高海拔山区加筋陡坡路堤长期监测与稳定性分析研究
Long-Term Monitoring and Stability Analysis of Geogrid-Reinforced Steep Slopes in High-Altitude Mountainous Areas
DOI: 10.12677/hjce.2026.152027, PDF, HTML, XML,   
作者: 张庆斌:辽宁工业大学土木建筑工程学院,辽宁 锦州;新疆交通规划勘察设计研究院有限公司,新疆 乌鲁木齐;新疆高寒高海拔山区交通基础设施安全与健康重点实验室,新疆 乌鲁木齐;朱根深, 马跃原, 刘 伟, 张明明, 张 维:中交一航局第五工程有限公司,河北 秦皇岛;拜 杰:新疆交通规划勘察设计研究院有限公司,新疆 乌鲁木齐;新疆高寒高海拔山区交通基础设施安全与健康重点实验室,新疆 乌鲁木齐;新疆维吾尔自治区山地交通基础设施灾害防治技术工程研究中心,新疆 乌鲁木齐
关键词: 高海拔山区路基工程加筋土陡坡原位监测High-Altitude Mountainous Areas Subgrade Engineering Geogrid-Reinforced Steep Slope In-Situ Monitoring
摘要: 为评估新疆高海拔山区土工格栅加筋陡坡路堤在季节性冻融与强蒸发环境下的长期服役性能,本研究依托G0711高速公路工程加筋陡坡路段,通过布设柔性位移计、土压力盒及温湿传感器,对典型断面开展为期一年的原位监测(2023年8月~2024年7月)。监测内容涵盖温度场时空演化、湿度分布规律、土压力重分布及土工格栅应变响应。结果表明:温度场呈现水平方向显著梯度及垂向衰减特征,随着向加筋土陡坡内部沿深,温度滞后性逐渐明显;湿度场受蒸发作用主导,坡表干燥化剧烈,长期无雨导致水分单向迁移,内部湿度缓冲能力有限;土压力在近坡面区域因沉降变形与土拱效应显著低于内部,非冻胀区土压力冬季降低而雨季因密实度增加上升;格栅应变呈现“冬增夏减”循环特性,近坡面应变高于内部。监测高海拔山区加筋土陡坡可为在寒区道路边坡设计提供理论和应用参考。
Abstract: To evaluate the long-term service performance of geogrid-reinforced steep embankment slopes in high-altitude mountainous areas of Xinjiang under seasonal freeze-thaw cycles and intense evaporation conditions, this study, based on a steep reinforced slope section of the G0711 Expressway project, conducted one year of in-situ monitoring (August 2023 - July 2024) on a typical cross-section. Flexible displacement gauges, earth pressure cells, and temperature-humidity sensors were deployed. Monitoring encompassed the spatiotemporal evolution of the temperature field, humidity distribution patterns, earth pressure redistribution, and geogrid strain response. The results indicate: (1) The temperature field exhibits significant horizontal gradients and vertical attenuation characteristics; temperature hysteresis becomes increasingly pronounced with depth into the reinforced slope. (2) The humidity field is dominated by evaporation, with severe desiccation occurring on the slope surface. Prolonged drought conditions lead to unidirectional moisture migration, while the internal moisture buffering capacity is limited. (3) Earth pressure near the slope face is significantly lower than that in the interior due to settlement deformation and soil arching effects. In non-frost heave zones, earth pressure decreases in winter but increases during the rainy season due to enhanced compaction. (4) Geogrid strain exhibits a cyclic pattern of “winter increase and summer decrease,” with strain near the slope face being higher than in the interior. The monitoring of reinforced steep slopes in high-altitude mountainous areas provides theoretical and practical references for the design of road embankments in cold regions.
文章引用:张庆斌, 朱根深, 马跃原, 刘伟, 张明明, 张维, 拜杰. 高海拔山区加筋陡坡路堤长期监测与稳定性分析研究[J]. 土木工程, 2026, 15(2): 76-86. https://doi.org/10.12677/hjce.2026.152027

