多智能体系统能控性在电商物流领域的应用
Application of Controllability of Multi-Agent Systems in E-Commerce Logistics Field
摘要: 基于Gramian型矩阵判据分析具有通信时滞离散时间多智能体系统在不同拓扑结构、不同通信模式、领导者数量不同的电商物流网络模式下的相对能控性。对于不是相对能控的情形给出针对性的优化方案并通过数值模拟仿真实验验证了理论的有效性。
Abstract: Based on the Gramian matrix criterion, the relative controllability of discrete-time multi-agent systems with communication delays under different topological structures, different communication modes, and different numbers of leaders in e-commerce logistics network models is analyzed. For situations that are not relatively controllable, targeted optimization schemes are provided and the validity of the theory is verified through numerical simulation experiments.
文章引用:石红威. 多智能体系统能控性在电商物流领域的应用[J]. 电子商务评论, 2026, 15(2): 136-146. https://doi.org/10.12677/ecl.2026.152138

1. 引言

电子商务已经从一个简单的网上交易平台发展成为一个涉及全球供应链、实时物流、个性化营销和全天候客户服务的复杂大系统[1] [2]。传统的软件架构和决策模型,由于其集中和预定义的规则性质,越来越难以处理动态需求、大规模并发性和长链协调。在此背景下,智能体能有效运用到电商领域,核心在于其能将一个庞大、复杂的商业系统,分解为多个可自主决策、灵活交互的智能单元,从而实现对传统“中心化大脑”模式的超越[3]-[5]

多智能体系统的研究核心之一是系统的能控性。在控制理论中,能控性指系统在外部输入的作用下,其状态能被引导至任意期望状态的能力。引申到多智能体系统领域,能控性关注的是:如何通过智能体之间的交互规则、通信协议、协同策略与学习机制,确保这个由多个自主决策单元构成的分布式系统,其涌现出的集体行为是可控、可预测且能高效达成全局目标的。能控性这一概念最早由匈牙利裔美籍数学家Kalman于1960年在论文《On the General Theory of Control Systems》中正式提出并严格定义[6]。Kalman基于状态空间法,用严格的数学语言定义了线性系统能控性这个核心概念,并给出了著名的Kalman判据,从而奠定了现代控制理论的基石。这一原创性工作标志着控制理论从经典频域方法向现代状态空间方法的根本性转变,也为后续多智能体系统、网络化控制系统等领域的能控性研究提供了理论基础。2004年Tanner首次把能控性的概念引入多智能体系统并得出了[7],证明了网络拓扑结构决定能控性,并提出通过控制部分智能体即可控制整个网络的里程碑结论,开创了多智能体系统结构能控性研究领域。

多智能体系统能控性的核心内涵与电商适用性。在电商环境下的多智能体系统,其智能体通常代表不同的业务实体或功能模块,如消费者代理、商家代理、库存代理、物流车辆代理等[8] [9]。系统的能控性主要体现在三个层面:1. 任务级能控:针对一个明确的业务目标(如最小化物流成本或解决库存量到达目标期望值),系统能有效分解任务,调度合适的智能体资源,并监督其协同执行直至目标达成。2. 状态能控:当系统因外部扰动(如网络攻击、需求激增)或内部故障偏离正常运营状态时,能通过智能体间的感知、通信与策略调整,使系统状态恢复稳定或平滑过渡到新的可运营状态。3. 演进能控:在长期运行中,系统能通过持续学习优化智能体策略与协同规则,使其整体性能沿着期望的方向演进,避免陷入局部最优或失控。电商业务的海量数据、实时性要求、多利益方博弈等特性,与多智能体系统处理复杂、动态、分布式问题的优势高度契合,使得对系统能控性的研究具有强烈的现实意义[10]

本文旨在研究具有通信时滞离散时间多智能体系统在不同电商物流网络模式下的相对能控性问题。基于Gramian型矩阵判据分析了系统在不同拓扑结构、通信模式及领导者数量配置下的相对能控性。针对非相对能控情形,提出了针对性的优化方案,并通过数值仿真实验验证了所提方案与理论的有效性。

