新课标视角下人教版初中新旧教材的比较研究——以“因式分解”为例
A Comparative Study of the Old and New People’s Education Press (PEP) Junior High School Textbooks from the Perspective of Core Competencies—Taking “Factorization” as an Example
DOI: 10.12677/ces.2026.142096, PDF, HTML, XML,   
作者: 李雨珊:黄冈师范学院数学与统计学院,湖北 黄冈;汪 维:麻城市第二高级中学,湖北 黄冈
关键词: 初中数学新旧教材因式分解新课标背景New and Old Middle School Mathematics Textbooks Factorization Background of the New Curriculum Standards
摘要: 教材作为课程标准的重要载体,是课程标准的具体化,在基础教育改革中处于基础性、战略性的地位。随着新课标的颁布与实施,新教材在内容编排与体例设计上,更加突出对学生数学核心素养的培育。本文选取人教版初中数学新旧教材中的“因式分解”为研究对象,采用内容分析法从课题的编排方式、知识点内容、例习题内容及难度、旁白内容以及核心素养五个维度进行比较研究,以此提出遵循“认知发展规律”设计例习题、实现旁白“引导性与启发性”统一、紧扣“课标与核心素养”育人目标。从而发展学生的逻辑推理素养、运算能力与数学思维品质。
Abstract: From the perspective of the New Curriculum Standards, textbooks are the concretization of such standards and occupy a fundamental and strategic position in the reform of basic education. With the promulgation and implementation of the new curriculum standards, new textbooks have further highlighted the cultivation of students’ mathematical core competencies in terms of content arrangement and stylistic design. This study selects the “Factorization” section from the old and new editions of the People’s Education Press junior high school mathematics textbooks as the research subject. Using content analysis, it conducts a comparative study across five dimensions: the arrangement of topics, knowledge points, exercises and their difficulty levels, explanatory content, and core competencies. The findings propose adhering to the core principle of “holistic knowledge organization”, designing exercises and examples based on “cognitive development laws”, achieving the unity of “guidance and inspiration” in explanatory content, and closely aligning with the educational goals of “curriculum standards and core competencies”. This approach aims to enhance students’ logical reasoning abilities, computational skills, and mathematical thinking quality.
文章引用:李雨珊, 汪维. 新课标视角下人教版初中新旧教材的比较研究——以“因式分解”为例[J]. 创新教育研究, 2026, 14(2): 63-72. https://doi.org/10.12677/ces.2026.142096

1. 问题的提出

随着《义务教育数学课程标准(2022年版)》[1] (以下简称《课标》)的颁布,初中数学教材的内容也随之发生了变化。教材是落实课程标准、保障教育质量的核心载体,也是实现立德树人根本任务的重要工具。

“因式分解”是数与代数的重要内容之一,是整式乘法的逆运算,为后续分式的运算、因式分解法解一元二次方程奠定基础。对发展学生的逻辑推理素养,并通过“化整为零”的思维提升代数运算能力发挥着重要的作用。

自从2024年新教材颁布以来,有不少学者对新旧教材进行研究比较,任婕和多布杰针对“一元一次方程”对新旧教材进行对比[2];陈姝姝从10个维度对新旧教材中七年级上册数与代数这章进行对比[3]等,从已有的研究中发现对初中新旧教材中“因式分解”这一章节的比较研究没有。但是“因式分解”这一章节的内容在整个数学体系中至关重要,因此,我们发现研究初中数学人教版新教材“因式分解”的内容变化具有重要的意义。

2. 人教版初中新旧教材中“因式分解”的比较研究

为了直观方便比较新旧教材的编写特点,借鉴宋运明在分析勾股定理时提出的两级维度框架[4]和借鉴刘芳等人分析充分条件与必要条件的编排方式框架内容[5],对“因式分解”进行分析研究(见表1),具体从编排体系、知识点内容、例习题内容及难度、旁白内容以及核心素养五个方面进行一、二级维度进行分析。

Table 1. Analytical framework for comparing old and new textbooks

1. 新旧教材分析框架

一级维度

编排方式

知识点内容

例习题内容及难度

旁白内容

核心素养

二级维度

编排位置

章名称

节名称

前后关联

关联程度比较

内容比较

编排比较

数量比较

内容比较

具体体现

通过“位置、章、节名称、前后关联”,对比新旧教材对知识体系的定位与衔接设计;通过“关联程度比较”,分析新旧教材中知识点的逻辑紧密度;通过“内容、编排、数量”的对比,评估新旧教材的知识点与练习之间的适配性;通过“旁白内容”与“核心素养”的对比,体现教材的“辅助价值与育人导向”。

