具有两类顾客和同步多重工作休假的可修排队
A Repairable Queueing Model with Two Types of Customers and Synchronous Multiple Working Vacations
摘要: 本文研究了一个具有两类顾客、同步多重工作休假以及可修故障机制的可修排队系统。为更贴合现实服务环境,模型假设两类顾客均服从泊松到达过程,服务时间在正常与休假模式下均服从指数分布,系统采用同步休假策略,并考虑服务台在正常忙期发生的指数型故障与维修过程。基于系统状态转移率矩阵构建出三维连续时间马尔可夫链,并证明其生成元矩阵具有拟生灭(QBD)结构。利用矩阵几何解法推导系统的稳态分布,从而得到系统平均队长、平均逗留时间、休假概率、忙期长度及可用度等性能指标的解析表达式。通过数值实验分析模型参数对系统性能的敏感性,并进一步构建个人效益函数与系统整体效益函数,探讨最优参数设置。结果表明,提高优先级顾客的服务率并适当增加服务台数量能够有效提升系统整体效益。
Abstract: Queueing models with two classes of customers of different priority levels are widely observed in real-life scenarios, for instance, priority users in ride-hailing services, emergency patients in hospitals and vehicles with prior reservations for charging stations. Consequently, many scholars at home and abroad have incorporated dual customer classes as a key strategy in the construction and analysis of queueing models. In this paper, based on possible situations that may occur in real-world queueing systems, non-preemptive priority policy, multiple working vacation policy and repairable server policy are incorporated into the queueing model to construct a system that accurately reflects practical conditions. The main contents of the paper are as follows: model description of the state transition rate matrix of the system, analysis of the three-dimensional Markov chain, and the derivation of the system’s steady-state distribution using the matrix-geometric method and iterative techniques. Based on the steady-state results, performance measures are derived and numerically analyzed. Finally, individual and social benefit functions are established for further analysis, and suggestions for improving overall efficiency are also proposed.
文章引用:丁栋山, 李远鹏. 具有两类顾客和同步多重工作休假的可修排队[J]. 运筹与模糊学, 2026, 16(1): 65-79. https://doi.org/10.12677/orf.2026.161007

1. 引言

具有两类不同优先级顾客的排队模型在实际生活问题中普遍存在,例如网约车服务的优先用户、医院急诊病人、提前预约充电桩的车辆等,因此国内外有许多学者将两类顾客作为主要策略加入排队模型。

排队论起源于20世纪初丹麦工程师A.K. Erlang [1]对电话交换系统的开创性研究,其通过概率论方法解决了自动电话交换机的中继线计算问题。此后,随着Kendall符号的提出以及对非抢占优先权、服务器休假等复杂机制的深入分析,排队论逐渐演变为运筹学中研究随机服务系统性能的重要数学分支。在基础模型与机制研究方面,Kamoun [2]分析了受相关马尔可夫中断过程影响的非抢占优先权排队系统的性能;朱翼隽[3]等探讨了多重工作休假的 M/ M/c 排队系统;Afnan [4]等则进一步研究了带有服务器休假的非抢占优先权 M/ M/m 模型。针对复杂的顾客行为,Korenevskaya [5]等讨论了带有随机挤出机制和非抢占优先权的重试排队系统;王慧[6]分析了带不耐烦顾客和单重休假的非抢占优先权模型;汪文杰[7]等则从博弈论视角分析了带有启动时间和故障的 M/ M/1 系统均衡策略。在特定模型演进与应用方面,王哲[8]将非抢占优先权排队理论应用于医疗服务系统的优化研究,郑晓铭[9]则在此基础上,进一步深入探讨了带抢占优先权和服务台休假的排队系统及其相关性能指标。针对具有两类优先权顾客的 M/ M/1 排队,张怡通[10]等给出了系统的优化分析。此外,关于带有接触匹配机制的 M/ M/c +m 模型,谭玉廷[11]等利用拟生灭过程分析了不同优先级顾客的匹配性能指标,为复杂服务系统的设计提供了理论支撑。

基于上述研究,本文研究了一个具有两类顾客、同步多重工作休假以及可修故障机制的排队系统。文章的第2节为模型描述,第3节为系统稳态分析以及矩阵分解过程,第4节为数值分析以及系统效益函数分析并给出了结论。

2. 模型描述

本文建立了一个具有两类顾客和同步多重工作休假且故障可修的 M/ M/c 排队模型,该模型将系统中的顾客分为Ⅰ类和Ⅱ类,其中Ⅱ类顾客拥有更高的优先级别。模型假定两类顾客按照单队列排队,其中Ⅰ类顾客可以无限到达,拥有无限的容量空间,Ⅱ类顾客最大容量空间为c。模型中排队的两类顾客均服从先到先服务的排队规则。

具有两类顾客和同步多重工作休假的可修 M/ M/c 排队系统的具体模型描述如下:

(1) 到达过程:两类顾客的到达均为Possion过程,系统中Ⅰ类顾客和Ⅱ类顾客的到达时间间隔 T 1 T 2 分别服从参数为 λ 1 λ 2 的负指数分布,其中 λ 1 , λ 2 >0 。即 P{ T 1 x }=1 e λ 1 x ,x>0 P{ T 2 x }=1 e λ 2 x ,x>0

(2) 服务过程:系统在正规忙期为Ⅰ类顾客和Ⅱ类顾客的服务时间间隔 S 1 S 2 分别服从参数为 μ 1 μ 2 的负指数分布,其中 μ 1 , μ 2 >0 。即 P{ S 1 x }=1 e μ 1 x ,x>0 P{ S 2 x }=1 e μ 2 x ,x>0

(3) 工作休假过程:服务台采用首次休假为同步工作休假的多重休假模式,若系统中服务台均为空时,系统自动休假;若在休假期间有顾客到达,则系统休假时服务台以较低的服务速率 μ w 为顾客服务,其中服务台工作休假期间对Ⅰ类顾客和Ⅱ类顾客服务时间间隔 S w1 S w2 分别服从参数为 μ w1 μ w2 的负指数分布,其中 μ w1 , μ w2 >0 。即 P{ S w1 x }=1 e μ w1 x ,x>0 P{ S w2 x }=1 e μ w2 x ,x>0 。当一个假期结束时,若有顾客在等待则服务台立即停止休假开始服务,若系统内没有顾客等待则继续休假。系统工作休假结束后立即转为正常的速率 μ 为顾客服务。休假时间长度为 M 服从参数为 θ 的负指数分布。即 P{ Mx }=1 e θx ,x>0

(4) 故障维修过程:系统为串联结构,同步故障。在工作休假期间,服务台仅在正规忙期会发生故障,故障期间不进行服务,所有服务台寿命 L 服从参数为 α 的负指数分布。系统中有 c 个修理工,当服务台出现故障时立刻进行维修,修理时间 U 服从参数为 β 的负指数分布,维修后的机器恢复至全新状态,即 P{ Lx }=1 e αx ,x>0 P{ Ux }=1 e βx ,x>0

(5) 排队规则:在此排队系统中,当Ⅱ类顾客进入系统时,若有系统有空闲服务台则直接接受服务;若系统无空闲服务台且被Ⅰ类顾客使用,则Ⅱ类顾客排队至Ⅰ类顾客后等待服务。当系统中Ⅱ类顾客超过 c 个,则新到达的Ⅱ类顾客消失。

模型中所涉及的变量均相互独立且服从负指数分布。

3. 系统稳态分析

3.1. 模型分析

L 1 ( t ) L 2 ( t ) 表示为系统在t时刻时Ⅰ类顾客和Ⅱ类顾客的顾客数, J( t ) 为系统在t时刻的状态,状态如下:

J( t )={ 0, t 1,  t 2, t

{ L 1 ( t ), L 2 ( t ),J( t ),t0 } 是一个三维Markov链,状态空间为:

Ω={ 0,0,0 }{ ( 0,j,k ),1jc,k=0,1,2 }{ ( i,j,k ),i1,0jc,k=0,1,2 } 。其中状态空间 ( 0,0,0 ) 表示系统处于工作休假状态且没有顾客; ( 0,j,k ) 状态下系统中只有II类顾客,其中 1jc ( i,j,k ) 状态表示系统中既有I类顾客也有II类顾客,其中 i1 0jc k=0,1,2 分别表示系统处于工作休假、正规忙期和故障状态。将 ( 0,0,0 ),( 0,1,0 ),( 0,1,1 ),( 0,1,2 ),,( 0,c,0 ),( 0,c,1 ),( 0,c,2 ) 定义为0水平,将 ( i,0,0 ),( i,0,1 ),( i,0,2 ),( i,1,0 ),( i,1,1 ),( i,1,2 ),,( i,c,0 ),( i,c,1 ),( i,c,2 ) 定义为i水平。

3.2. 系统稳态条件分析

将系统状态空间按照字典序排列,可以得到该Markov过程的状态概率转移矩阵Q如下:

Q=( A 00 C 01 B 10 A 11 C B 21 A 22 C B 32 A 33 C B c1,c2 A c1,c1 C B c,c1 A cc C ) (1)

其中 A 00 , A 11 ,, A cc ; B 10 , B 21 ,, B c,c1 ; C 01 ,C 分别表示对应水平之间的状态转移率矩阵。为使矩阵更加简洁易读,定义 ξ i , ξ iw , ξ c , ξ cw , ξ i0 , ξ i0w , ξ ij , ξ ijw , ξ ic , ξ icw ,ϕ, ϕ c 如下:

ξ i =( λ 1 + λ 2 +i μ 2 +iα ),1ic1 ξ iw =( λ 1 + λ 2 +θ+i μ w2 ),1ic1 ξ c =( λ 1 +c μ 2 +cα ) ξ cw =( λ 1 +θ+c μ w2 ) ξ i0 =( λ 1 + λ 2 +i μ 1 +α ),1ic1 ξ i0w =( λ 1 + λ 2 +θ+i μ w1 ),1ic1 ξ ij =( λ 1 + λ 2 +i μ 1 +j μ 2 +jα ),1ic1,1jc1 ξ ijw =( λ 1 + λ 2 +θ+i μ w1 +j μ w2 ),1ic1,1jc1 ξ ic =( λ 1 +i μ 1 +c μ 2 +cα ),1ic1 ξ icv =( λ 1 +θ+i μ w1 +c μ w2 ),1ic1 ϕ=( λ 1 + λ 2 +β ) ϕ c =( λ 1 +β ) (2)

具体矩阵如下:

A 00 ( 3c+1 ) 阶方阵,即

A 00 =( ( λ 1 + λ 2 ) λ 2 μ w2 ξ 1w θ 0 λ 2 μ 2 0 ξ 1 α 0 λ 2 β ϕ 0 0 λ 2 2 μ w2 0 0 ξ 2w θ 0 λ 2 2 μ 2 0 0 ξ 2 2α 0 λ 2 β ϕ 0 0 λ 2 ( c1 ) μ w2 0 0 ξ (c1)w θ 0 λ 2 ( c1 ) μ 2 0 0 ξ c1 ( c1 )α 0 λ 2 β ϕ 0 0 λ 2 c μ w2 0 0 ξ cw θ 0 c μ 2 0 0 ξ c cα β ϕ c ) (3)

A ii ( 3c+3 ) 阶方阵,即

A ii =( ξ i0w θ 0 λ 2 ξ i0 α 0 λ 2 β 0 ϕ 0 0 λ 2 μ w2 0 0 ξ i1w θ 0 λ 2 μ 2 0 0 ξ i1 α 0 λ 2 β ϕ 0 0 λ 2 2 μ w2 0 0 ξ i2w θ 0 λ 2 ( c1 ) μ w2 0 0 ξ i(c1)w θ 0 λ 2 ( c1 ) μ 2 0 0 ξ i(c1) ( c1 )α 0 λ 2 β ϕ 0 0 λ 2 c μ w2 0 0 ξ icw θ 0 c μ 2 0 0 ξ ic cα β ϕ c ),1ic (4)

B 10 ( 3c+3 )×( 3c+1 ) 阶方阵,即

B 10 =( μ w1 μ 1 0 μ w1 μ 1 0 μ w1 0 μ w1 μ 1 0 ) (5)

B i,i1 ( 3c+3 )×( 3c+3 ) 阶方阵,即

B i,i1 =( i μ w1 i μ 1 0 i μ w1 i μ 1 0 i μ w1 i μ 1 0 ),2ic (6)

C 01 ( 3c+1 )×( 3c+3 ) 阶方阵,即

C 01 =( λ 1 0 0 λ 1 λ 1 λ 1 λ 1 λ 1 ) (7)

C ( 3c+3 )×( 3c+3 ) 阶方阵,即

C=( λ 1 λ 1 λ 1 λ 1 ) (8)

通过分析Q矩阵的结构特征可知,此三维Markov状态过程 { L 1 ( t ), L 2 ( t ),J( t ),t0 } 是拟生灭过程(Quasi-Birth-and-Death process, QBD)。

令矩阵 H= A cc + B c,c1 +C

H=( ( λ 2 +θ ) θ 0 λ 2 ( λ 2 +α ) α 0 λ 2 β 0 ( λ 2 +β ) 0 0 λ 2 c μ w2 0 0 ( θ+c μ w2 ) θ 0 c μ 2 0 0 ( cα+c μ 2 ) cα β β ) (9)

π={ π 1 , π 2 , π 3 , π c } 表示为 H 的稳态概率向量,则满足以下方程组

{ πH=0 πe=1 (10)

由上述平衡方程可得下列方程组

( λ 2 +θ ) π 0 +β π 2 + μ w2 π 3 =0 (11)

θ π 0 ( λ 2 +α ) π 1 + μ 2 π 4 =0 (12)

α π 1 ( λ 2 +β ) π 2 =0 (13)

( λ 2 +θ+i μ w2 ) π i+2 + λ 2 π i1 +(i+1) μ w2 π i+5 =0,1ic1 (14)

( λ 2 +jα+j μ 2 ) π j+3 + λ 2 π j +j μ 2 π j+5 =0,1jc1 (15)

( λ 2 +β ) π k+4 + λ 2 π k+1 +kα π k+3 =0,1kc1 (16)

( θ+c μ w2 ) π c2 + λ 2 π c5 =0 (17)

( c+c μ 2 ) π c1 + λ 2 π c4 +θ π c2 +β π c =0 (18)

cα π c1 + λ 2 π c3 β π c =0 (19)

π 0 e+ i=1 c π i e=1 (20)