2. 预备知识

接下来,简要介绍图论的基本概念和一些相关的符号。图 G=( V,E,W ) 由一组顶点 V 和一个边集 E 组成,其中 V=( v 1 ,, v n ) , E={ ( v j , v i )| v i , v j V } W=[ w ij ] 是加权矩阵, w ij 表示边的权重。如果 E 中的所有元素 ( v j , v i ) 都由不同顶点的有序对组成,则图是有向的。相反,如果 E 中的所有元素 ( v j , v i ) 都由不同顶点的无序对组成,则图是无向的。边 ( v j , v i )E 表示存在从 v j v i 的信息流。 v i 的邻居集用 N i ={ v j V|( v j , v i )E,ij } 表示。给定一个加权图 G ,定义拉普拉斯(Laplace)矩阵如下:

L=[ l ij ],  l ij ={ w ij , v j N i ,ij, v j N i w ij ,i=j, 0,otherwise. (1)

+ 为所有正整数的集合, n ¯ 为整数的集合 1,,n ,即 n ¯ ={ 1,,n } 。对于整数 a,b ab ,记 a b ={ a,a+1,,b } 。给定两个集合 D S ,记 D/S={ x|xD,xS } 。设 0 , Θ I 分别表示零向量,相应维度零矩阵和单位矩阵。

根据[11]可知,给定矩阵 A n×n ,对应的离散矩阵时滞指数定义如下:

e m Ak ={ Θ,                                                         k m1 , I,                                                          k m1 I+A( l k )++ A l ( k( l1 )m l ),     k ( l1 )( m+1 )+1 l( m+1 ) , l + , (2)

其中 m + 为时滞参数。离散矩阵时滞指数满足 Δ e m Ak =A e m A( km ) ,k m

3. 系统模型建立

不失一般性,考虑一个由 n+l 智能体组成的领导者–跟随者结构化多智能体系统,其中 1,,n 被指定为跟随者, n+1,,n+l 被指定为领导者。追随者之间和领导者之间的通信方式是不固定;领导者和跟随者之间的通信也是如此。也就是说,跟随者可以向其他跟随者发送信号,也可以向领导者发送信号。将拓扑抽象为加权图 G=( V,E,W ) ,其中 V 中的智能体 v i 表示智能体 i E 中的边 ( v j , v i ) 表示智能体 j 与智能体 i 之间的通信通道。

假设每个智能体服从以下离散时间动力学:

x i ( k+1 )= x i ( k )+ u ˜ ( k ), i n+l, ¯ (3)

其中 x 表示状态, u ˜ 是控制输入。智能体之间的通信存在时滞,多智能体系统的交互关系可以通过以下相关协议来实现:

u ˜ i ( k )={ v j N i w ij ( x j ( km ) x i ( km ) ) ,                      i n ¯ v j N i w ij ( x j ( km ) x i ( km ) )+ c i u i ( k ),        i n+l ¯ / n ¯ (4)

其中 N i v i 的邻居集, N i ={ v j |( v j , v i )E } m + 是时滞参数, u i 是外部控制输入, c i >0 是外部控制输入与领导者之间的权重系数, w ij 是边 ( v j , v i ) 的权重。如果 v j v i 的邻居,则 w ij 非零,否则为零。记 Δx( k )=x( k+1 )x( k ) 。由式(1)~(4),可得

Δx( k )=Ax( km )+Bu( k ), (5)

其中 x= [ x [ 1 ] ,, x [ n+l ] ] T u=[ u [ n+1 ] ,, u [ n+l ] ]

A=( L ff L fl L lf L ll ), B=( Θ C ). (6)

因此,具有协议式(4)和固定交互拓扑结构的多智能体系统(3)被表征为具有通信时滞的离散时间多智能体系统(5)。如果系统(5)是能控,则在固定拓扑下协议为式(4)的多智能体系统(3)也是能控。

4. 相对能控性

接下来,考虑系统(5)的相对能控性。为此,首先提出相对能控性的定义。

定义:若存在一个常数 k * 1 ,使得对于所有的终端时刻 k f k * ,对任意初始函数 φ( k ): m 0 n+l 和任意终端状态 x f n+l ,存在一个控制输入 u * ( k ): 0 k f 1 l ,使得系统(5)满足 x( k f )= x f ,则称系统(5)在区间 [ 1, k f ] 是相对能控。

定理1系统(5)在区间 [ 1, k f ] 是相对能控当且仅当Gramian型矩阵 W[ 1, k f ] 是非奇异,其中

W[ 1, k f ]= j=1 k f e m A( k f mj ) B B T e m A T ( k f mj )

证明:给定初始函数 φ( k ),k m 0 和终端状态 x f n+l ,由式(1)和(2)可知

x( k )= e m Ak φ( m )+ j=m+1 0 e m A( kmj ) Δφ( j1 ) + j=1 k e m A( kmj ) Bu( j1 ),

结论可以通过构造如下的外部控制输入得到:

u * ( j1 )= B T e m A T ( k f mj ) W 1 [ 1, k f ]( e m A k f φ( m )+ j=m+1 0 e m A( k f mj ) Δφ( j1 ) x f ).