2.1. 新教材中“因式分解”编排的结构方式作出调整

Table 2. Arrangement of factorization content in the old and new PEP textbooks

2. 人教版新旧教材因式分解内容的编排方式

旧教材

新教材

第14章整式的乘法与因式分解

14.1整式的乘法

14.2乘法公式

14.3因式分解

第16章整式的乘法

16.1幂的运算

16.2整式的乘法

16.3乘法公式

第17章因式分解

17.1用提公因式法分解因式

17.2用公式法分解因式

编排方式[6] (见上表2)上,旧教材把“因式分解”作为小节编排在第14章,并把“提公因式法”和“公式法”作为两个知识点写在因式分解这一节里。新教材则将“因式分解”作为独立的一章,放在整式的乘法后面,并且把“提公因式法”和“公式法”作为两节内容进行学习。“因式分解”是数与代数中的核心基础内容,是后续学习分式化简、根式运算、方程化简等知识点的关键方法,新教材将其编写为独立一章,能够让学生清楚认识“因式分解”这一知识点的重要性,避免在零散编排中被弱化和忽略。

Table 3. Class hour arrangement of factorization content in the old and new PEP textbooks

3. 人教版新旧教材因式分解内容的课时安排

旧教材

新教材

因式分解3课时

提公因式法(1课时)

公式法(2课时)

因式分解5课时

提公因式法(2课时)

公式法(3课时)

根据教材配套的教师教学用书,旧教材将“因式分解”安排了2个课时,新教材将“因式分解”安排了5个课时(见表3)。与旧教材相比,新教材在“提公因式法”多安排了1个课时,内容主要先聚焦单个字母的基础因式分解再拓展到单项式和多项式的情况;在“公式法”中多安排了1个课时,内容上多了针对多种公式综合运用的复杂因式分解问题的求解。新教材课时的增加,对于适应过程中的老师是一种新的挑战,将原本内容的知识点转化为两节课讲授,需要老师课下认真思考如何进行备课才能使学生在学习有效的知识点时又不感觉到枯燥无味。

2.2. 新教材中“因式分解”更强调知识点的综合应用

旧教材中“因式分解”内容的编排中,是将“提公因式法”“公式法”作为独立方法分块讲解,例题与习题也是对应单一方法进行的专项训练,这容易使学生形成“一题对一法”的固化思维,面对稍微复杂的多项式时,可能会出现“只会用单一方法、不知方法衔接”的困境。而新教材突出了两种方法的综合运用,先学习“提公因式法–公式法”两种因式分解方法,再观察多项式的特征综合联立方法解决复杂问题,形成“提公因式→看结构→选公式”的完整解题链条。这打破了旧教材中知识点孤立呈现的现象,且这种做法并不是单纯的内容强加,而是基于数学整个知识体系,强化了前后知识点的关联性,使学生们深刻掌握因式分解的数学方法,为以后学习数与代数打下坚实的基础。

Figure 1. Newly added content of “Factorization” in the new textbook

1. 新教材中“因式分解”新增内容

图1所示,新教材中例5给出了两个题目,字母系数和单项式都只含有2个,第一小问用了两次公式法进行化简、第二小问先用提公因式法再用公式法,让学生先初步掌握综合运用不同种方法来分解因式;例6则在前面的基础上,增多了字母系数和单项式个数,让学生学会在复杂的多项式结构中精准地识别出公因式,再通过结合多项式的特征选择公式法。这种复杂度的提升方便学生建立“先观察结构,再选择方法”的逻辑思维且在已有知识的基础上进一步深化因式分解的综合应用和灵活计算的能力。这样学生在学习过程中既提升了因式分解的解题效率,也为后续分式运算、二次方程求解等知识的学习,打下了厚实连贯的思维基础。但在学习过程中,新教材更强调学生的综合应用能力,容易使能力水平较低的学生跟不上思维进度、导致班级水平差距加大。

2.3. 新教材中“因式分解”例习题数量增多且采用分层递进的编排逻辑

2.3.1. 新教材中“因式分解”例习题数量明显增减

教材是中考命题的基本依据,初中数学教材中的例习题,均是专家经过反复推敲、精心挑选的成果,其中涵盖了初中数学的重要知识点与思想方法,是培养学生核心素养的重要载体,也是开展数学教材例习题开发与挖掘的“源头活水”[7]。例习题类型和难易程度都有可能影响学生对知识的理解程度,所以对新旧教材的例习题进行了比较,如表4所示。

Table 4. Comparison of the number of examples and exercises in the old and new textbooks