1. 引言

新疆维吾尔自治区作为“丝绸之路经济带”的核心区,其交通基础设施建设迎来前所未有的发展。然而,新疆存在广袤的山岭重丘区,拥有大量高填方边坡工程。受地质条件和地形限制,坡体附近存在软弱粉土夹层地基和无法进行自然放坡的问题。在此背景下,土工合成材料加筋土边坡以其减小坡率、提高边坡整体稳定性和绿色环保等特点,在山区公路路基边坡工程中展现出巨大的应用潜力[1]-[4]

加筋土工程长期服役性能与稳定性是工程界普遍关注的核心问题。曲新杰等[5]采用拟静力法研究土工格栅加筋作用,提出以塑性区贯通及特征点的塑性应变、位移的突变作为边坡失稳的评价依据。Sunkavalli等[6]分析了多级加筋土高边坡的稳定性问题。廖鸿等[7]以某机场跑道西北角的高填方边坡为例,分析指出多级加筋土高边坡的受力特点是在边坡分级处发生突变。吴红刚等[8]以攀枝花机场高填方为例,对桩–锚–加筋土这一组合结构的协同变形做了研究和分析。王宁等[9]模拟了加筋回填土边坡的作用机理,研究发现降雨条件下边坡局部滑塌和整体失稳的风险可通过适当的加密布筋来解决。季冻区温度波动对结构性能影响方面,崔飞龙等[10]证实加筋土内部温度场随深度呈滞后变化。Cui等[11]观测到加筋挡墙位移在初期冻融循环中急剧增加,筋材性能随时间增长持续退化。王殿武等[12]基于长期监测指出温度会加速强度衰减,Xiao等[13]对服役18年挡墙的失效分析确认老化是主导因素。Chao [14]试验揭示升温显著加剧界面蠕变。

然而,现有方法存在明确局限。数值模拟虽广泛用于稳定性分析,却难以表征温度循环下的材料时变行为。离心试验虽可模拟原型应力,但边界条件简化与误差放大效应制约其工程适用性。为此,本文建立加筋土陡坡多参数监测系统,实时获取温度、湿度、土压力和筋材应变数据,变形–筋材应变动态响应,以现场长期自动化监测是获取结构真实行为、验证设计理论、评估长期性能,旨在为季冻区加筋土陡坡设计提供实证基础与理论依据。

2. 方法

2.1. 工程概况

本研究依托G0711乌鲁木齐至尉犁高速公路建设项目WYTJ-1标段加筋陡坡路堤工程,该工程地处新疆高海拔临山区,面临季节性冻融循环剧烈、强风蚀频发的复合地质环境挑战。工程采用土工格栅加筋复合结构构建高陡路堤(设计坡比为1.0:1.0),实现土地集约化利用与结构安全性的统一。路基主体填料选用级配严格的砾类土,通过粒径控制(最大粒径≤10 cm)及杂质剔除(尖锐棱角石块、淤泥、腐殖土、冻土块及有机杂质),确保材料均匀性与长期稳定性;经重型击实优化,填料综合内摩擦角≥35˚,满足高抗剪强度与低冻胀敏感性要求。加筋体系采用高强度单向土工格栅分层铺设,利用筋–土界面摩擦效应显著提升整体稳定性。坡面防护系统采用“刚性约束–柔性固土–生态修复”三维协同设计,上部结构由C30混凝土预制构件形成整体骨架,包括标准预制块、纵向镶边及横向肋柱构成的方格网;网格单元内分层码砌透水土工织物生态袋,袋内填充与路堤主体同标准的砾类土,形成兼具排水固结与抗冲刷功能的柔性固土单元;表层通过撒播耐寒草籽(构建可持续植被覆盖层,抑制风蚀与水蚀。下部基础结构采用C30现浇混凝土整体浇筑,其中护脚及坡面基础截面为45 cm × 60 cm,埋深≥1.5 m足以穿透当地冻融层深度,护栏基础直接锚固于网格镶边顶部;所有基础持力层经重锤夯实处理,承载力≥250 MPa,有效抵抗冻胀变形。为消解温度应力与工后沉降对结构的累积影响,沿边坡纵向每10 m设置宽2 cm的贯通变形缝,缝内采用热熔沥青浸渍麻絮分层填塞密实,既缓冲变形位移又阻断雨水下渗通道。