通过上述式子递推计算可以求解并得到各概率 { π 1 , π 2 , π 3 , π c }

根据拟生灭过程 { L 1 ( t ), L 2 ( t ),J( t ),t0 } 正常返的充分必要条件 πCe<π B c,c1 e 可得

( π 1 , π 2 , π c )( c μ w1 c μ 1 0 c μ w1 c μ 1 0 )( 1 1 1 1 1 1 )>( π 1 , π 2 , π c )( λ 1 λ 1 λ 1 λ 1 λ 1 λ 1 )( 1 1 1 1 1 1 ) (21)

故系统稳态平稳条件可以表示为

λ 1 < c( μ w1 + μ 1 ) 3 (22)

当满足上述条件时,该QBD过程是正常返的。

稳态概率的矩阵几何解法

当三维Markov过程 { L 1 ( t ), L 2 ( t ),J( t ),t0 } 为正常返时,稳态分布定义如下:

P i,j,k = lim t P{ L 1 ( t )=i, L 2 ( t )=j,J( t )=k } ,( i,j,k )Ω

P=( P 0 , P 1 , P 2 ,, P c , P c+1 , )

P 0 =( P 000 , P 0,1,0 , P 0,1,1 , P 0,1,2 ,, P 0,c,0 , P 0,c,1 , P 0,c,2 )

P i =( P i,0,0 , P i,0,1 , P i,0,2 , P i,1,0 , P i,1,1 , P i,1,2 ,, P i,c,0 , P i,c,1 , P i,c,2 ),i1

稳态概率向量 P 满足方程组

{ PQ=0 Pe=1 (23)

将方程组展开可得

P 0 A 00 + P 1 B 10 =0 (24)

P 0 C 01 + P 1 A 11 + P 2 B 21 =0 (25)

P i C+ P i+1 A i+1,i+1 + P i+2 B i+2,i+1 =0,1ic2 (26)

P c1 C+ P c A cc =0 (27)

P c C=0 (28)

P 0 e+ i=1 c P i e=1 (29)

其中 e 为适当维数且元素全为1的列向量。通过对方程组联立求解可以得到稳态概率向量 P=( P 0 , P 1 , P 2 ,, P c )

三维Markov过程 { L 1 ( t ), L 2 ( t ),J( t ),t0 } 正常返的充要条件为矩阵二次方程 R 2 B c,c1 +R A cc +C=0 存在最小非负解 R 且其最小谱半径 sp( R )<1 ,同时构建的 3 c 2 +6c+1 维方阵

B[ R ]=( A 00 C 01 B 10 A 11 C B 21 A 22 C B 32 A 33 C B c1,c2 A c1,c1 C B c,c1 R A c,c1 + A cc ) (30)

存在左零向量。当该过程正常返时,系统稳态分布满足下列方程组:

{ ( P 0 , P 1 , P 2 ,, P c )B[ R ]=0 i=0 c1 P i e+ P c ( IR ) 1 e=1 P i = P c R ic ,ic (31)

证明:根据 Q 矩阵以及 B[ R ] 矩阵结构可知, B[ R ] 矩阵是一个 3 c 2 +6c+1 维的方阵。首先,由 ( P 0 , P 1 , P 2 ,, P c )B[ R ]=0 可知 B[ R ] 存在左零向量;其次,该三维Markov过程满足平衡方程 PQ=0 ,带入化简即可得 P i = P c R ic ,ic

最后通过正规化条件 P 0 e+ i=1 P i e=1 以及 P i = P c R ic ,ic 可得

P 0 e+ i=1 P i e = P 0 e+ P 1 e++ P c e+ P c+1 e+= i=0 c1 P i e + P c k=0 R k e (32)

由于 R 矩阵的最小谱半径 sp( R )<1 ,所以级数 k=0 R k 收敛于 ( IR ) 1 ,带入上式可推导出 i=0 c1 P i e+ P c ( IR ) 1 e=1 。其中 e 为适当维数的列向量且元素全为1, I 3c+3 维单位阵。

4. 系统性能分析

4.1. 系统稳态性能指标

通过上述分析可以得到系统的稳态概率,根据系统的稳态概率可求出系统的各项性能指标,具体性能指标表达式如下:

(1) Ⅰ类顾客平均队长为

E( L 1 )= i=1 iP( L 1 =i ) = i=1 j=0 c k=0 1 i P i,j,k (33)

(2) Ⅱ类顾客平均队长为

E( L 2 )= j=1 jP( L 2 =j ) = j=1 c i=0 k=0 1 j P i,j,k (34)

(3) 系统内顾客平均逗留时间为

E( W )= 1 λ 1 + λ 2 [ E( L 1 )+E( L 2 ) ]= 1 λ 1 + λ 2 ( i=1 j=0 c k=0 1 i P i,j,k + j=1 c i=0 k=0 1 j P i,j,k ) (35)

(4) 服务台工作休假的概率为

P v = i=0 j=0 c p i,j,0 (36)

(5) 系统平均忙期为

E( B )= 1 μ 1 E( L 1 )+ 1 μ 2 E( L 2 )= μ 2 E( L 1 )+ μ 1 E( L 2 ) μ 1 μ 2 (37)

