险的关联具有一定的临床指导意义。尿嘧啶和乳清苷等风险代谢物与DNA/RNA合成通路相关,可能作为早期诊断或预后标志物。脑脊液代谢物检测虽然侵入性较强,但其特异性高,对于GBM的早期发现和风险评估具有潜在价值。未来研究可探索这些代谢物在脑脊液中的动态变化与肿瘤进展的关联,以提高诊断的准确性和及时性。N-乙酰基甲硫氨酸的甲基化调控作用可能与MGMT启动子甲基化相关,后者是GBM对替莫唑胺化疗敏感性的关键预测因子。探索N-乙酰基甲硫氨酸与MGMT甲基化的关联可能为GBM的个体化治疗提供新思路。亚精胺通过激活自噬通路降低GBM风险,可探索其与放化疗的联合应用,以增强治疗效果。花生四烯酸代谢产物(如PGE2)通过促进脂肪酸氧化增强GBM的TMZ耐药性,抑制相关酶(如FAK/AKT或CPT1A),可能改善疗效。脑脊液代谢物的多平台检测可能导致数据偏差,建议未来研究采用统一方法,如HPLC,验证结果。代谢组学与基因组学、蛋白质组学的整合分析将有助于揭示GBM的多组学特征和发病机制。此外,结合多组学数据和动态代谢监测,可提高代谢物标志物的可靠性及治疗策略的精准性。尽管X系列代谢物缺乏标准命名,但其高OR值提示潜在临床价值。结合代谢通路数据库推测,X-24228可能参与脂质合成通路,与GBM的代谢重编程相关。明确X系列代谢物的化学结构和功能是理解其与GBM风险关联的关键,建议通过GCST编号或联系数据提供方获取更多信息。部分代谢物(如咖啡因)与GBM风险呈正相关,可能提示其摄入需谨慎,而其他代谢物(如N-乙酰基甲硫氨酸)与GBM风险呈负相关,可能提示其补充或调节具有预防潜力。基于代谢物与GBM风险关联的预防策略需进一步研究验证,但本研究结果为开发基于代谢组学的GBM预防策略提供了理论基础。

5. 结论

本研究采用双向两样本孟德尔随机化方法,首次系统性地揭示了15种CSFM与GBM之间的因果关系网络,其中8种代谢物具有保护作用,7种代谢物具有风险作用。这些发现为理解GBM的发病机制提供了新的视角,并为未来开发基于代谢组学的诊断标志物和治疗靶点奠定了基础。尽管本研究存在样本量限制、代谢物命名问题等局限性,但多种敏感性分析方法的结果一致性表明我们的主要发现具有一定的稳健性。未来研究需扩大样本量、明确代谢物命名、验证工具变量强度,并探索代谢物与GBM风险关联的分子机制,以进一步验证本研究结果并推动其临床转化。总之,脑脊液代谢物作为GBM的潜在因果风险或保护因素,可能在肿瘤发生早期就起到关键作用。通过深入研究这些代谢物的生物学功能和临床应用价值,有望为GBM的早期诊断、个体化治疗和预防提供新的思路和方法。

致 谢

感谢所有参与GWAS数据库开发、研究并提供数据、收集数据的参与者和研究人员。

声 明

本研究所使用数据均源于公共公开数据库,所有获取数据的行为均满足各个数据库当时的要求,且所有数据均不涉及来源患者的个人信息及医疗数据。

NOTES

*通讯作者。

参考文献

[1] Ostrom, Q.T., Price, M., Neff, C., Cioffi, G., Waite, K.A., Kruchko, C., et al. (2022) CBTRUS Statistical Report: Primary Brain and Other Central Nervous System Tumors Diagnosed in the United States in 2015-2019. Neuro-Oncology, 24, v1-v95. [Google Scholar] [CrossRef] [PubMed]
[2] Rogachev, A.D., Alemasov, N.A., Ivanisenko, V.A., Ivanisenko, N.V., Gaisler, E.V., Oleshko, O.S., et al. (2021) Correlation of Metabolic Profiles of Plasma and Cerebrospinal Fluid of High-Grade Glioma Patients. Metabolites, 11, Article 133. [Google Scholar] [CrossRef] [PubMed]
[3] Mikolajewicz, N., Yee, P.P., Bhanja, D., Trifoi, M., Miller, A.M., Metellus, P., et al. (2024) Systematic Review of Cerebrospinal Fluid Biomarker Discovery in Neuro-Oncology: A Roadmap to Standardization and Clinical Application. Journal of Clinical Oncology, 42, 1961-1974. [Google Scholar] [CrossRef] [PubMed]
[4] Panyard, D.J., Kim, K.M., Darst, B.F., Deming, Y.K., Zhong, X., Wu, Y., et al. (2021) Cerebrospinal Fluid Metabolomics Identifies 19 Brain-Related Phenotype Associations. Communications Biology, 4, Article No. 63. [Google Scholar] [CrossRef] [PubMed]
[5] Tashjian, R.S., Vinters, H.V. and Yong, W.H. (2019) Biobanking of Cerebrospinal Fluid. In: Methods in Molecular Biology, Springer, 107-114. [Google Scholar] [CrossRef] [PubMed]
[6] Locasale, J.W., Melman, T., Song, S., Yang, X., Swanson, K.D., Cantley, L.C., et al. (2012) Metabolomics of Human Cerebrospinal Fluid Identifies Signatures of Malignant Glioma. Molecular & Cellular Proteomics, 11, M111.014688. [Google Scholar] [CrossRef] [PubMed]
[7] Davey Smith, G. and Ebrahim, S. (2003) ‘Mendelian Randomization’: Can Genetic Epidemiology Contribute to Understanding Environmental Determinants of Disease? International Journal of Epidemiology, 32, 1-22. [Google Scholar] [CrossRef] [PubMed]
[8] Hemani, G., Zheng, J., Elsworth, B., Wade, K.H., Haberland, V., Baird, D., et al. (2018) The MR-Base Platform Supports Systematic Causal Inference across the Human Phenome. eLife, 7, e34408. [Google Scholar] [CrossRef] [PubMed]
[9] Bao, H., Chen, Y., Meng, Z. and Chu, Z. (2024) The Causal Relationship between CSF Metabolites and GBM: A Two-Sample Mendelian Randomization Analysis. BMC Cancer, 24, Article No. 1119. [Google Scholar] [CrossRef] [PubMed]
[10] Holick, C.N., Smith, S.G., Giovannucci, E. and Michaud, D.S. (2010) Coffee, Tea, Caffeine Intake, and Risk of Adult Glioma in Three Prospective Cohort Studies. Cancer Epidemiology, Biomarkers & Prevention, 19, 39-47. [Google Scholar] [CrossRef] [PubMed]