基于半导体物理互联交互式教改的研究
Research on Internet-Based Interactive Approach in Semiconductor Physics of Educational Reform
DOI: 10.12677/ces.2026.142101, PDF, HTML, XML,    科研立项经费支持
作者: 勾开元, 黄 晋*, 刘文龙, 王进军, 王 晓, 刘丁菡, 张方晖:陕西科技大学电子信息与人工智能学院,陕西 西安
关键词: 半导体物理互联交换式教学质量Semiconductor Physics Internet Interactive Teaching Quality
摘要: 针对半导体物理教学中理论知识点散碎且难以理解的问题,本研究结合当下信息互联网时代的特点,采用互联交互式的教学方法,首先,在实际的教学过程中采用分章节进行随堂测试,适当的多花些时间把所有大纲要求的基本知识点和考点全部列入随堂测试的体系里面,在这个随堂测试过程中允许学生查阅资料或使用任何辅助工具进行答题,但是最后必须交纸质版手写随堂测试答卷,加深学生对于基础知识点的理解和印象。第二,针对课堂当中受限于纯理论教学的影响,教学多依赖于教师单方面的讲授,实践效果不能达到,在教学过程中把教学和分组实验结合在一块,并分组答辩汇报,其余组员补充说明,其他组提问讨论,进一步提升教学效果和学生对实际工程问题的解决能力。根据期末考试成绩和学生满意度调查可知,互联交互式教学模式提升了教学质量,学生在积极性、团队交流协作、知识点的理解、文献检索能力和解决工程问题的能力都有所提升,学生的满意度好。
Abstract: To address the challenges posed by fragmented and abstruse theoretical concepts in semiconductor physics teaching, this study integrates the distinctive features of the digital information age and proposes an interconnected interactive teaching methodology. First, chapter-specific in-class assessments are implemented throughout the instructional process. Ample time is dedicated to incorporating all syllabus-mandated fundamental knowledge points and key exam-oriented topics into the assessment framework. During these assessments, students are permitted to consult reference materials or utilize any auxiliary tools to facilitate problem-solving; however, they are required to submit handwritten responses in paper format, which serves to consolidate their comprehension and retention of core theoretical fundamentals. Second, conventional classroom sessions are constrained by the limitations of pure theoretical instruction, which predominantly relies on one-way knowledge dissemination from instructors and fails to achieve optimal practical teaching outcomes. To mitigate this drawback, the teaching practice is integrated with group-based experimental projects, followed by structured group defense presentations. Complementary elaborations are provided by other team members, and interactive sessions are conducted among different groups. This integrated approach further enhances teaching efficacy and fosters students’ capabilities in addressing practical engineering problems. An analysis of final examination results and student satisfaction surveys indicates that the interconnected interactive teaching model has significantly elevated overall teaching quality. Specifically, students have exhibited marked improvements in learning motivation, team communication and collaboration skills, conceptual comprehension, literature retrieval competence, and engineering problem-solving proficiency, accompanied by a high level of student satisfaction.
文章引用:勾开元, 黄晋, 刘文龙, 王进军, 王晓, 刘丁菡, 张方晖. 基于半导体物理互联交互式教改的研究[J]. 创新教育研究, 2026, 14(2): 102-108. https://doi.org/10.12677/ces.2026.142101

1. 引言

由于半导体产业的快速发展,各种半导体设备已经充斥在人们生活的方方面面[1],随着人们生活质量的提高[2],人们对半导体设备的要求也在提升,但对于高端半导体产业我们还有很多卡脖子的关键节点,那么对于半导体产业人才的培养与储备就至关重要[3]-[5],半导体物理是培养半导体人才的关键理论基础[6]-[9],半导体物理具有知识点零碎且难以理解的特点,如:数量众多的名词解释、PN结能带绘制、计算等。学生学习起来难以理解物理现象[10],如:光照半导体表面为什么电导率会有变化等。如何能让学生在有一定半导体物理的理论基础上,做到有理可依地去观察解释实际的半导体物理现象成为半导体物理教学过程中的一个切实问题[11]-[15]

