特细砂混凝土在奶牛场建设项目中的应用研究
Research on the Application of Ultra-Fine Sand Concrete in Dairy Farm Construction Projects
DOI: 10.12677/hjce.2026.152025, PDF, HTML, XML,    科研立项经费支持
作者: 包 宁:宁夏农垦建设有限公司,宁夏 银川;毛治珺:宁夏百力德建筑工程有限公司砼制品分公司,宁夏 银川
关键词: C30特细砂混凝土抗压强度奶牛场建设地面工程C30 Ready Mixed Concrete Compressive Strength Construction of Dairy Farms Ground Engineering
摘要: 为满足现代奶牛场建设对混凝土工程质量的要求,本文以农垦乳业股份有限公司红崖子第三奶牛场建设项目–后备牛舍地面工程为研究对象,系统开展了C30特细砂混凝土的原材料选择、配合比设计、性能检测及工程应用研究。通过试验确定了优化的C30混凝土配合比。性能检测结果表明,该配合比混凝土氯离子和碱含量控制在规范允许范围内,28 d抗压强度达到42.36 MPa,强度达标率141.21%;坍落度实测值165 mm,满足设计要求的150 ± 30 mm范围。该C30特细砂混凝土具有良好的工作性能和力学性能,完全满足奶牛场后备牛舍地面工程的使用要求,为类似农业建筑工程的混凝土应用提供了可靠的技术参考。
Abstract: In order to meet the requirements of modern dairy farm construction for the quality of concrete engineering, this article takes the construction project of Hongyazi Third Dairy Farm of Nongken Dairy Co., Ltd. - Reserve Cowshed Ground Engineering as the research object, and systematically conducts research on the selection of raw materials, mix design, performance testing, and engineering application of C30 ultra-fine sand concrete. The optimized C30 concrete mix ratio was determined through experiments. The performance test results show that the chloride ion and alkali content of the concrete with this mix ratio is controlled within the allowable range of the specifications, and the compressive strength at 28 days reaches 42.36 MPa, with a strength compliance rate of 141.21%; The measured slump value is 165 mm, which meets the design requirements within the range of 150 ± 30 mm. The C30 ultra-fine sand concrete has good workability and mechanical properties, fully meeting the requirements for the use of ground engineering in the reserve cowshed of dairy farms, and providing a reliable technical reference for concrete applications in similar agricultural construction projects.
文章引用:包宁, 毛治珺. 特细砂混凝土在奶牛场建设项目中的应用研究[J]. 土木工程, 2026, 15(2): 60-66. https://doi.org/10.12677/hjce.2026.152025

1. 引言

随着畜牧业规模化、现代化发展,奶牛场建设对工程质量的要求日益严苛,其中地面工程作为奶牛日常活动、清洁消毒的核心区域,直接影响养殖效率与设施使用寿命。奶牛场地面需同时满足抗压耐磨、抗侵蚀、易清洁等多重需求,混凝土作为主导材料,其性能优劣成为工程质量的关键。然而,传统混凝土常规骨料资源的过度开采导致了河床下切、堤岸崩塌、地下水系统破坏和生物多样性下降等问题[1] [2],违背了“生态文明建设”与“绿水青山就是金山银山”的发展理念[3],因此,寻求一种可持续、环境友好的集料替代材料已成为行业迫切需求。

特细砂作为两河地区丰富的地方性资源[4],其合理开发应用不仅能降低混凝土生产成本,还能减少骨料运输带来的碳排放,契合节能减排的行业趋势。但特细砂细度模数小、比表面积大[5] [6],易导致混凝土拌合物黏聚性差、坍落度损失快[7] [8],强度与耐久性控制难度较高,限制了其在农业建筑工程中的规模化应用。目前,针对特细砂混凝土适配奶牛场地面工程的专项研究较少,缺乏兼顾工作性能、力学强度与长期性能的优化方案,难以满足现代奶牛场建设的精细化需求。

基于此,本文以农垦乳业股份有限公司红崖子第三奶牛场后备牛舍地面工程为研究载体,聚焦C30特细砂混凝土的工程应用难题。通过系统开展原材料筛选、配合比优化设计、关键性能检测及工程实践验证,旨在攻克特细砂混凝土在奶牛场地面应用中的技术瓶颈,获得适配该类工程的优质混凝土配方。研究成果不仅能保障后备牛舍地面工程的施工质量与使用稳定性,还能为同类农业建筑工程中特细砂资源的高效利用提供可靠技术参考,助力实现农业工程质量提升与绿色低碳发展的双重目标。