(6) 服务台可用度为

P use = min{ E( L 1 )+E( L 2 ),c } c (38)

4.2. 数值分析

通过调整系统输入参数得到各个性能指标随参数变化的结果并将结果进行可视化处理,分析参数对性能指标变化趋势的影响。

图1中固定参数 λ 1 =1.8, λ 2 =2.5, μ 1 =2, μ w1 =1, μ w2 =2,θ=5,α=1.5,β=1.1 研究系统在正规忙期对Ⅱ类顾客的服务率 μ 2 以及系统服务台数 c 对Ⅰ类顾客平均队长 E( L 1 ) 的影响。当 μ 2 固定不变时,Ⅰ类顾客的平均队长 E( L 1 ) 随着服务台数量 c 的增加而增大。因为Ⅱ类顾客具有更高的优先级,系统中新增加的服务台会优先给予Ⅱ类顾客使用,服务台数量 c 的增加会使系统中Ⅱ类顾客接受服务的机会增大,此时新到达的Ⅰ类顾客就会在系统中等待服务从而导致Ⅰ类顾客的平均队长增加;当 c 固定不变时,系统中Ⅰ类顾客的平均队长 E( L 1 ) 随着 μ 2 的增大而减小。由于系统对Ⅱ类顾客的服务率增加,会使系统整体的服务率加快,从而使服务台的翻台率更高,在同一时间内一个服务台可以服务更多的Ⅱ类顾客,有更多的空闲服务台可以为Ⅰ类顾客进行服务,所以系统中Ⅰ类顾客的平均队长 E( L 1 ) 会随着 μ 2 的增大而减小。故在其他参数不变的情况下,提高系统对Ⅱ类顾客的服务率可以提高系统的运行效率,减少系统内Ⅰ类等待顾客的平均队长。在系统对Ⅱ类顾客服务率不变的情况下,盲目增加系统服务台的数量可能会导致系统内等待顾客增加从而加重系统负担。

Figure 1. Relationship between the mean queue length E( L 1 ) , μ 2 , and c

1. 平均队长 E( L 1 ) μ 2 c 的关系

图2中固定参数 λ 2 =2.5, μ 1 =2, μ 2 =6, μ w1 =1, μ w2 =2,θ=5,c=10 展示了在不同维修速率 β 下Ⅰ类顾客的平均队长 E( L 1 ) 与服务台故障率 α 以及Ⅰ类顾客到达率 λ 1 的变化关系。在其它参数均固定不变的情况下,Ⅰ类顾客的平均队长 E( L 1 ) 随着维修速率的增大而减小。由于对故障系统的维修速度加快,系统可以在更短的时间内重新为顾客提供服务,因此提高对系统的维修速率可以使系统中Ⅰ类顾客的平均队长减少;当固定维修速率 β 不变时,Ⅰ类顾客的平均队长 E( L 1 ) 随着服务台故障率 α 以及到达率 λ 1 的增大而增大。串联系统中一台服务台发生故障会导致系统整体停止运转,服务台故障率越大,服务台间歇停止服务的次数就越多,间歇期间新到达的顾客就需要排队等待服务,同时随着Ⅰ类顾客到达率的 λ 1 的增大,系统中Ⅰ类顾客增加速率变快,最后导致系统中Ⅰ类顾客的平均队长增大。

Figure 2. Relationship between the mean queue length E( L 1 ) , λ 1 , α , and β

2. 平均队长 E( L 1 ) λ 1 α β 的关系

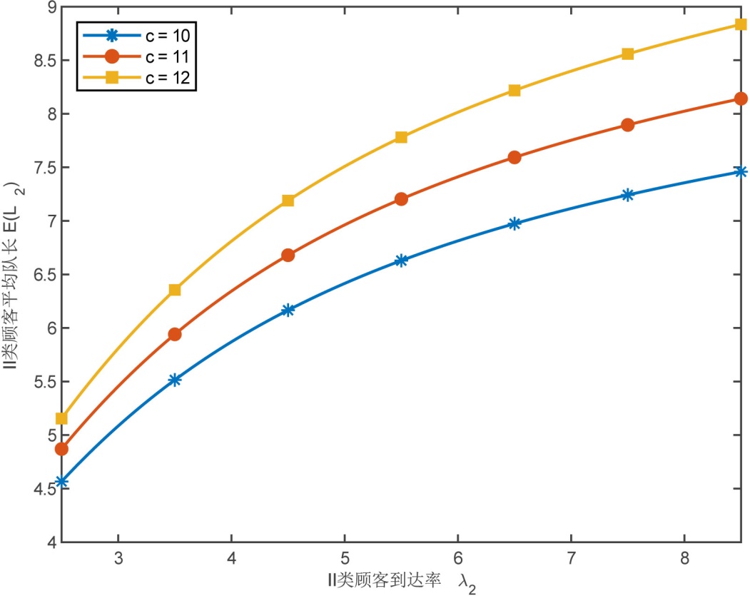
图3中固定参数 λ 1 =1.8, μ 1 =2, μ 2 =6, μ w1 =1, μ w2 =2,θ=5,α=1.5,β=1.1,c=10 分别展示了系统在设置服务台数量 c=10,c=11,c=12 情况下Ⅱ类顾客平均队长 E( L 2 ) 与Ⅱ类顾客到达率 λ 2 的关系。当到达率 λ 2 固定不变时,Ⅱ类顾客平均队长 E( L 2 ) 随着服务台数量 c 的增加而增大。这是因为在参数设定中Ⅱ类顾客到达率大于Ⅰ类顾客的到达率 ( λ 2 > λ 1 ) ,导致Ⅱ类顾客形成自身拥堵现象,同时服务台的数量增加使得Ⅰ类顾客在多个服务台之间快速流动,Ⅱ类顾客打断Ⅰ类顾客的机会变少,非抢占优先级机制被削弱导致Ⅱ类顾客等待服务台空闲的平均时间增加,最终导致Ⅱ类顾客的平均队长增加;当服务台数量 c 固定不变时,Ⅱ类顾客平均队长 E( L 2 ) 随着到达率 λ 2 的增大而增大。因为系统中服务台数量不变以及服务台对Ⅱ类顾客服务速率不变时,随着到达率 λ 2 的增大,系统中的Ⅱ类顾客会越来越多,从而使Ⅱ类顾客的平均队长 E( L 2 ) 增加。