随着我们生活当中网络的覆盖,加速了网络授课方式的发展,通过互联网可以提供丰富的素材来解释课程当中难以理解的一些物理现象,相对于传统的理论讲授模式更加直接和生动的方式解释[16]-[20]。所以,在结合现代互联网信息的背景下可以提升学生的学习效率,那么我们结合当下新形势的发展成果去摸索更适应于不同时代背景的教学模式,有利于提高半导体基础理论教学效果,为培养优秀的半导体工程师形成良好基础[21]-[29]。本教学研究通过两步来进行,第一,通过随堂测试和实验的方法,加深学生对基本知识的掌握,做到让学生面对工程问题时有理论可依;第二,交互式学习以学生为中心,以交互式学习为支架式教学的思想[28]-[30],以师生对话作为要素,构建一种以互动为基础的教学方式,教学过程中以学生为主体,教师起到主导作用,在师生、学生、教师间通过交流、启发的相互作用进行学习,加深学生对知识点的进一步理解,激发学生的主动学习,适应半导体物理当下教学的情况和模式。

2. 对象和方法

2.1. 对象

陕西科技大学电子信息与人工智能学院2020、2021级电子科学与技术专业本科生,共计270人,于2023年和2024年3月到6月在校学习,其中女生70人,男生200人。

2.2. 教学方法

第一,在每章节结束时拿出一节课的时间把本章需要掌握的知识点和考点全部列入随堂测试里,在这个随堂测试过程中允许学生查阅资料或使用任何辅助工具进行答题,但是最后必须交纸质版手写随堂测试答卷,加深学生对每章需要掌握知识的印象,而加深对知识点印象的最好方法就是让学生亲自动手去查阅相关资料找到答案,这个过程最直接的体现就是让学生交纸质版手写随堂测试答卷。

第二,在基本理论加固的基础上进行交互式学习,具体方法如下:1) 课前准备:使用陕西科技大学授权雨课堂网络平台布置课前准备。具体内容包括教师对理论课内容作出要点难点概要,教师根据大纲要求收集图片视频素材,根据具体实验室实验与工厂生产实际问题向学生布置讨论题目以及讨论内容,引导学生使用适当的检索平台和实验室实验寻找案例,根据研究报道提供相应的解决方案。2) 课堂实施:根据准备内容将学生分组,以组为单位准备课件素材,选取汇报者进行汇报,其余组员进行补充说明,其他组进行提问讨论。通过多个组的汇报涵盖章节内大纲要求的重点难点。汇报内容应从具体案例出发,以解决半导体器件实际具体问题为导向,教师在汇报前对案例进行修改分析,保证选择案例与理论学习内容相匹配。汇报过程中由学生主导,教师可通过扮演实验室指导老师、企业总工等角色适当参与并进行指导修正。在汇报结束后,教师对学习内容进行统一总结、答疑。

