微生物处理时间对生物炭吸附CO2性能的影响
The Influence of Microbial Treatment Time on the CO2 Adsorption Performance of Biochar
DOI: 10.12677/ije.2026.151002, PDF, HTML, XML,    科研立项经费支持
作者: 庄鑫恒, 陈昱璇, 邵音子, 张世盛, 蒋仔涵, 朱迎晨, 曹澄澄:徐州工程学院环境工程学院,江苏 徐州
关键词: 生物炭微生物处理吸附CO2Biochar Microbial Treatment Adsorption CO2
摘要: 为提高竹炭对CO2的吸附能力,使用厌氧微生物对竹炭进行处理,研究微生物处理时间(1~4周)对生物炭孔隙结构及吸附CO2性能的影响。结果表明,微生物处理能够明显改善生物炭的孔隙结构,处理2周后比表面积由182.36 m2/g提高至288.93 m2/g。然而过长的处理时间会导致比表面积有所下降,处理4周后MBC-4的比表面积降至121.10 m2/g。微生物处理后生物炭表现出较佳的CO2吸附性能,吸附量由42.36 mg/g可提高至48.28 mg/g,相较于原始竹炭增加了14%。通过伪一级和伪二级动力学模型研究了生物炭对CO2的吸附过程,发现伪二级动力学模型能更好的描述生物炭对CO2的吸附,表明生物炭对CO2的吸附除了物理吸附外,还存在化学吸附。吸附等温线拟合结果显示Langmuir模型对生物炭吸附CO2的拟合优于Freundlich模型。
Abstract: To enhance the CO2 adsorption capacity of bamboo biochar, anaerobic microorganisms were used to treat bamboo biochar. This study investigated the effects of microbial treatment time (1-4 weeks) on the pore structure of biochar and its CO2 adsorption performance. The results showed that microbial treatment significantly improved the pore structure of biochar: after 2 weeks of treatment, the specific surface area increased from 182.36 m2/g to 288.93 m2/g. However, an excessively long treatment time led to a decrease in the specific surface area; after 4 weeks of treatment, the specific surface area of MBC-4 dropped to 121.10 m2/g. After microbial treatment, the biochar exhibited better CO2 adsorption performance, with the adsorption capacity increasing from 42.36 mg/g to 48.28 mg/g, representing a 14% increase compared to the original bamboo biochar. The adsorption process of CO2 by biochar was studied using pseudo-first-order and pseudo-second-order kinetic models. It was found that the pseudo-second-order kinetic model could better describe the CO2 adsorption by biochar, indicating that in addition to physical adsorption, chemical adsorption also occurred in the CO2 adsorption process by biochar. In addition, the Langmuir model is more suitable for fitting the adsorption of CO2 by biochar than the Freundlich model.
文章引用:庄鑫恒, 陈昱璇, 邵音子, 张世盛, 蒋仔涵, 朱迎晨, 曹澄澄. 微生物处理时间对生物炭吸附CO2性能的影响[J]. 世界生态学, 2026, 15(1): 9-16. https://doi.org/10.12677/ije.2026.151002

1. 引言

随着工业发展,大气中二氧化碳浓度持续升高,加剧了温室效应,对全球的生态系统和环境都造成了威胁。为了改变这种趋势,开发高效、低成本的CO2捕集技术成为当前的研究热点。相对于吸收、膜分离和低温蒸馏等CO2捕集技术,吸附法在技术和经济方面均具有明显的优势[1]。吸附剂的选择是影响吸附法的关键,在众多吸附剂中,生物炭因其优异的结构和表面化学性质,在CO2吸附方面具有巨大的潜力。生物炭原材料来源广泛,且制备方法简便,在生物质热解过程中形成的孔隙结构和表面官能团是影响生物炭吸附CO2的主要因素。为提高生物炭的吸附性能,常采用物理或化学法对生物炭进行改性,改善其孔隙结构、提高比表面积和优化表面化学性质[2]。此外,生物法在调控生物炭结构方面具有条件温和、成本低的特点,展现出良好的应用潜力,受到越来越多的关注。微生物附着在生物炭表面,可通过代谢的方式改变生物炭原有孔隙结构,从而提高对CO2的吸附能力[3]。然而有关微生物作用时间对生物炭孔隙结构演化规律的研究相对较少。

基于上述背景,本文研究了厌氧微生物处理结合二次热解改性竹子生物炭及其对CO2的吸附性能,一方面评价浸渍时间对生物炭的比表面积、孔径分布、表面官能团和石墨化程度的影响,另一方面研究这些因素对生物炭吸附CO2性能的影响。竹子作为生长迅速的可再生资源,种植面积大、资源丰富[4],是一种良好的生物炭原材料[5]。该研究以竹子为原材料,对于提高生物质资源化利用水平、达成双碳目标具有重要意义。