更多细节可以参考[12]

数学符号解释如下:(1) 系统终端状态 x f 指领导者根据外部指令协调跟随者,将物流网络中所有节点的相对库存量调节至期望目标值。(2) 智能体 i 表示能自主决策的物流单元。(3) 系统状态 x( ) 表示电商物流网络系统的实时运行态势且 x i ( )= 实际库存量 − 安全库存量。(4) Gramian型矩阵作为一种数学工具,可用于识别物流网络中的关键控制节点,从而指导外部指令的精准施加,实现电商物流系统的高效协同调度。(5) 外部控制输入 u * ( ) 作为系统协同的动态驱动力,可通过实时调整订单优先级、灵活协调关键资源或同步上下游节点的库存状态,实现对物流网络整体运行的精准调控与优化。

5. 在不同电商物流网络模式下系统的相对能控性

根据实际情况,假设下面考虑的三种电商物流网络模式下的离散时间多智能体系统都含有通信时滞 m=2 且不考虑时滞对系统相对能控性的影响。本文选取的三种电商物流网络模式并非随意设定,而是根据我国电商物流的实际情况而抽象出来。如果系统是相对能控,意味着领导者可以通过一系列指令(生产计划、调拨单、物流路由),高效、精准地实现目标。如果系统不是相对能控,则意味着存在某些资源或环节“不听指挥”或“无法协同”,导致战略目标无法达成,或在达成过程中产生巨大的资源浪费和内耗。根据实际情况,由于天气、地理环境、经济、科技等原因的共同影响,各个城市之间的通信权重是基于这些原因而取定。

注:运输时滞源自物理实体的空间移动,体现为货物在两地间搬运所需的时间,通常由距离和运输速度决定,属于可预估的物流延迟。通信时滞则源于信息在传输、处理及交换过程中的时间消耗,表现为信息时效性的衰减,具有可变性与随机性,属于信息延迟。简言之,前者是物流的延迟,后者是信息的延迟。

5.1. 系统在不同网络拓扑结构条件下的相对能控性

“智选优品”是一家专注于家居生活与个人护理品类的中型电商平台,核心市场为京津冀城市群。其供应链是构建一个极简、确定性的单向层级补货网络。该网络设计严格遵循总仓→区域分拨→城市转运枢纽→末端仓的单向商品流转路径,旨在通过简化操作、降低跨级协调复杂性来实现成本最优,从而支撑其在核心市场与大型电商平台竞争时所必需的基础履约效率。下面的拓扑结构正是对上述复杂电商网络结构的抽象与提炼。北京仓(区域总仓)记为智能体5;天津仓(一级分拨中心)记为智能体1;石家庄仓(二级装运枢纽)记为智能体2;保定仓(前段销售仓A)记为智能体3;唐山仓(前段销售仓B)记为智能体4。我们基于领导者-跟随者模型指定北京仓库作为领导者,其余仓库作为跟随者。

假设所有智能体服从动力学(3)式且遵循相互协议(4)式,通过整理得到系统(5)。系统具体的拓扑结构见图1(a)所示。取5→1的通信权重为 w 15 =0.5 ;1→2的通信权重为 w 21 =0.3 ;2→3和2→4的通信权重为 w 32 = w 42 =0.3 。外部控制输入与领导者之间的通信权重为 c 5 =1 和通信时滞 m=2 。系统运行终端时刻 k f =24 和系统运行时间区间 [ 1, k f ] 。由(6)式得到:

(a) (b)

Figure 1. Topology of the system

1. 系统的拓扑结构

A=[ 0.5 0 0 0 0.5 0.3 0.3 0 0 0 0 0.3 0.3 0 0 0 0.3 0 0.3 0 0 0 0 0 0 ],B=[ 0 0 0 0 1 ].