Figure 3. Relationship between the mean queue length E( L 2 ) , λ 2 , and c

3. 平均队长 E( L 2 ) λ 2 c 的关系

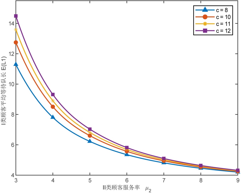
图4中固定参数 λ 1 =1.8, μ 1 =2, μ w1 =1, μ w2 =2,θ=5,α=1.5,β=1.1,c=10 研究系统中Ⅱ类顾客到达率 λ 2 以及服务率 μ 2 对Ⅱ类顾客平均队长 E( L 2 ) 的影响。当 λ 2 固定不变时,可以看到,Ⅱ类顾客的平均队长 E( L 2 ) 随着服务率 μ 2 的增大而减小。由于系统中其它参数不变,提高服务台对Ⅱ类顾客的服务率可以使正在排队的Ⅱ类顾客减少排队等待时间,更快的前往服务台接受服务,从而使系统内Ⅱ类顾客的数量减少,缩短Ⅱ类顾客的平均等待队长 E( L 2 ) ;当服务率 μ 2 固定不变时,Ⅱ类顾客的平均队长 E( L 2 ) 随着到达率 λ 2 的增大而增大。因为在服务台对Ⅱ类顾客服务率不变的情况下,到达率 λ 2 越大,系统中进入的Ⅱ类顾客就越多,但是系统的负载能力不变,新到达的Ⅱ类顾客就需要排队等候服务,最终导致Ⅱ顾客的平均队长 E( L 2 ) 随着到达率 λ 2 的增大而增大。

Figure 4. Relationship between the mean queue length E( L 2 ) , μ 2 , and λ 2

4. 平均队长 E( L 2 ) μ 2 λ 2 的关系

系统在固定参数 λ 2 =3.5, μ 1 =3.5, μ 2 =5, μ w1 =2, μ w2 =3,θ=5,α=1.5,β=1.1 ,服务台数分别为 c=8,c=9,c=10 的情况下,服务台工作休假概率 Pv 与Ⅰ类顾客到达率 λ 1 关系如表1所示。从表1中可以得出如下结论:系统服务台数量不变的情况下,服务台工作休假的概率随着Ⅰ类顾客到达率的增大而减小。主要原因是服务台为空时自动进行休假,休假期间有顾客到达服务台则进入工作休假状态。系统中Ⅰ类顾客到达率的增加会使得系统内有更多的顾客排队等待服务,这会使空服务台占所有服务台的比例减少,从而导致服务台进入休假状态的机会减少,持续保持在正规忙期的状态;当固定Ⅰ类顾客到达率 λ 1 不变的情况下,系统设置更多的服务台会使服务台工作休假概率 Pv 增加。由于系统在其他参数固定不变的情况下增加服务台的数量会提高系统整体的运行效率,使得服务台空闲的概率增加,空闲服务台自动进入休假状态,提高了服务台工作休假概率 Pv