2.3. 效果评价

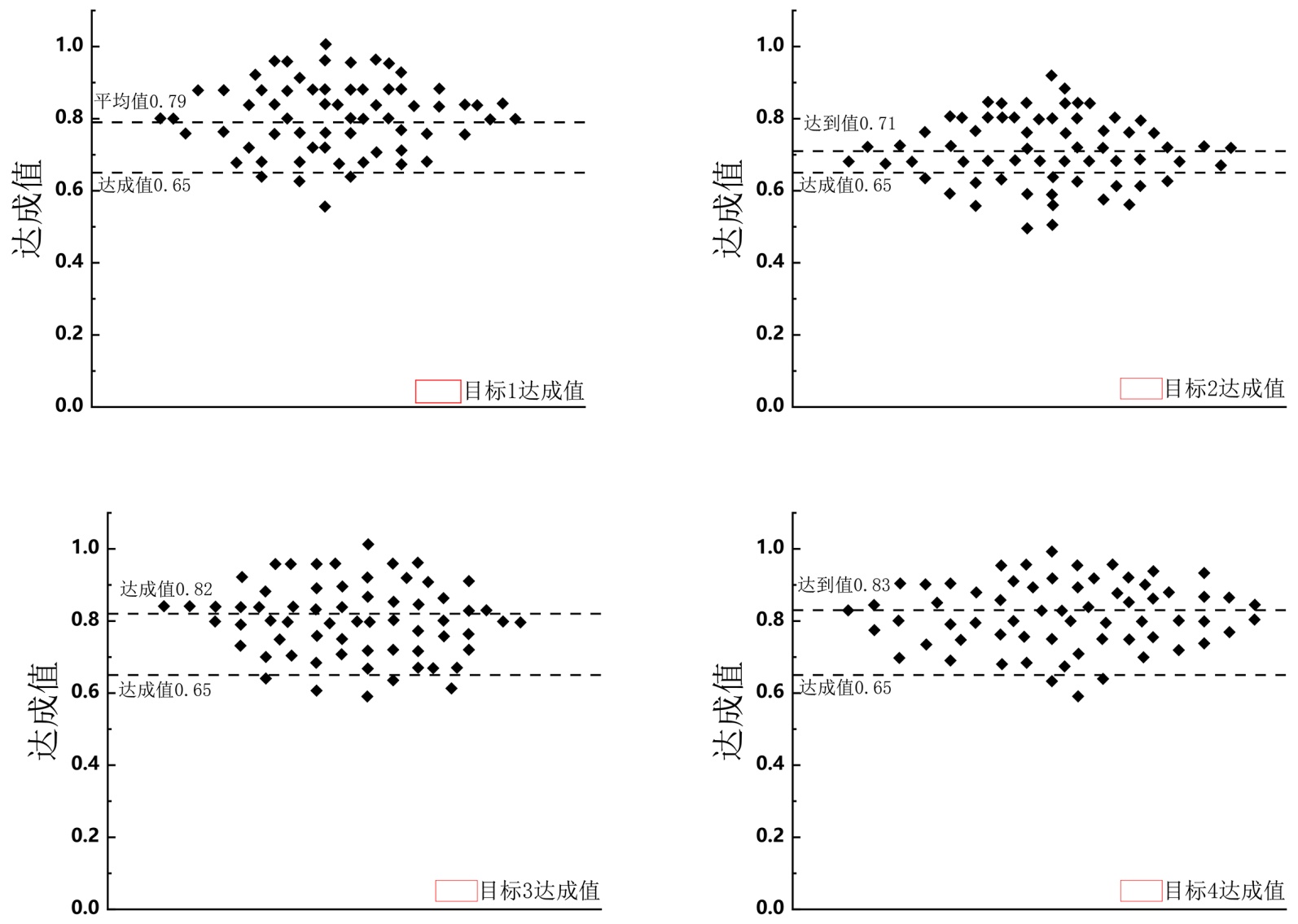
第一,学期末考试考核,内容包括半导体物理现象(50%)、能带绘制(25%)、借助互联网查阅资料(15%)、解决工程问题(10%),将2021考核成绩与2020级陕西科技大学电子信息与人工智能学院电子科学与技术专业学生成绩进行比较,两级学生采用相同的考核方法,2020级采用传统的教学方法,2021级采用新的教学方法。经统计,2021级学生整体上达成情况得到提升,总成绩相较于2020级挂科率降为零,这也说明实施后教学效果得到了有效提升,具体如图1

第二,对交互式教学讲授对比常规教学方式进行问卷调查,学生在积极性、团队交流协作、知识点的理解、文献检索能力和解决工程问题的能力提升情况。

第三,调查学生对互联交互式授课方式的满意度与接收度。

2.4. 统计方法

通过SPSS数据处理软件进行分析,计量资料采用平均值±表示,样品差异检验使用单独样例t。计数数据使用百分比表示,组间差异采用Χ2检验。P小于0.05视为具备统计差异。