通过计算得到

W[ 1, k f ]=[ 26.0191 16.1985 15.0880 15.0880 21.8203 16.1985 25.5318 12.4868 12.4868 18.9419 15.0880 12.4868 22.5427 22.5427 14.4397 15.0880 12.4868 22.5427 22.5427 14.4397 21.8203 18.9419 14.4397 14.4397 24 ]

rank( W[ 1, k f ] )=4 , 根据定理1,我们知道系统(5)在时间区间 [ 1, k f ] 不是相对能控。这样的结果会导致当保定缺货、唐山相对库存量充足时,石家庄无法单独向保定补货而不影响唐山。领导者发出的任何调拨指令都会同时改变两个仓库的状态,导致需求错配和局部过剩和短缺并存。因此,为了使得系统相对能控,我们优化系统的拓扑结构见图1(b)所示。取5→3和4→3的通信权重分别为 w 35 =0.5 w 34 =0.3 ,其余权重和拓扑结构与图1(a)一致。由(6)式得到:

A=[ 0.5 0 0 0 0.5 0.3 0.3 0 0 0 0 0.3 0.8 0 0.5 0 0.3 0.3 0.6 0 0 0 0 0 0 ],B=[ 0 0 0 0 1 ].

通过计算得到

W 1 [ 1, k f ]=[ 0.2058 0.0139 0.0257 0.0344 0.1584 0.0139 0.0962 0.00068 0.0019 0.0902 0.0257 0.00068 0.00229 0.0191 0.0052 0.0344 0.0019 0.0191 0.0294 0.0020 0.1584 0.0902 0.0052 0.0020 0.2618 ]

rank( W[ 1, k f ] )=5 ,由定理1可知系统(5)在时间区间 [ 1, k f ] 是相对能控。优化之后的拓扑结构成功化解因保定缺货、唐山相对库存量充足时,石家庄无法单独向保定补货而不影响唐山的问题。假设各个城市仓库货物初始相对存量服从函数:

φ( k )= [ 20k k 8 80k 40k 2 k ] , k m 0 ,

系统要达到的目标状态值为: x f = [ 100 100 100 80 50 ] 。由定理1可知,构造外部控制输入:

Figure 2. The trajectory of the agent

2. 智能体的运行轨迹

u * ( j1 )= B T e m A T ( k f mj ) W 1 [ 1, k f ]( e m A k f φ( m )+ j=m+1 0 e m A( k f mj ) Δφ( j1 ) x f ).

图2的仿真实验结果显示预期目标与理论推导一致,从而验证了理论的可靠性。系统目标状态值

x f = [ 100 100 100 80 50 ]

其中 x i = 实际库存量 − 安全库存量, 正值表示库存过剩,负值表示缺货风险。

:仿真图2的智能体状态的负值表示此时仓库库存出现缺货风险,正值表示此时仓库库存过剩。

5.2. 系统在不同网络通信模式条件下的相对能控性

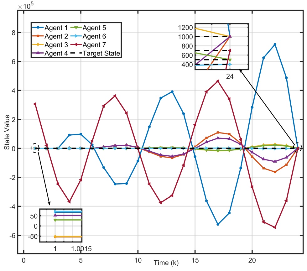
长三角地区以全国4%的土地贡献了约四分之一的全国电商交易额,坐拥上海、杭州、苏州等多个万亿级消费城市,形成了全球罕见的高密度、高净值市场集群。尽管拥有上海港、宁波舟山港等全球顶尖的“硬实力”基础设施,但各区市、各企业间的数据与流程割裂形成了显著的“软瓶颈”,货物流与信息流的不匹配,正制约着这一世界级电商枢纽向智能化、一体化协同网络演进的步伐。我们把上述复杂的通信结构抽象为如下拓扑结构:上海记为智能体7;南京记为智能体1;杭州记为智能体2;苏州记为智能体3;无锡记为智能体4;合肥记为智能体5;宁波记为智能体6。我们基于领导者–跟随者模型指定上海作为领导者,其余作为跟随者。

假设所有智能体服从动力学(3)式且遵循相互协议(4)式,通过整理得到系统(5)。系统具体拓扑结构见图3(a)所示,其中7→1的通信权重为 w 17 =0.3 ;1→2和1→4的通信权重为 w 21 = w 41 =0.1 ;2→3、2→4和2→5的通信权重为 w 32 = w 42 = w 52 =0.1 ;3→6的通信权重为 w 63 =0.1 ;外部控制输入与领导者之间的通信权重为 c 7 =1 和通信时滞 m=2 。该系统运行终端时刻 k f =24 和系统运行时间区间 [ 1, k f ] 。因此,由(6)式我们得到:

(a) (b)

Figure 3. Topology of the system

3. 系统的拓扑结构

A=[ 0.3 0 0 0 0 0 0.3 0.1 0.1 0 0 0 0 0 0 0.1 0.1 0 0 0 0 0.1 0.1 0 0.2 0 0 0 0 0.1 0 0 0.1 0 0 0 0 0.1 0 0 0.1 0 0 0 0 0 0 0 0 ],B=[ 0 0 0 0 0 0 1 ].

通过计算得到

W[ 1, k f ]=[ 21.2272 11.2879 4.09375 11.2879 4.09375 0.83007 20.6696 11.2879 8.47452 3.49264 8.47452 3.49264 0.72722 11.1942 4.09375 3.49264 1.77312 3.49264 1.77312 0.42117 4.1142 11.2879 8.47452 3.49264 8.47452 3.49264 0.72722 11.1941 4.09375 3.49264 1.77312 3.49264 1.77312 0.42117 4.1142 0.83007 0.72722 0.42117 0.72722 0.42117 0.11432 0.82587 20.6696 11.1942 4.1142 11.1941 4.1142 0.82587 24 ]

rank( W[ 1, k f ] )=5 , 根据定理1,可知系统(5)在时间区间 [ 1, k f ] 不是相对能控。更直观地说,由于没有信息反馈,上海无法得知其指令是否产生了预期效果,也无法纠正因模型误差或外部扰动(如某仓库突发火灾、道路中断)导致的偏差。系统智能体从初始状态出发后的轨迹将失控,无法被驱动到任意期望的目标状态。要使得系统是相对能控,我们做如下优化调整:基于图3(a)的拓扑结构我们取智能体之间的通信都是双向且两个智能体之间的双向通信权重相同。因此,我们得到的拓扑结构见图3(b)所示。由(6)式得到:

A=[ 0.5 0.1 0 0.1 0 0 0.3 0.1 0.4 0.1 0.1 0.1 0 0 0 0.1 0.2 0 0 0.1 0 0.1 0.1 0 0.2 0 0 0 0 0.1 0 0 0.1 0 0 0 0 0.1 0 0 0.1 0 0.3 0 0 0 0 0 0.3 ],

通过计算得到

W 1 [ 1, k f ]=[ 0.25294 20.5161 122.094 20.9107 78.5137 3.33478 0.00305 20.5161 41344.9 241112 41289.1 158838 2689.86 6.58418 122.094 241112 1406891 240782 927054 15348.1 39.8056 20.9107 41289.1 240782 41237.9 158609 2694.09 7.25062 78.5137 158838 927054 158609 610995 9946.16 25.3002 3.33478 2689.86 15348.1 2694.09 9946.16 449.184 1.26960 0.00305 6.58418 39.8056 7.25062 25.3002 1.26960 0.26551 ]

rank( W[ 1, k f ] )=7 , 根据定理1,我们知道系统(5)在时间区间 [ 1, k f ] 是相对能控。具体而言,在任何电商物流系统或复杂多智能体系统中,智能体之间的信息单向通信有可能导致系统是失控。在实践中有必要设计一个信息反馈机制才能使得系统平稳有效运行。假设各个城市仓库货物初始相对存量服从函数:

φ( k )= [ 20k 50 k 2 30 k 4 90k 10 2 k 60 k 2 70tan( k ) ] , k m 0

系统要达到的目标状态值为:

x f = [ 1000 1000 1000 1000 500 400 700 ] .

由定理1可知,构造外部控制输入:

Figure 4. The trajectory of the agent

4. 智能体的运行轨迹

u * ( j1 )= B T e m A T ( k f mj ) W 1 [ 1, k f ]( e m A k f φ( m )+ j=m+1 0 e m A( k f mj ) Δφ( j1 ) x f ).