2.2. 监测条件

本监测工程主要目的是评价G0711乌鲁木齐至尉犁段高速公路建设项目WYTJ-1标段K21+740~K21+840加筋陡坡路堤。监测断面整体高度为10.2 m,并且一侧为加筋土边坡,另一侧为放坡路堤,桩号为K21+800。断面监测元件包含,柔性位移计四层、竖向土压力盒三层及温湿传感器四层。柔性位移计每层设置4个,间隔3 m;土压力盒每层设置5个,间隔3 m;温湿传感器每层设置3个,间隔依次为1、1、3 m。断面的监测元件布置图如图1所示。

Figure 1. Layout of monitoring elements (Unit: m)

1. 监测元件布置图(单位:m)

主要研究内容为加筋土边坡的施工阶段及工后阶段的工程服役响应效果,包括有土工格栅应变、土压力以及随着气候变化边坡内部温湿度的变化。传感器具体信息如表1~3所示。

Table 1. Information on earth pressure cell sensors

1. 土压力盒传感器信息表

第1层编号

t-1.1

t-1.2

t-1.3

t-1.4

t-1.5

通道

1

2

3

4

5

距坡面水平距离

3

6

9

12

15

量程/Mpa

350

350

700

700

700

率定系数/kPa/digit

−0.1674

−0.1192

−0.1277

−0.1613

−0.1936

温度系数/kPa/℃

0.0286

−0.148

−0.1388

0.06633

−0.1346

第2层编号

t-2.1

t-2.2

t-2.3

t-2.4

t-2.5

通道

6

7

8

9

10

距坡面水平距离

3

6

9

12

15

量程/Mpa

350

350

700

700

700

率定系数/kPa/digit

−0.1155

−0.1143

−0.1993

−0.1878

−0.1621

温度系数/kPa/℃

−0.07829

−0.1121

−0.1349

−0.1662

0.07982

第3层编号

t-3.1

t-3.2

t-3.3

t-3.4

t-3.5

通道

11

12

13

14

15

距坡面水平距离

3

6

9

12

15

量程/Mpa

350

350

700

700

700

率定系数/kPa/digit

−0.1175

−0.1143

−0.1137

−0.1108

−0.115

温度系数/kPa/℃

−0.1117

−0.1049

−0.1135

−0.1744

−0.1716

Table 2. Information on temperature and humidity sensors

2. 温湿传感器信息表

第1层编号

w-1.1

ws-1.2

w-1.3

w-1.4

通道

1

2

3

4

距坡面水平距离/m

1

2

3

6

第2层编号

w-2.1

w-2.2

w-2.3

w-2.4

通道

7

8

9

10

距坡面水平距离/m

1

2

3

6

第3层编号

w-3.1

w-3.2

w-3.3

w-3.4

通道

13

14

15

16

距坡面水平距离/m

1

2

3

6

第4层编号

w-4.1

w-4.2

w-4.3

w-4.4

通道

17

18

19

20

距坡面水平距离/m

1

2

3

6

Table 3. Information on flexible displacement meters

3. 柔性位移计信息表

第1层编号

r-1.1

r-1.4

r-1.2

r-1.3

通道

1

2

3

4

距坡面水平距离/m

3

6