2. 原材料与试验方法

2.1. 原材料

水泥选用宁夏赛马水泥有限公司生产的P.O 42.5R普通硅酸盐水泥。矿物掺合料选用宁夏大坝电厂生产的II级粉煤灰。机制砂选用幸德源建材有限公司生产的机制砂,细度模数2.8,属于中砂,符合GB/T14684-2022《建设用砂》标准中II类砂的要求。选用红崖子当地产特细砂,细度模数1.8。碎石选用套门沟采石场生产的5~25 mm连续级配碎石,符合GB/T14685-2022《建设用卵石、碎石》标准中II类碎石的要求。外加剂为萘系高效泵送剂,减水率>15。

2.2. 试验方法

2.2.1. 氯离子与碱含量检测

按照GB/T 50082-2009《普通混凝土长期性能和耐久性能试验方法标准》,采用电位滴定法测定混凝土中氯离子的总含量;按照GB/T 176-2017《水泥化学分析方法》,采用火焰光度法测定混凝土中碱含量。

2.2.2. 工作性能检测

按照《普通混凝土拌合物性能试验方法标准(GB/T 50080-2016)》进行混凝土坍落度试验。将混凝土拌合物分三层装入坍落度筒,每层均匀插捣25次,装满后刮平表面,垂直提起坍落度筒,测量混凝土拌合物坍落的高度,即为坍落度值。同时观察混凝土拌合物的黏聚性和保水性,以综合评价其工作性能。

2.2.3. 力学性能检测

按照《混凝土物理力学性能试验方法标准(GB/T 50081-2019)》进行混凝土抗压强度试验。制作100 mm × 100 mm × 100 mm的立方体试件,在标准养护条件下(温度20℃ ± 2℃,相对湿度≥95%)养护至规定龄期,采用压力试验机以0.8 MPa/s的加载速度进行抗压强度试验,取3个试件的平均值作为该龄期的抗压强度代表值。

3. 结果与讨论

3.1. 混凝土配合比优化结果

基于配合比设计方法,结合工程实际需求和原材料性能特点,通过多组试验对比,最终确定了适合农垦乳业红崖子第三奶牛场后备牛舍地面工程的C30特细砂混凝土优化配合比。优化配合比的原材料组成和用量如表1所示。

通过优化配合比参数,在保证混凝土综合性能的前提下兼顾了经济性与环保性。具体而言,将水胶比控制在0.43,使28d抗压强度达38.5 MPa以上,满足C30强度要求;采用36%的砂率并掺入3%的外加剂,使坍落度稳定在150 ± 30 mm,确保了良好的可泵性。此外,以40%的粉煤灰等量替代水泥,在降低生产成本的同时,减少了水泥用量带来的碳排放。通过将水胶比与氯离子含量分别严格限制在0.45和0.06%以内,混凝土的耐久性能得以保证,完全符合奶牛场地面的长期使用要求。

Table 1. Optimized mix proportion of C30 ultra-fine sand concrete (kg/m3)

1. C30特细砂混凝土优化配合比(kg/m3)

原材料名称

规格型号

单方用量

质量百分比(%)

作用

水泥

P.O 42.5R

220

9.69

主要胶凝材料,提供强度

饮用水

160

7.05

参与水化反应,改善工作性能

机制砂

中砂 (II类)

330

14.53

细骨料,填充空隙,改善和易性

细砂

细砂 (II类)

300

13.21

调整砂率,优化级配

碎石

5~25 mm (II类)

1120

49.32

粗骨料,提供骨架支撑,保证强度

粉煤灰

II级

150

6.61

矿物掺合料,改善工作性能,降低成本

泵送剂

萘系高效

11

0.48

改善工作性能,提高强度

合计

-

2271

100

-

3.2. 氯离子含量检测结果

氯离子含量是评价混凝土耐久性能的重要指标,过高的氯离子含量会导致钢筋锈蚀,影响混凝土结构的使用寿命。按照GB/T 50082-2009标准,对优化配合比混凝土的氯离子含量进行了检测,检测结果如表2所示。由表2可知,优化配合比混凝土的氯离子总含量为0.0029%,远低于《混凝土结构设计规范(GB 50010-2010)》规定的0.06%的限值,说明混凝土具有良好的抗氯离子侵蚀性能,能够满足奶牛场地面工程的耐久性要求。各原材料中,水泥和粉煤灰的氯离子含量相对较高,但由于其用量相对较小,对混凝土氯离子总含量的贡献有限。外加剂的氯离子含量虽然较高(0.08%),但由于其掺量很小(11 kg/m3),对总氯离子含量的影响也很小。