图4的仿真实验显示预期目标与理论推导一致,从而验证了理论的可靠性。系统目标状态值

x f = [ 1000 1000 1000 1000 500 400 700 ]

其中 x i = 实际库存量 − 安全库存量,正值表示库存过剩,负值表示缺货风险。

:仿真图4的智能体状态的负值表示此时仓库库存出现缺货风险,正值表示此时仓库库存过剩。

5.3. 系统在网络领导者数量不同条件下的相对能控性

珠三角地区以其占全国不足0.6%的土地,贡献了超全国十分之一的GDP和高比例的电商交易额,是全球电商与供应链创新的核心试验场。区域内形成了深圳、东莞和佛山、广州、珠海和中山等高密度、专业化的产–消–贸一体化城市网络,物理基础设施(如港口、高速)的连接已达到世界级水平。然而,驱动货物流转的需求、库存与产能信息,却因行政与企业间的数据壁垒而严重割裂,这种物理超级连接与数字深层割裂的矛盾,使得该地区庞大的电商网络虽潜力巨大,但其整体协同效率与控制能力远未达上限,亟待通过系统性的结构优化来释放。这正是运用多智能体系统能控性理论,为该区域设计协同物流网络的核心现实背景与价值所在。该区域城市边界模糊,经济一体化程度极高,但产业分工依然明显。这要求物流网络必须实现“多中心协同”,而非单一中心的“辐射式”指挥。我们把上述复杂系统抽象成如下拓扑结构:中山记为智能体1;广州记为智能体2;东莞记为智能体3;深圳记为智能体4;珠海记为智能体5;佛山记为智能体6。我们基于领导者–跟随者模型指定广州作为领导者,其余作为跟随者。

(a) (b)

Figure 5. Topology of the system

5. 系统的拓扑结构

假设所有智能体服从动力学(3)式且遵循相互协议(4)式,通过整理得到系统(5)。系统具体拓扑结构见图5(a)所示,其中1→6和1→5的通信权重为 w 61 = w 51 =0.1 ;5→6和的通信权重为 w 65 =0.1 ;4→6和4→3通信权重为 w 64 = w 34 =0.1 ;3→6和3→2的通信权重 w 63 = w 23 =0.1 ;2→1和2→6的通信权重为 w 12 = w 62 =0.5 ;外部控制输入与领导者之间的通信权重为 c 2 =1 和通信时滞 m=2 。系统运行终端时刻 k f =24 和系统运行时间区间 [ 1, k f ] 。因此,由(6)式得到:

A=[ 0.5 0.5 0 0 0 0 0 0.1 0.1 0 0 0 0 0 0.1 0.1 0 0 0 0 0 0 0 0 0.1 0 0 0 0.1 0 0.1 0.5 0.1 0.1 0.1 0.9 ],B=[ 0 1 0 0 0 0 ].

通过计算得到

W[ 1, k f ]=[ 12.6610 5.10101 0 0 1.09299 4.64484 5.10101 6.43703 0 0 1.64445 3.76746 0 0 0 0 0 0 0 0 0 0 0 0 1.09929 1.64445 0 0 3.70119 1.48297 4.64484 3.76746 0 0 1.48297 95.9872 ]

rank( W[ 1, k f ] )=5 ,根据定理1,我们知道系统(5)在时间区间 [ 1, k f ] 不是相对能控。具体来说是因为单个领导者模型容易造成领导者发出的指令无法被跟随者有效获取,即导致广州发出的指令有些城市无法收到指令而导致系统失控。为了改变这一局面,我们增加深圳作为领导者,即 w 64 = w 34 =0.5 c 4 =1 。其通信结构和对应的通信权重与上述结构一致。因此,我们得到的拓扑结构见图5(b)所示。由(6)式得到:

B=[ 0 1 0 1 0 0 ], W 1 [ 1, k f ]=[ 2.45076 38.9485 10.3939 39.1828 9.05661 0.00334 38.9485 842.462 209.671 846.707 192.759 0.11304 10.3939 209.671 53.1116 210.914 48.1714 0.02706 39.1828 846.7078 210.914 851.219 193.599 0.11371 9.05561 192.769 48.1714 193.599 44.5551 0.02802 0.00334 0.11304 0.02706 0.11371 0.02802 0.00009 ]

rank( W[ 1, k f ] )=6 , 根据定理1,可知系统(5)在时间区间 [ 1, k f ] 是相对能控。具体而言,相较于单一领导者模型,多领导者模型能有效规避因单点指令失效导致的全局控制盲区。以珠三角地区为例,深圳作为区域领导者之一,不仅能显著分流广州的物流调度压力,更能通过跨域协同,增强区域物流网络的整体韧性,从而系统性提升珠三角电商物流的运行效率与响应敏捷度。假设各个城市仓库货物初始相对存量服从函数:

φ( k )= [ 100k 80 k 2 60k 40k 30 2 k 50 k 2 ] , k m 0 .