9

12

第2层编号

r-2.1

r-2.2

r-2.3

r-2.4

通道

5

6

7

8

距坡面水平距离/m

3

6

9

12

第3层编号

r-3.1

r-3.2

r-3.3

r-3.4

通道

9

10

11

12

距坡面水平距离/m

3

6

9

12

第4层编号

r-4.1

r-4.2

r-4.3

r-4.4

通道

13

14

15

16

距坡面水平距离/m

3

6

9

12

3. 监测结果与分析

3.1. 温度

基于2023年8月至2024年7月新疆加筋土陡坡的实测月均温度数据,采用布设于同一水平高程的W-4系列温度传感器阵列,分析边坡岩土体在水平方向上的温度场时空分异特征,如图2所示。边坡水平方向存在显著的温度梯度空间分异,且具有强烈的季节依赖性。在冬季低温期(1月前后),坡表附近传感器(W-4.1)温度降至约5.9℃,而水平距离最远的内部传感器(W-4.4)仍维持在约12.0℃,形成约7℃的水平温差。这种梯度源于冷空气对坡表区域的直接热交换作用与坡体内部热惰性的耦合效应:坡表岩土体作为热交换边界层,快速响应大气温度骤降;而水平向内部区域因岩土介质的热阻效应及热量传递的时间延迟,温度衰减显著滞后。值得注意的是,在春季升温期(4月),水平温差呈现动态演变——当W-4.1已回升至11.9℃时,W-4.4仍保持约9.5℃,形成“外热内冷”的瞬态结构,此现象可能导致岩土体产生水平向非均匀热应力。沿水平热传导路径,温度响应呈现显著的相位滞后与衰减效应。在秋季降温阶段(9~11月),W-4.4降温速率较坡表W-4.1延迟约30天,具体表现为11月W-4.1已降至15.7℃时,W-4.4仍保持在20.1℃左右。这种空间滞后是水平热传导速率与岩土体体积热容共同作用的结果,其物理本质为热扰动在介质中传播的阻尼效应。相位差的持续存在,使得边坡内部在季节转换期始终处于热力学非平衡状态。高温期(7月)各传感器温度收敛于16℃~22℃区间,水平方向最大温差缩小至6℃,表明在持续太阳辐射驱动下,水平热传导使边坡内部趋于热均衡。坡表作为大气–岩土体热交换界面,对气温日变化、瞬时辐射波动及局地风场扰动高度敏感;而内部区域因岩土介质的热惯性作用,形成天然的温度缓冲层。这种边界扰动效应可能导致坡表浅层岩土体经历更频繁的热疲劳循环。

Figure 2. Temperature variation at different horizontal distances from the slope face

2. 距坡面不同水平位置温度变化

2023年8月至2024年7月新疆加筋土陡坡垂向温度监测如图3所示。垂向温度场呈现显著的梯度特征。浅层区受气候直接影响剧烈,年温度振幅达20.8℃ (2023年8月26.7℃至2024年2月5.9℃),其季节性波动在春季尤为显著,2024年3月至5月升温速率达0.24℃/d;随深度增加,温度波动显著衰减——5.4 m处振幅为16.4℃ (2023年8月23.9℃至2024年2月7.4℃),7.8m处降至14.0℃ (2023年8月23.5℃至2024年2月9.6℃),至10.2m深处振幅仅14.7℃ (2023年8月21.0℃至2024年2月6.2℃)。冬季蓄热效应引发垂向温度反转:2024年1月极寒期,7.8 m处温度(10.6℃)较3 m处高4.2℃,甚至高于10.2 m深处(7.2℃),表明7~8 m深度存在最佳蓄热层。热量传递的相位延迟随深度增强,2024年夏季高温从3 m传递至10.2m滞后显著——3 m处在7月达年度峰值(21.0℃),而10.2 m处同期仅17.7℃ (较其自身2023年8月峰值21.0℃低3.2℃),表明深层温度响应延迟约1个月。工程应用显示:7.8 m深度为热稳定核心区,此处年振幅<14℃ (实测13.95℃)且冬季温度>10℃ (1月实测10.64℃)。