实施前

实施后

Figure 1. Statistical chart of achievement of four target assessments before and after the implementation of teaching method reform

1. 教学方法改变实施前后四个目标考核达成情况统计图

3. 结果

3.1. 基于半导体物理互联交互式教学与传统教学的考核结果

将两学期基于半导体物理互联交互式教学模式与传统教师授课教学模式进行相同的考核。根据考核结果可知使用半导体物理互联交互式教学模式的2021级学生考核成绩为80.01 ± 18.01,传统教师授课教学模式考核成绩为72.41 ± 16.56。两级学生间差异具有统计学意义(t = 3.436, P < 0.05)。

3.2. 基于半导体物理互联交互式教学的效果评价

教学效果调查问卷共发放100份,回收100份,回收率100%。调查细节见表1,相比于传统教师授课教学模式,基于半导体物理互联交互式教学模式学生在积极性(92%, 92/100)、团队交流协作(68%, 68/100)、知识点的理解(61%, 61/100)、文献检索能力(98%, 98/100)和解决工程问题的能力(82%, 82/100)上有所提升。

Table 1. Comparison of teaching effect of internet based interactive approach and teacher taught method n = 100, %(n)

1. 传统讲授教学与互联交互式教学效果对比n = 100,%(n)

项目

有提高

无提高

学习自主性、积极性

92% (92)

8% (8)

知识点理解

61% (61)

39% (39)

具体工程问题解决能力

82% (82)

18% (18)

文献检索能力

98% (98)

2% (2)

团队交流协作能力

68% (68)

32% (32)

3.3. 基于半导体物理互联交互式教学满意度评价

基于半导体物理互联交互式教学满意度调查问卷共发放100份,回收100份,回收率100%。根据问卷结果表明,基于半导体物理互联交互式教学满意度为99% (99/100),不满意的主要原因是学习负担的增加,传统教学满意度为70% (70/100),低于互联交互式,二者间存在统计学差异(χ2 = 29, P < 0.05),普通教学模式不满意的主要原因在于学生兴趣不及互联交互式模式。

4. 讨论

4.1. 半导体物理课程特点

半导体物理有很多细碎的知识点,使学生难于全面的掌握,在学习过程中也很容易遗漏,对知识点记忆不深,如:数量众多的名词解释、PN结能带绘制、计算等。学生学习起来难以理解物理现象、无法完全掌握所有知识点,很难让所有学生达到理解半导体通过能带导电的基本描述,不好掌握周期性结构固体材料的常规性质和研究方法。更难于将专业基础知识和数学模型方法用于推演、分析半导体器件、电路系统等对象的工作原理、应用特性等工程问题。由于学习困难的存在,造成学生对理论课程的兴趣下降,互联交互式学习方法有助于学生与老师,以及学生之间的交流,让每个学生面临的具体问题得以具体解决。

4.2. 基于半导体物理互联交互式教学的实施

我们结合当下的实际条件,提出使用互联交互式学习半导体物理的方法,互联交互式学习可以打破空间时间限制,打通学生与学生之间、学生与老师之间的交流困难,提升学生自主学习的兴趣。在信息化时代的大背景下,通过互联网大数据可以提供丰富的图片、视频、文献和指南教学资料,解决半导体物理中难以理解的物理现象。具体实施在每章节结束时,首先,拿出一节课的时间把本章需要掌握的知识点和考点全部列入随堂测试的里,在这个随堂测试过程中允许学生查阅资料或使用任何辅助工具进行答题,但是最后必须交纸质版手写随堂测试答卷,加深学生对每章需要掌握知识的印象,而加深对知识点印象的最好方法就是让学生亲自动手去查阅相关资料找到答案,这个过程最直接的体现就是让学生交纸质版手写随堂测试答卷;其次,在现有基本理论的基础上进行互联交互式教学,1) 课前准备:使用陕西科技大学授权雨课堂网络平台布置课前准备。具体内容包括教师对理论课内容作出要点难点概要,教师根据大纲要求收集图片视频素材,根据具体实验室实验与工厂生产实际问题向学生布置讨论题目以及讨论内容,引导学生使用适当的检索平台和实验室实验寻找案例,根据研究报道提供相应的解决方案。2) 课堂实施:根据准备内容将学生分组,以组为单位准备课件素材,选取汇报者进行汇报,其余组员进行补充说明,其他组进行提问讨论。通过多个组的汇报涵盖章节内大纲要求的重点难点。汇报内容应从具体案例出发,以解决半导体器件实际具体问题为导向,教师在汇报前对案例进行修改分析,保证选择案例与理论学习内容相匹配。汇报过程中由学生主导,教师可通过扮演实验室指导老师、企业总工等角色适当参与并进行指导修正。在汇报结束后,教师对学习内容进行统一总结、答疑。