系统要达到的目标状态值为: x f = [ 0 0 0 0 0 0 ] 。由定理1可知,构造外部控制输入:

Figure 6. The trajectory of the agent

6. 智能体的运行轨迹

u * ( j1 )= B T e m A T ( k f mj ) W 1 [ 1, k f ]( e m A k f φ( m )+ j=m+1 0 e m A( k f mj ) Δφ( j1 ) x f ).

图6的仿真实验显示预期目标与理论推导一致,从而验证了理论的可靠性。系统目标期望值

x f = [ 0 0 0 0 0 0 ]

其中 x i = 实际库存量 − 安全库存量,正值表示库存过剩,负值表示缺货风险。

:仿真图6的智能体状态的负值表示此时仓库库存出现缺货风险,正值表示此时仓库库存过剩。

6. 结论

本文研究了具有通信时滞离散时间多智能体系统在多种电商物流网络模式下的相对能控性。基于Gramian型矩阵判据分析了系统在不同网络拓扑结构、通信模式及领导者数量配置下的相对能控性。针对非相对能控的情形,提出了相应的优化方案,并通过数值仿真实验验证了方案的有效性与理论可靠性。后续研究将进一步探讨通信时滞对不同电商物流网络模式下系统相对能控性的影响。

参考文献

[1] Gupta, A. (2014) E-Commerce: Role of E-Commerce in Today’s Business. International Journal of Computing and Corporate Research, 4, 1-8.
[2] Madanchian, M. (2024) The Role of Complex Systems in Predictive Analytics for E-Commerce Innovations in Business Management. Systems, 12, Article 415. [Google Scholar] [CrossRef
[3] Song, Z., Sun, Y., Wan, J., Huang, L. and Zhu, J. (2019) Smart E-Commerce Systems: Current Status and Research Challenges. Electronic Markets, 29, 221-238. [Google Scholar] [CrossRef
[4] Wang, S., Wan, J., Zhang, D., Li, D. and Zhang, C. (2016) Towards Smart Factory for Industry 4.0: A Self-Organized Multi-Agent System with Big Data Based Feedback and Coordination. Computer Networks, 101, 158-168. [Google Scholar] [CrossRef
[5] Xu, L., Proselkov, Y., Schoepf, S., Minarsch, D., Minaricova, M. and Brintrup, A. (2023) Implementation of Autonomous Supply Chains for Digital Twinning: A Multi-Agent Approach. IFAC-PapersOnLine, 56, 11076-11081. [Google Scholar] [CrossRef
[6] Kalman, R. (1960) On the General Theory of Control Systems. Proceedings of the 1st International Conference on Automatic Control, Moscow, 27 June-7 July 1960, 481-492.
[7] Tanner, H.G. (2004) On the Controllability of Nearest Neighbor Interconnections. 2004 43rd IEEE Conference on Decision and Control (CDC), Nassau, 14-17 December 2004, 2467-2472. [Google Scholar] [CrossRef
[8] 马兢, 何雪莉, 董经华. 自适应多智能体协同与跨模态可解释问答系统探索与应用[J]. 电信工程技术与标准化, 2025, 38(10): 63-68+87.
[9] 娄陈, 杨光. 多智能体系统在变电站协同控制中的应用[J]. 集成电路应用, 2025, 42(9): 338-339.
[10] 古明生. 多模态数据融合与大模型驱动的智能体系统在智慧城市中的应用研究[J]. 长江信息通信, 2025, 38(8): 231-233.
[11] Diblík, J. and Khusainov, D. (2006) Representation of Solutions of Discrete Delayed System x(k + 1) = Ax(k) + Bx(km) + f(k) with Commutative Matrices. Journal of Mathematical Analysis and Applications, 318, 63-76. [Google Scholar] [CrossRef
[12] Si, Y., Fečkan, M., Wang, J. and O’Regan, D. (2021) Relative Controllability of Delay Multi‐Agent Systems. International Journal of Robust and Nonlinear Control, 31, 4965-4993. [Google Scholar] [CrossRef