4. 新旧教材例习题数量对比

教材

新教材

旧教材

章节

17.1

17.2

14.3.1

14.3.2

例题数量

3

6

9

2

4

6

习题数量

5

10

15

8

8

16

复习题数量

复习巩固

综合应用

拓广探索

复习巩固

综合应用

拓广探索

8

9

8

3

5

3

表4可知,相较于旧教材,新教材在“提公因式法”中例题增加了1道(简单提单因式)、习题数量减少了3道(减少了过于简单的定义式问题和含有三个未知数的问题);在“公式法”中例题增加了2道(用完全平方法解决的问题以及用整体思想解决的问题),习题数量增加了2道(利用完全平方公式解决的问题)。可以看出新教材在例题、习题数量有明显的增减,这既满足了“提公因式法”“公式法”单个知识点的练习需求,也为后续分层递进的习题难度设计奠定了基础。

有效的复习题不仅可以帮助学生巩固数学知识和技能,还可以有效发展学生的数学思维,提升学生的数学思维品质[8]表4可知,在复习题内容编排上,新教材相较于旧教材题目的数量有明显的增多,在复习巩固部分,新教材的题目数量从旧教材的3题增多到8题,更加侧重知识点的基础回顾;综合应用部分,新教材的题目数量从旧教材的5题增多到9题,更加侧重多个知识点的综合应用;拓广探索部分,新教材的题目数量则从旧教材的3题增多到8题,更加侧重学生的思维拓展。这些题目的变化体现了新课标下的教学目标,满足培养学生的四基四能、三会,使学生从“学会”向“会学”转变。

2.3.2. 新教材中“因式分解”例习题采用分层递进的编排逻辑

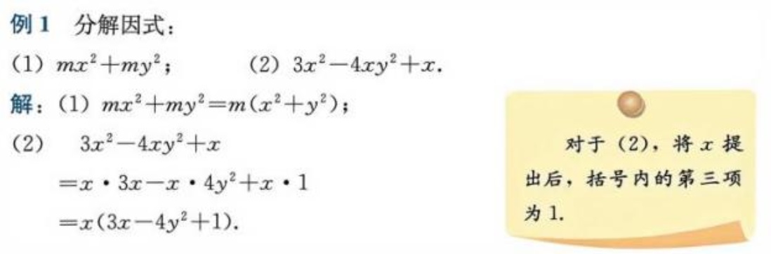
1) 例题中分层递进的编排逻辑

通过分析新教材不难发现,新教材的习题难度与《新课标》提出的要求基本一致,可以满足不同认知水平、不同学习能力的学生的个性化需求[9]。其中,在“因式分解”章节中,基础难度的习题占比较大且按照难度分层递进,可以帮助学生巩固知识点的基本概念及性质;高难度习题大多属于答案不唯一的开放性题型,这类题目能够有效地激活学生的创新思维,引导他们从多元视角切入,通过自主的思考梳理出对应的解题思路与方法。

Figure 2. Comparison of Example 1 of the “Common Factor Extraction Method” in the old and new textbooks

2. 新旧教材“提公因式法”例1对比

图2可知,在“提公因式法”这一知识点中,新旧教材对例1的编排有较大的差异,针对 8 a 3 b 2 +12a b 3 c 这一题,旧教材直接将其作为本节的例1,而新教材则将其作为例2,将 m x 2 +m y 2 3 x 2 4x y 2 +x 两题作为例1。新教材在学习完知识点后,通过只用提取一个公因式的简单例子,使学生快速地了解和掌握提取公因式法解决问题,接着再解决 8 a 3 b 2 +12a b 3 c 这个需要提取两个公因式分解因式的问题,问题难度层次递进。新教材的编排更符合“先基础后进阶”的认知规律,先通过例1的简单题,让学生快速掌握“提取单一公因式”的基本方法,完成知识的初步理解;再通过例2的复杂题,引导学生突破难点,实现思维的深化。让学生通过简单题建立信心和知识基础,再逐渐过渡到复杂题进而训练综合应用能力,更有利于学生对“提公因式法”这一知识点的掌握。新教材在实施教学过程中,教师容易遇到教学与习题分层不平衡的困境,传统例习题编排多以“统一难度、同步推进”为主,教学节奏易把控。而分层递进的例习题需要教师在课堂中兼顾不同层次的学习进度,基础层习题需保证全体学生掌握,提升层和拓展层则需要预留自主探究或小组讨论的时间。这很容易导致课堂进度失衡。这需要教师在课后仔细认真的备课,考虑每个环节的具体流程。