Table 2. Test results of chloride ion content in C30 concrete

2. C30混凝土氯离子含量检测结果

检测项目

原材料氯离子含量(%)

单方混凝土氯离子带入量(kg)

混凝土氯离子总含量(%)

标准限值(%)

水泥

0.024

0.0528

-

-

0.001

0.00016

-

-

机制砂

0.003

0.00099

-

-

细砂

0.004

0.0012

-

-

碎石

0.005

0.0056

-

-

粉煤灰

0.025

0.00375

-

-

泵送剂

0.08

0.00088

-

-

合计

-

0.06538

0.0029

≤0.06

3.3. 碱含量检测结果

混凝土中的碱含量过高可能导致碱–骨料反应,产生膨胀应力,引起混凝土开裂,影响结构安全。按照GB/T 176-2017标准,对优化配合比混凝土的碱含量进行了检测,检测结果如表3所示。由表3可知,优化配合比混凝土的碱总含量为1.8684 kg/m3,低于《混凝土结构设计规范(GB 50010-2010)》规定的3.0 kg/m3的限值,说明混凝土发生碱–骨料反应的风险较低,具有良好的长期耐久性能。粉煤灰的碱含量相对较高(0.8%),但由于粉煤灰中的碱大部分为可溶性碱,在混凝土硬化过程中会参与水化反应,降低混凝土内部的有效碱含量,因此适量的粉煤灰掺量不仅不会增加碱–骨料反应的风险,反而有利于降低这种风险。

3.4. 混凝土工作性能试验结果与分析

3.4.1. 坍落度试验结果

按照GB/T 50080-2016标准,对优化配合比混凝土的坍落度进行了多次试验,试验结果如表4所示。由表4可知,优化配合比混凝土的坍落度平均值为161.6 mm,波动范围为158 mm~165 mm,均在设计要求的150 ± 30 mm范围内,且波动较小,说明混凝土工作性能稳定。从混凝土拌合物的外观质量来看,各批次混凝土均具有良好的黏聚性和保水性,倒置坍落度筒后,混凝土拌合物无明显离析现象,表面无过多泌水,能够满足泵送施工的要求。

Table 3. Test results of alkali content in C30 concrete

3. C30混凝土碱含量检测结果

检测项目

原材料碱含量(%)

单方混凝土碱带入量(kg)

混凝土碱总含量(%)

标准限值(kg/m3)

水泥

0.27

0.594

-

-

0.005

0.0008

-

-

砂石骨料

0.01

0.0175

-

-

粉煤灰

0.8

1.2

-

-

泵送剂

0.51

0.0561

-

-

合计

-

-

1.8684

≤3

Table 4. Test results of slump for C30 concrete

4. C30混凝土坍落度试验结果

试验批次

搅拌时间(s)

坍落度(mm)

黏聚性

保水性

1

70

165

良好

良好

2

75

160

良好

良好

3

80

158

良好

良好

4

65

162

良好

良好

5

72

163

良好

良好

平均值

72.4

161.6

良好

良好

3.4.2. 坍落度损失试验结果

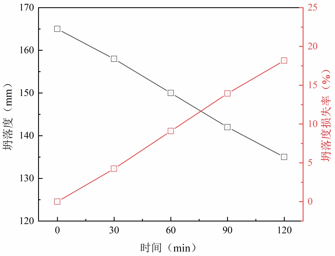
为评价混凝土拌合物在运输过程中的工作性能稳定性,对优化配合比混凝土的坍落度损失进行了试验。试验在常温条件下(25℃)进行,分别测定混凝土拌合物在搅拌完成后0 min、30 min、60 min、90 min、120 min的坍落度,试验结果如图1所示。由图1可知,随着时间的延长,混凝土坍落度逐渐减小,表现出一定的坍落度损失。在搅拌完成后120 min内,坍落度损失率为18.18%,120 min时的坍落度仍为135 mm,满足泵送施工对坍落度的最低要求(≥100 mm)。这主要得益于高效泵送剂的缓凝作用,有效延缓了水泥的水化反应速度,降低了坍落度损失速率,为混凝土的长距离运输和现场浇筑提供了充足的时间。

3.5. 混凝土力学性能试验结果与分析

按照GB/T 50081-2019标准,对优化配合比混凝土的抗压强度进行了系统试验,制作100 mm × 100 mm × 100 mm的立方体试件,在标准养护条件下养护至3 d、7 d、28 d,测定其抗压强度,试验结果如图2所示。由图2可知C30混凝土强度随龄期的延长而逐渐提高,3d抗压强度平均值为29.1 MPa,达到设计强度的97.0%;7d抗压强度平均值为36.2 MPa,达到设计强度的120.7%;28 d抗压强度平均值为42.36 MPa,达到设计强度的141.21%,表现出良好的强度发展特性。根据统计学方法计算,28 d混凝土抗压强度的保证率为99.9%,说明该配合比混凝土具有很高的强度保证率,能够完全满足工程要求。