4.3. 基于半导体物理互联交互式教学的优势

通过统计数据研究显示,采用互联网交互式教学教授的学生相较于传统教学的学生,期末考试成绩总体成绩明显提升,没有再出现挂科的学生,总体达到教学目标,教学质量得到提升。通过满意度调查问卷表明,学生在满意度上依次往下的顺序为文献检索能力、学习自主性积极性、具体工程问题解决能力、团队交流协作能力和知识点理解。可以发现,基于半导体物理互联交互式教学的优势最大的优势在于提升学生自主积极性与查阅资料的能力,理论结合实际的能力,这也是电子半导体类高等教育教学目的的重要目标,也是相对于传统教学难以达到的环节。

4.4. 基于半导体物理互联交互式教学的要求与展望

半导体互联交互式教学的基础是在给学生打下一定理论基础上进行,如:章节随堂测试,放开学生在随堂测试阶段查阅资料或使用辅助工具进行答题,测试结束后每一位学生必须交纸质版手写随堂测试答卷,加深学生对半导体物理的知识点的提取和掌握程度。在使用互联交互式教学的教学方法,互换了教师与学生角色,让学生成为了教学的主体,教师从讲台走向了评委。调查中有1%的学生对于互联交互式教学的方法不认同,根据学生反馈可知,在进行互联交互式教学前期需要查阅大量的资料和文献,这样增加了课件制作的工作量,降低了学习效率。这种情况的出现就要求教师要起到提纲挈领的作用,让学生有重点,分工协作,了解学生特点,发挥学生特长,让学习环境充实宽松,鼓励交流分享与团队协作。但这个过程中要求相应教师具有很强的理论实践能力,做到能解答处理学生各种各样的问题。所以教学效果评价机制可以作为后续教学方法改进的依据,来提升教学质量与学生的满意度。