2) 习题中分层递进的编排逻辑

图3所示,在“提取公因式法”习题编排上,旧教材分为“分解因式、先分解再求值、计算”三类,题型覆盖基础、应用、综合,但分类较为笼统且难度跨度较大;而新教材增加了“判断是否为因式分解”的题型,先让学生明确因式分解的本质、强化因式分解的概念,再进行实际计算练习,题型划分更为细致,先通过简单的提取公因式入手,逐步过渡到提取整体公因式( a 2 + b 2 )、符号转换( yz zy )的复杂题型。

新教材中关于“提取公因式”的知识点编排是通过例1聚焦“提取单个字母公因式”解决问题,对应的习题就围绕“单一公因式”训练;例2聚焦“提取多个字母公因式”解决问题,习题也同步跟进该类型的练习。这种编排设计让“知识点学习”与“习题训练”高度绑定,避免学生的知识与应用脱节。新教材通过“先辨概念、再练基础、逐步进阶”以及练习对应知识点进行训练的编排,既解决了学生“混淆因式分解与整式乘法”的常见误区,也让习题难度的提升更平缓,从而更适配初中学生的认知节奏,帮助学生扎实掌握有关的数学知识点。

Figure 3. Comparison of exercises on the “Common Factor Extraction Method” in the old and new textbooks

3. 新旧教材“提公因式法”习题对比

2.4. 新教材中“因式分解”旁白内容增多且更具有引导性

旁白在数学教材中发挥着重要作用,不仅增添了教材童趣,吸引学生阅读,也进行了有价值的文本表达,传递编者意图,为研读教材指明方向[10]。所以旁白对于“因式分解”章节的学习是十分重要的,新教材在旧教材原有的基础上新增加了几处旁白。新教材在“因式分解”章节中共有6处旁白,较旧教材增加了2处旁白。

图4所示,相较于旧教材中直接从描述一个多项式写成几个整式乘积的形式,新教材中“因式分解”首先以具体的分解案例 33 分解成 3×11 引入,让学生明白分解因式类似整式的分解。再从章节引入中跳水的具体案例介绍 pa+pb+pc=p( a+b+c ) 表明多项式可以写成两个整式的乘积形式。新增的旁白引导打破了旧教材抽象定义先行的局限,通过学生熟悉的整数运算逻辑思想,搭建起“数的分解”到“式的分解”的知识迁移桥梁。旁白还为学生提供了清晰的思路路径,引导学生通过已有的思想进行探究中的问题分析,使学生直观理解提公因式法的本质。

Figure 4. Comparison of instructive supplementary notes on “Factorization” in the old and new textbooks

4. 新旧教材中“因式分解”旁白引导对比

Figure 5. Newly added instructive supplementary notes on “Factorization” in the new textbook

5. 新教材中“因式分解”新增旁白提示

图5所示,新教材在例1中新增了旁白提示,这个编排细化了步骤,使学生避免典型的错误。学生在初学提公因式法时,容易忽略多项式的项提公因式后,原项为1时不能忽略,旁白直接点明括号内的第三项为1,把“1的保留”环节显化,较大程度上减少了错误。

2.5. 新教材中“因式分解”精准对准课标与核心素养的提升

新教材作为新课标的落地载体,在“因式分解”内容的编排上实现了与课标要求的精准对接,将核心素养的培养贯穿于知识呈现、例题设计的全过程,相较于旧教材更凸显以素养为导向的育人目标。2022版课标对因式分解的内容要求为“能用提公因式法、公式法(直接利用公式不超过二次)进行因式分解”,“学业要求”则强调“理解因式分解与整式乘法的关系,提升运算能力”[1]。旧教材虽覆盖了核心方法,但对“学业要求”的呼应不足。

新教材在知识体系建构上呈现出显著的单元化整合特征。旧版教材采用四小节分述模式,而新版教材则重构为三大核心模块:方程基础、解法探究、应用实践。这种整合紧密呼应了2022年版课标“课程内容结构化”的理念,强化了知识体系的系统性与连贯性,使认知逻辑更为清晰[2]。我国初中数学课程一直重视培养学生的读写能力和计算能力,新教材将“因式分解”独立成章,使学生掌握整式乘法后学习与之方向相反的变形,在学习过程中注意与整式的乘法紧密联系,运用对比的方法进行观察思考,进而提升学生的运算能力、三会以及四能。