Table 1. Relationship between the working vacation probability Pv, c, and λ 1

1. 工作休假概率Pv随参数c λ 1 的关系

c

服务台工作休假概率Pv

λ1 = 1.8

λ1 = 2.8

λ1 = 3.8

λ1 = 4.8

λ1 = 5.8

8

0.5707

0.3283

0.182

0.0916

0.0356

9

0.597

0.3463

0.1961

0.1038

0.0468

10

0.6199

0.3616

0.2077

0.1135

0.0555

图5中描绘了系统在固定参数 λ 1 =1.8, λ 2 =2.5, μ 1 =2, μ 2 =6, μ w1 =1, μ w2 =2,θ=5,c=10 的情况下,系统故障率 α 以及维修率 β 对系统服务台可用度 P use 的影响。可以发现,当维修速率 β 不变时,系统可用度 P use 随着故障率的增大而减小;在同一故障率水平下, P use 随着 β 的增大而增大。这是因为系统的故障率影响服务台的工作时间,当系统发生故障时,系统不进行服务,系统发生故障的概率越大,服务停止工作的时间占比就越长,导致系统可用度 P use 减小;反之,若故障率确定的情况下,对系统进行维修的速率越快,系统恢复正常运转的速度就越快,系统正常服务的时间占比就会增加,使系统可用度增加。

Figure 5. Relationship between the server availability P use , β , and α

5. 服务台可用度 P use β α 的关系

4.3. 效益函数

根据数值分析的结果可以发现,系统性能指标对不同参数的变化有不同的敏感度,为了分析系统的经济成本,提高系统整体的运行效率,本节通过建立个人效益函数以及系统效益函数探讨使系统收益达到最优的参数。

4.3.1. 个人效益函数

假定系统完成一次服务时,Ⅰ类顾客和Ⅱ类顾客的个人收益分别为 Z 1 , Z 2 ,在系统中等待服务产生的的损失为 Q 1 , Q 2 。则两类顾客在系统中所获得的个人效益函数可以分别表示为

{ W 1 = μ 1 Z 1 Q 1 E( L 1 ) λ 1 W 2 = μ 2 Z 2 Q 2 E( L 2 ) λ 2 (39)

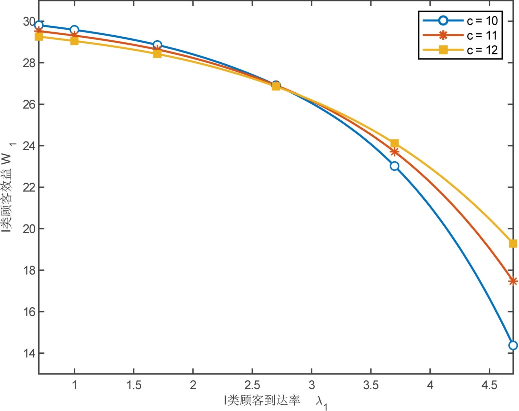
图6中系统在固定参数 Z 1 =19, Q 1 =3, λ 2 =2.5, μ 1 =2, μ 2 =6, μ w1 =1, μ w2 =2,θ=5,α=1.5,β=1.1 的情况下,Ⅰ类顾客个人效益 W 1 随到达率 λ 1 以及服务台数 c 的变化关系如图6所示。当服务台数 c 固定不变时, W 1 随着Ⅰ类顾客到达率 λ 1 的增大而减少。由于Ⅰ类顾客到达率的增加会使得系统内Ⅰ类顾客的数量增加,导致服务资源拥堵,增加Ⅰ类顾客的等待时间,增加时间成本导致个人效益降低;当固定Ⅰ类顾客到达率 λ 1 不变时,可以发现当 λ 1 <2.7 时,增加服务台数会导致Ⅰ类顾客的个人效益 W 1 减小,这是因为新增加的服务台会优先服务系统中具有更高优先级别的Ⅱ类顾客。当 λ 1 2.7 时,增加服务台数会导致Ⅰ类顾客的个人效益 W 1 增大,由于此时新增服务台会导致Ⅱ类顾客形成自身拥堵现象,同时服务台的数量增加使得Ⅰ类顾客在多个服务台之间快速流动,可以减少Ⅰ类顾客等待时间,所以新增服务台会使Ⅰ类顾客的个人效益增加。

Figure 6. Relationship between the benefit W 1 , λ 1 , and c

6. 效益 W 1 λ 1 c 的关系

表2中固定参数 Z 2 =15, Q 2 =4, λ 2 =1.8, λ 2 =2.5, μ 1 =2, μ w1 =1, μ w2 =2,θ=5,α=1.5,β=1.1 ,研究系统分别在服务台数 c=10,c=11,c=12 情况下Ⅱ类顾客个人效益 W 2 随服务率 μ 2 的变化情况。从表中数据可以发现当固定服务台数 c 时, W 2 随着 μ 2 的增大而增大。由于系统提高对Ⅱ类顾客的服务率,使单位时间内有更多的Ⅱ类顾客完成服务,显著减少其等待时间,且服务率增大使得Ⅱ类顾客在系统中获得的收益增加。所以对于Ⅱ类顾客来讲,提高服务率 μ 2 可以显著提高其个人效益;当固定服务率 μ 2 时, W 2 随着服务台数 c 的增加而小幅减少,说明Ⅱ类顾客个人效益的变化对服务台数 c 的变化有着较低的敏感度,但是持续的增加服务台数量会使Ⅱ类顾客形成自身拥堵现象,导致其个人效益降低。