Figure 3. Temperature variation at different depths from the slope crest

3. 距坡顶不同深度距离温度变化

3.2. 湿度

距坡面不同水平距离湿度和月份降雨量如图4图5所示。W-4.1至W-4.4四组传感器在2023年7月至2024年7月的连续监测数据显示,土壤湿度的显著季节变化规律。土壤湿度呈现规律性振荡,最大变化范围介于10.2%~16.8%之间(W-4.1),年变幅达6.6%。在新疆极端干旱气候背景下,大气蒸发作用对加筋土陡坡湿度场的控制性影响远超降水补给效应。尽管监测初期(2023年7~9月)存在季节性降水事件,土壤湿度仍呈现持续性衰减趋势,且未见降水后的有效恢复。这一现象表明,有限的降水入渗量被极高的蒸发通量快速抵消,导致水分在土体中的滞留时间显著缩短。尤其值得注意的是,长达10个月的无雨期内持续的蒸发耗散,驱动了土壤水分库的渐进性枯竭,形成由深层向表层的单向水分迁移路径,凸显干旱区水分运移的不可逆特征。坡面区域(w-4.1)作为土–气界面的关键过渡带,其湿度动态表现出独特的敏感性。该区域虽对降水存在短暂响应,但在蒸发主导期呈现全断面最剧烈的干燥化进程。这源于其直接暴露于太阳辐射与大气对流形成的复合蒸发驱动力,导致表层土体成为水分损失的优先通道。相较之下,内部区域(w-4.2~w-4.4)的湿度变化呈现显著衰减与滞后特性,反映土体对蒸发胁迫的缓冲能力。

Figure 4. Humidity variation at different horizontal distances from the slope face

4. 距坡面不同水平距离湿度变化

Figure 5. Distribution of annual rainfall

5. 年降雨量分布

3.3. 土压力

同一高度不同水平距离的竖向土压力如图6。对比1号与5号传感器位置土压力来看,近坡面区域的土压力显著低于远离坡面区域。这是因为临空面附近土体沉降变形显著,导致土工格栅的加筋约束效应未能充分激活,形成局部应力释放区;且坡面自由边界引发土拱效应,上覆荷载通过剪切作用向深部土体转移,降低近坡面区域有效竖向应力;随水平距离增大(向坡体内部延伸),土工格栅对上部土体位移的约束效能增强,致使传感器下部土体呈现“等效刚度强化”特征,应力得到累计。其中4号传感器显示的土压力变化规律与1号与2号土压力规律大致相同,3号位置土压力与5号位置相同。这可能是因为由于坡面处沉降导致路面倾斜,使得4号上方路面上翘,作用于此的压力减小。通过观察整体变化规律可知,在11月到来年3月期间土压力减小,这看似与传统的冻胀导致压力增大略有不同。这是由于该水平高度与路面临空面距离较大,土体并没有发生冻胀。而自3月以后,土压力成上升规律,这是因为随着雨季来临,降雨量增大,水的入渗增大了土体密度,从而引起土压力增长。

Figure 6. Earth pressure variation at different horizontal distances from the slope face

6. 距坡面不同水平距离土压力变化

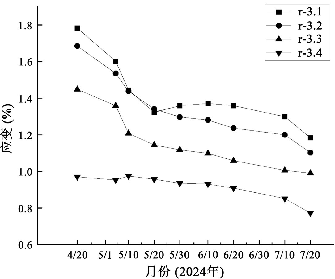
3.4. 土工格栅应变

图7呈现了加筋土陡坡同一高程不同水平位置(测点编号r-1.3.1至r-1.3.4)土工格栅应变的监测结果。数据分析表明,格栅应变在时间维度上具有显著的阶段性演化特征:随历时增长,土工格栅应变总体呈现持续减小的趋势,且该趋势在靠近坡面的位置表现更为显著。这一现象主要归因于季节性冻融循环作用。在冬季冻结期,土体发生冻胀,其膨胀变形受到土工格栅的约束,导致格栅内部应变增大。进入夏季融化期后,随着温度回升,冻胀土体融化并产生体积收缩,格栅随之出现回缩现象,宏观上表现为应变的减小。空间分布上,距坡面水平距离越大,土工格栅所承受的应变水平越低。这种应变的空间梯度分布规律与土工格栅的摩擦加筋机制密切相关。靠近坡面的区域,为有效限制坡面土体在冻胀及融化过程中的显著位移,土工格栅需要发挥更强的约束作用,导致其产生较大应变;而远离坡面的内部土体,其位移受周围土体约束作用较强,位移量相对较小,因此土工格栅发挥的加筋约束效应及其所诱发的应变响应也相应减弱。

4. 结论

基于对新疆高海拔山区土工格栅加筋陡坡路堤为期一年的原位监测数据(2023年8月~2024年7月),结合温度场、湿度场、土压力及筋材应变的时空演化规律,具体结论如下:

(1) 边坡温度场呈现水平梯度变化与垂向衰减特征,且随与临空面距离增大土体温度滞后现象愈加明显。

(2) 在极端干旱气候下,坡表干燥化剧烈,长期无雨期导致水分由深层向表层单向迁移。坡表湿度对降水响应短暂,内部湿度缓冲能力有限。

Figure 7. Geogrid strain variation at different horizontal distances from the slope face

7. 距坡面不同水平距离土工格栅应变变化

(3) 近坡面区域因沉降变形,土压力显著低于内部。雨季因降雨入渗增大土体密度,致使土压力呈现“冬降夏升”特性,与传统冻胀压力递增认知有所不同。

(4) 土工格栅应变受冻融循环驱动,冬季冻胀约束导致应变增大(峰值达0.6%),夏季融化回缩后减小。应变空间分布呈梯度衰减,近坡面区域应变较内部高。

参考文献

[1] 宋飞, 陈旺盛. 土工格室加筋砂土大型动三轴试验研究[J]. 铁道科学与工程学报, 2022, 19(3): 683-690.
[2] 张海太, 张良翰, 陈贺. 加筋垫层对软土路基加固效果的多方案比较[J]. 水利与建筑工程学报, 2019, 17(2): 156-161.
[3] 张飞, 朱玉明, 杨尚川, 等. 加筋土挡墙碳排放计算方法与减排性分析[J]. 吉林大学学报(工学版), 2021, 51(2): 631-637.
[4] 何必伍, 徐国元, 黄文通, 等. 碎石土混合料在加筋高边坡中的应用[J]. 河南科技大学学报(自然科学版), 2020, 41(4): 52-60.
[5] 曲新杰, 时伟, 朱德盛, 刘承飞. 基于ABAQUS有限元的土工格栅加筋路堤边坡稳定性研究[J]. 青岛理工大学学报, 2013, 34(1): 20-23+54.
[6] Sunkavalli, S.K., Jain, B. and Tipnis, M. (2019) Case Study—A State of the Art, Reinforced Soil Slope System for Runway End Safety Area at Kannur International Airport, India. Airfield and Highway Pavements 2019, Illinois, 21-24 July 2019, 382-393. [Google Scholar] [CrossRef
[7] 廖鸿, 徐超, 杨阳. 某机场飞行区土工格栅加筋高边坡优化设计[J]. 水文地质工程地质, 2021, 48(6): 113-121.
[8] 吴红刚, 牌立芳, 赖天文, 张俊德, 章延平, 李玉瑞. 山区机场高填方边坡桩-锚-加筋土组合结构协同工作性能优化研究[J]. 岩石力学与工程学报, 2019, 38(7): 1498-1511.
[9] 王宁, 陈伟, 朱登元. 土工加筋对露天矿排土场边坡加固效果分析[J]. 煤矿安全, 2019, 50(5): 281-284.
[10] 崔飞龙, 肖成志, 王子寒, 田稳苓. 冻融循环作用下加筋土挡墙温度场与变形特性研究[J]. 土木工程学报, 2022, 55(8): 105-117.
[11] Cui, F., Xiao, C., Han, J., Gao, S. and Tian, W. (2022) Performance of Laboratory Geogrid-Reinforced Retaining Walls under Freeze-Thaw Cycles. Geosynthetics International, 29, 81-98. [Google Scholar] [CrossRef
[12] 王殿武, 曹广祝, 仵彦卿. 土工合成材料力学耐久性规律研究[J]. 岩土工程学报, 2005(4): 398-402.
[13] Xiao, C., Gao, S., Liu, H. and Du, Y. (2021) Case History on Failure of Geosynthetics-Reinforced Soil Bridge Approach Retaining Walls. Geotextiles and Geomembranes, 49, 1585-1599. [Google Scholar] [CrossRef
[14] Chao, Z. and Fowmes, G. (2021) Modified Stress and Temperature-Controlled Direct Shear Apparatus on Soil-Geosynthetics Interfaces. Geotextiles and Geomembranes, 49, 825-841. [Google Scholar] [CrossRef