新教材构建了“知识点–能力–素养”的学习路径,重点落实抽象能力、运算能力、推理能力三大核心素养。在抽象能力培养方面,通过从具体多项式(如 x 2 +x=x( x+1 ) )到一般分解规律 ( pa+pb+pc=p( a+b+c ) )的逐步抽象,让学生理解因式分解的本质是“多项式的恒等变形”;在运算能力培养方面,通过分解简单多项式( m x 2 +m y 2 )过渡到分解复杂多项式( 8 a 3 b 2 +12a b 3 c )、单种方法分解多项式( x 2 +4x+4 )过渡到多种方法分解多项式( a 3 bab )两种计算过程,逐步培养学生的计算能力以及学会综合运用方法解决复杂问题,进而培养学生的四能,符合新课标所提出培养目标。

3. 启示与教学建议

3.1. 遵循“认知发展规律”设计例习题

学生掌握数学方法是一个“感知–理解–应用–迁移”的渐进过程,例习题的难度与题型设计会直接影响学生学习的效果。旧教材在“因式分解”例习题设计上存在明显的“梯度断层”问题,在“提公因式法”中,基础例题只有 8 a 3 b 2 +12a b 3 c ,但练习中却直接出现“ 2a( yz )3b( zy ) ”(需变形的多项式公因式),旧教材没有设置过渡性题目,容易导致学生易出现符号错误、公因式提取错误等问题。新教材例题题型涉及提取单个字母公因式和提取多个字母公因式,并配有相应的习题练习,并逐渐过渡到提取整个公因式,为后续解决类似 2a( yz )3b( zy ) 的问题奠定认知基础。

3.2. 实现旁白“引导性与启发性”统一

教材中的旁白作为“隐性教师”,其核心价值在于引导学生自主思考、化解学习难点,而非单纯传递知识规范。旧教材的旁白呈现“告知式”特征,如“如果提出公因式4 ab ,另一个因式是否还有公因式?”仅仅只是聚焦结果检查,并没有引导学生经历“如何判断公因式”的思维过程;新教材则将旁白编排为“探究式引导”,概念引入时以“( pa+pb+pc )的各项都有一个公共的因式 p ,我们把因式 p 叫做这个多项式各项的公因式”,不仅展示“公因式的定义”还使学生体会从一般到特殊的抽象过程;这种设计使教材从静态的文字转变为动态学习过程,证明了“教材旁白是自主学习能力的重要支撑”。

3.3. 紧扣“课标与核心素养”育人目标

教材作为课程标准的核心载体,其内容编排必须精准地对接课标要求,将核心素养培养过程融入知识呈现的全过程,不能仅仅局限于技能训练。旧教材的育人目标偏向技能训练:例1仅训练学生的“提公因式的操作步骤”,并没有涉及有关“因式分解与整式乘法关系”的活动;新教材则精准对接2022版课标,通过对“( pa+pb+pc=p( a+b+c ) )的推导”,培养学生的“运算能力”以及可逆思维;后续练习中的“先分解因式再求值”题型,强化学生的应用意识。新教材的编排方式使核心素养落实在课堂上,这印证了教材的编排必须紧扣课标与核心素养,才能实现从“知识传授”到“立德树人”的转型。

参考文献

[1] 中华人民共和国教育部. 义务教育数学课程标准(2022年版) [M]. 北京: 人民教育出版社, 2022.
[2] 任婕, 多布杰. 新课标视角下数学新旧教材对比——以人教版七年级上册“一元一次方程”为例[J]. 数理天地(初中版), 2025(21): 140-142.
[3] 陈姝姝. 人教版初中数学新旧教材比较研究[D]: [硕士学位论文]. 荆州: 长江大学, 2025.
[4] 宋运明. 中国初中数学教材中勾股定理内容编写特点研究[J]. 数学教育学报, 2017, 26(3): 44-48.
[5] 刘芳, 韩龙淑, 黄忠侠. 人教A版高中新旧教材的比较研究——以“充分条件与必要条件”为例[J]. 数学教学研究, 2025, 44(2): 20-24.
[6] 魏梦, 李卓. 沪教版高中数学新旧教材“对数”的比较研究[J]. 中学数学, 2025(11): 7-9.
[7] 赵建立. 素养导向下教材例习题开发与运用的实践策略——以人教版八年级数学教材为例[J]. 试题与研究, 2025(18): 111-113.
[8] 郭红敏. “六性”: 让复习题撬动学生的数学思维——以人教版六年级下册“整理与复习”的教学为例[J]. 数学教学通讯, 2022(7): 50-52.
[9] 文长军. 新课标背景下初中数学习题难度设计研究——以“一元二次方程”为例[J]. 数学学习与研究, 2025(20): 122-125.
[10] 韩粟, 刘倩雯, 汪晓勤. 数学教科书“旁白”中的“留白”探析——以人教A版高中数学教科书为例[J]. 数学教育学报, 2024, 33(4): 20-25.