Table 2. Relationship between the individual benefit function W2, c, and μ 2

2. 个人效益函数W2随参数c μ 2 的关系

c

个人效益函数W2

μ2 = 4

μ2 = 5

μ2 = 6

μ2 = 7

μ2 = 8

μ2 = 9

μ2 = 10

10

50.7084

66.8582

82.6938

98.3122

113.7826

129.1499

144.4437

11

49.9305

66.26

82.2084

97.901

113.4223

128.8263

144.1475

12

49.171

65.6884

81.7534

97.5208

113.0924

128.532

143.8792

4.3.2. 系统效益函数

从系统整体效益来看,假定系统每服务完一名顾客得到的平均收益为 Z p ,花费平均成本为 Q p 。则系统的整体效益函数可以表示为

W p = λ p ( μ p Z p Q p E( D p ) ) (40)

其中

λ p = λ 1 + λ 2 2 (41)

μ p = μ 1 + μ 2 2 (42)

E( D p )= λ 2 E( L 1 )+ λ 1 E( L 2 ) 2 λ 1 λ 2 (43)

系统在固定参数 Z p =20, Q p =3.5, λ 1 =1.8, λ 2 =2.5, μ 1 =2, μ w1 =1, μ w2 =2,θ=5,α=1.5,β=1.1 ,服务台数分别为 c=10,c=11,c=12 的情况下,系统整体效益 W p 与Ⅱ类顾客服务率 μ 2 关系如表3所示。观察数据可以发现,在系统服务台数量不变的情况下,系统整体效益 W p 随着 μ 2 的增大而增加。这是因为系统提高对Ⅱ类顾客的服务率可以有效减少系统内顾客的等待时间,使系统在单位时间内流通的顾客数量增加,从而提高系统的整体效益;当Ⅱ类顾客服务率 μ 2 不变时, W p 随着服务台数量的增加而减少。由于系统增加服务台数量会提高系统运行的成本,从而使系统整体的收益降低。

Table 3. Relationship between the social benefit function W p , parameter c, and μ 2

3. 系统整体效益函数 W p 随参数c μ 2 的关系

c

系统整体效益Wp

μ2 = 4

μ2 = 5

μ2 = 6

μ2 = 7

μ2 = 8

μ2 = 9

μ2 = 10

10

102.4734

129.0391

153.4856

176.8757

199.6746

222.1149

244.3235

11

100.9156

128.0325

152.7698

176.327

199.2298

221.7382

243.9945

12

99.3419

127.0446

152.0827

175.8085

198.8132

221.3882

243.69

5. 结论

综上所述,可以通过增加单个服务台对Ⅱ类顾客服务率 μ 2 ,并尽可能不增设系统内服务台的数量来提高系统整体效益。同时在保证系统整体效益的前提下控制Ⅰ类顾客的到达率来保证Ⅰ类顾客的个人效益。

参考文献

[1] Erlang, A.K. (1909) The Theory of Probabilities and Telephone Conversations. Electrotechnische Zeitschrift, 30, 482-485.
[2] Kamoun, F. (2008) Performance Analysis of a Non-Preemptive Priority Queuing System Subjected to a Correlated Markovian Interruption Process. Computers & Operations Research, 35, 3969-3988. [Google Scholar] [CrossRef
[3] 朱翼隽, 徐剑, 周宗好. 多重工作休假的M/M/c排队系统[J]. 江苏大学学报(自然科学版), 2012, 33(3): 369-372.
[4] Afnan, M.I., Jain, M. and Sharma, R. (2022) Non-Preemptive Priority M/M/m Queue with Servers’ Vacations. International Journal of Mathematics in Operations Research, 21, 120-137.
[5] Korenevskaya, M., Zayats, O., Ilyashenko, A. and Muliukha, V. (2019) Retrial Queuing System with Randomized Push-Out Mechanism and Non-Preemptive Priority. Procedia Computer Science, 150, 716-725. [Google Scholar] [CrossRef
[6] 王慧. 带不耐烦顾客和单重休假的非抢占优先权排队模型分析[J]. 现代商贸工业, 2019, 40(32): 190-191.
[7] 汪文杰, 刘力维, 叶晴晴. 带有启动时间和两类故障的M/M/1系统均衡策略分析[J]. 重庆工商大学学报(自然科学版), 2022, 39(2): 38-45.
[8] 王哲. 非抢占优先权排队在医疗服务系统中的应用研究[D]: [硕士学位论文]. 秦皇岛: 燕山大学, 2018.
[9] 郑晓铭. 带抢占优先权和服务台休假的排队系统研究[D]: [硕士学位论文]. 秦皇岛: 燕山大学, 2017.
[10] 张怡通, 徐秀丽. 具有两类优先权顾客的M/M/1排队的优化分析[J]. 应用概率统计, 2021, 37(5): 449-460.
[11] 谭玉廷, 徐秀丽, 郑瑞. 带有非抢占优先权接触匹配的M/M/c + m排队模型分析[J]. 山东大学学报(理学版), 2023, 58(11): 45-52.