5. 总结

基于半导体物理互联交互式教学模式提升了教学质量,学生在积极性、团队交流协作、知识点的理解、文献检索能力和解决工程问题的能力都有所提升,学生的满意度好。

基金项目

感谢陕西科技大学教育教学改革项目(23Y062)的支持。

NOTES

*通讯作者。

参考文献

[1] 喻研, 李康华, 余国义, 等. 半导体物理实验教学的贯通式模块化设计与实践研究[J]. 实验技术与管理, 2025, 42(10): 169-176.
[2] 刘川, 韩宋佳. 半导体物理教学与实践中的知识体验法[J]. 物理与工程, 2025, 35(4): 93-98.
[3] 张楠, 许亨艺, 贺利军, 等. 微电子学科的基础课程教学设计[J]. 电子技术, 2024, 53(11): 26-27.
[4] 徐静平, 刘璐, 高俊雄. 半导体器件物理[M]. 武汉: 华中科技大学出版社, 2023: 327.
[5] 张峰, 刘斌. 宽禁带半导体物理专题·编者按[J]. 中国科学: 物理学 力学 天文学, 2022, 52(9): 5.
[6] 宋雪芬, 王琳. 近代物理学在柔性电子发展中的前沿科学导向作用分析[J]. 科教导刊, 2025(23): 1-4.
[7] 康海燕, 冯晓丽, 樊永祥. 基于工程实践能力培养的实验教学改革实践——以“半导体物理实验”课程为例[J]. 大学, 2023(14): 188-192.
[8] 杨洁. 面向产业发展的半导体物理教学改革探索[J]. 大学, 2024(35): 155-158.
[9] 姜舶洋. 半导体器件原理中固体能带理论的应用研究[J]. 科技经济市场, 2025(7): 53-55.
[10] 任亚文, 鲁嘉颐, 薛佳滢, 等. 中国半导体产业空间结构特征及其形成机制[J]. 地理研究, 2025, 44(11): 2899-2918.
[11] 苏秀梅, 陈慧妙, 周建良. 半导体人才供给困境与培养对策分析[J]. 现代职业教育, 2025(17): 59-62.
[12] 宋建军, 唐艾兰, 刘伟峰. 半导体物理中各类接触的能带弯曲统一判断方法[J]. 大学物理, 2024, 43(10): 44-49.
[13] 凌发令, 李丽, 陈江山. 第一性原理计算在半导体物理课程教学中的应用[J]. 大学物理, 2025, 44(3): 80-83+105.
[14] 席光义. 引领新一代半导体显示产业升级[J]. 创新世界周刊, 2023(10): 36-37.
[15] 余海东. 半导体材料和新型显示材料产业链解构与市场需求预测[J]. 产城, 2022(6): 44-47.
[16] 王韬, 张黎莉, 殷亚楠, 等. 宽禁带半导体栅结构器件的单粒子效应研究综述[J]. 中国集成电路, 2025, 34(9): 12-20.
[17] 姚平平. 半导体封装过程中散热技术的应用分析[J]. 张江科技评论, 2025(1): 115-117.
[18] 郝雯菲, 邹莉, 张振东, 等. 不同偏压下半导体器件能带图的绘制研究[J]. 科技资讯, 2024, 22(20): 91-93.
[19] 殳峰, 许智磊, 何乐, 等. 系统工程方法及其在先进半导体装备领域的应用[J]. 激光与光电子学进展, 2022, 59(9): 437-447.
[20] 柳皓笛, 张铁轶, 曹成熙, 等. 沟道宽度对载流子迁移率的影响[J]. 电子制作, 2025, 33(1): 93-96.
[21] 董先声, 施毅, 黎松林. 二维半导体的迁移率物理模型与仿真[J]. 中国科学: 信息科学, 2025, 55(12): 3080-3098.
[22] 麦满芳, 马信洲. 半导体光电化学在半导体物理教学中的应用探析[J]. 产业创新研究, 2025(20): 94-96.
[23] 桑萃萃, 刘国荣, 陈玉红, 等. 一流课程——半导体封装虚拟仿真实验教学[J]. 电气电子教学学报, 2025, 47(4): 224-226.
[24] 陈勇, 董猛, 宋肖, 等. MATLAB仿真辅助集成电路工艺原理实验教学研究[J]. 科技风, 2025(24): 123-126.
[25] 刘海涛, 方衡, 林智, 等. 集成电路工艺制程虚拟仿真实验设计[J]. 自动化应用, 2024, 65(10): 209-211+214.
[26] 张帅, 房香, 张婧, 等. 虚拟仿真环境下钙钛矿半导体及其光伏器件实验教学设计[J]. 实验室研究与探索, 2024, 43(1): 139-142+179.
[27] 王敏娟, 怀若宇, 杨雪. 新工科背景下电子科学与技术专业固体物理课程改革与实践[J]. 现代职业教育, 2025(35): 109-112.
[28] 贺婕, 李华一, 张瑞, 等. 微电子科学与工程导论课程的教学实践[J]. 集成电路应用, 2025, 42(9): 96-97.
[29] 丁伟, 陈飞宇. 微电子制造业人才需求与培养模式研究[J]. 半导体技术, 2010, 35(12): 1226-1231.
[30] 王熙程. 半导体行业“工业上楼”工艺适应性简析[J]. 中国工程咨询, 2025(9): 119-125.