Figure 1. Test results of slump loss of C30 concrete

1. C30混凝土坍落度损失试验结果

Figure 2. Test results of compressive strength of C30 concrete

2. C30混凝土抗压强度试验结果

3.6. 工程质量验收结果

工程完工后,混凝土表面平整光滑,无明显裂缝、蜂窝、麻面等缺陷,外观质量优良。共检测地面平整度50点,合格率98%;检测地面标高30点,合格率97%;所有尺寸偏差均符合规范要求。采用回弹法对混凝土强度进行现场检测,混凝土强度推定值为41.8 MPa,满足C30混凝土的强度要求。同时钻取混凝土芯样10个,芯样抗压强度平均值为42.1 MPa,与试验室强度试验结果基本一致,证明混凝土强度均匀可靠。工程投入使用6个月后,对地面混凝土进行跟踪观察,发现地面无明显磨损、开裂、渗漏等现象,表面平整度保持良好,能够满足奶牛日常活动和清洁消毒的要求,使用效果良好。

4. 结论

(1) 选用的P.O42.5R水泥、II类机制砂、II类碎石、II级粉煤灰和萘系高效泵送剂均符合相关国家标准要求,各项性能指标稳定,为C30混凝土性能的实现提供了可靠的原材料保障。其中,水泥28 d抗压强度达48.3 MPa,粉煤灰需水量比98%,外加剂减水率18.5%,均优于标准要求。

(2) 基于JGJ55-2011《普通混凝土配合比设计规程》,通过理论计算和试验验证,确定了C30特细砂混凝土的优化配合比:水胶比0.432,砂率36%,单方材料用量为水泥220 kg、水160 kg、机制砂330 kg、细砂300 kg、碎石1120 kg、粉煤灰150 kg、泵送剂11 kg。该配合比既保证了混凝土的强度和工作性能,又通过大量掺入粉煤灰实现了节能减排和成本降低的双重目标。

(3) 混凝土坍落度平均值为161.6 mm,在120 min内坍落度损失仅30 mm,黏聚性和保水性良好,完全满足泵送施工要求;混凝土3 d抗压强度29.1 MPa,7 d抗压强度36.2 MPa,28 d抗压强度42.36 MPa,强度达标率141.21%,质量稳定性高。

基金项目

宁夏农垦建设有限公司技术开发合同“低碳、环保型砼系列建筑材料的研究与开发”(技术合同登记号:2022640101000054)。

参考文献

[1] Kazmi, S.M.S., Munir, M.J. and Wu, Y. (2025) Development of Sustainable High-Performance Desert Sand Concrete: Engineering and Environmental Impacts of Compression Casting. Resources, Conservation and Recycling, 212, Article ID: 108002. [Google Scholar] [CrossRef
[2] Koehnken, L., Rintoul, M.S., Goichot, M., Tickner, D., Loftus, A. and Acreman, M.C. (2020) Impacts of Riverine Sand Mining on Freshwater Ecosystems: A Review of the Scientific Evidence and Guidance for Future Research. River Research and Applications, 36, 362-370. [Google Scholar] [CrossRef
[3] Hu, S., Zhang, Y., Yang, Z., Yan, D. and Jiang, Y. (2022) Challenges and Opportunities for Carbon Neutrality in China’s Building Sector—Modelling and Data. Building Simulation, 15, 1899-1921. [Google Scholar] [CrossRef
[4] 宋锐, 陆志宝, 车佳玲. 黄河特细砂-机制砂混凝土力学性能试验研究[J]. 土木工程, 2024, 13(11): 2108-2117.
[5] 林忠财, 许潇, Hamideh Mehdizadeh, 等. 特细砂替代率对自密实砂浆流变性的影响[J]. 湖南大学学报(自然科学版), 2022, 49(01): 94-101.
[6] 李佐宇, 李华强, 周渊. 国内特细砂混凝土研究进展与前景分析[J]. 安徽建筑, 2021, 28(11): 78-79, 94.
[7] 张翠, 何锦云, 吕如春. 特细砂配制低强度混凝土的试验研究[J]. 河北工程大学学报(自然科学版), 2014, 31(1): 6-8.
[8] 王卫, 陈泳乐, 王冠潮. 疏浚超细砂对混凝土工作性和抗压强度的影响[J]. 混凝土与水泥制品, 2023(11): 103-105.