2. 材料和方法

2.1. 实验材料

将竹子置于马弗炉,在600℃热解3 h制得竹子生物炭,经研磨后过筛获得16~60目的竹炭(BC),备用。高纯CO2由徐州特种气体厂提供。

2.2. 微生物处理生物炭

称取9 g竹炭,用80目尼龙纱网包裹,制成竹炭包,共计4个。将4个竹炭包一并投入厌氧发酵桶中进行微生物处理。厌氧发酵桶中接种厌氧活性污泥,在35℃恒温环境下培养,反应初始阶段pH为7.0。每间隔一周取出一个竹炭包,将竹炭干燥后置于马弗炉中,在400℃下进行二次热解1 h,根据微生物处理时间,将二次热解的生物炭分别命名为MBC-1、MBC-2、MBC-3、MBC-4。

2.3. 表征测试

将样品在150℃下真空脱气2 h,使用比表面积分析仪(北京彼奥德,Kubo-X1000)测试N2吸附–脱附等温线,基于Brunauer-Emmett-Teller理论与密度泛函理论计算生物炭的比表面积和孔径分布。通过傅里叶变换红外光谱仪(赛默飞,IS10)以KBr压片法测试样品的表面官能团。采用拉曼光谱仪(XpoRA, Horiba,日本)对生物炭的无序结构进行测试,用WiRE拉曼软件(3.2版)对500~2000 cm1范围内的拉曼光谱进行曲线拟合。采用元素分析仪(Elementar Vario EL cube,德国)测定生物炭中的碳、氢、氮和硫的含量。

2.4. CO2吸附实验

CO2吸附实验通过热重分析仪(TGA,梅特勒托利多,TGA/DSC 3+)采用重量法测定。测试时称取约10 mg样品置于氧化铝坩埚并移入TGA,在120℃加热30 min以去除样品中水分等杂质,待温度降至实验温度(25℃/45℃)后,通入50 mL/min高纯CO2,维持30 min完成吸附,通过TGA记录样品质量变化,质量增加部分即为吸附的CO2量。采用静态吸附法,利用比表面积分析仪测试生物炭在0℃对CO2的吸附量[6]

3. 结果与讨论

3.1. 生物炭表征

生物炭孔结构参数如表1所示,BC的比表面积为182.36 m2/g,总孔体积和微孔体积分别为0.128 cm3/g和0.085 cm3/g。对生物炭进行微生物处理后,浸渍时间1至3周的样品比表面积均高于BC,分别是266.41 m2/g、288.93 m2/g和264.78 m2/g,表明微生物处理明显改善了生物炭原有孔隙结构,提高了比表面积。然而当浸渍时间延长至第四周,发现MBC-4的比表面积降至121.10 m2/g,较BC下降了33.6%,总孔体积和微孔体积也有所减少,分别降至0.106 cm3/g和0.054 cm3/g。表明长时间的微生物处理不利于生物炭孔隙结构的发育,反而会限制微孔的形成。

孔径分布如图1(a)所示,经过微生物处理1~3周后样品孔径有所减小,微孔明显增多,这可能是由于微生物及其代谢产物在生物炭孔道结构中积累,堵塞了部分较大的孔道所致。然而,微生物处理4周后,生物炭微孔减少孔隙变大。尽管MBC-4的比表面积和微孔体积最低,但是其平均孔径却增大至1.75 nm,这可能与微生物代谢作用有关[7]。有研究表明,微生物通过代谢作用可以分解有机质产生有机酸、酶和

Table 1. Pore structure parameters of biochar

1. 生物炭孔结构参数

样品

比表面积(m2/g)

总孔体积(cm3/g)

微孔体积(cm3/g)

平均孔半径(nm)

N%

C%

H%

S%

BC

182.36

0.128

0.085

1.41

1.2

80.79

1.85

0.80

MBC-1

266.41

0.167

0.137

1.25

0.91

82.72

2.04

0.22

MBC-2

288.93

0.171

0.150

1.18

0.90

82.82

2.09

0.19

MBC-3

264.78

0.165

0.137

1.25

0.84

85.36

1.98

0.20

MBC-4

121.10

0.106

0.054

1.75

0.90

84.82

2.00

0.20

其他代谢产物[8],具有改变生物炭孔隙的可能性。元素分析表明,微生物处理并进行二次热解后,生物炭的N、S元素含量普遍减小,而C、H元素含量均有所增加。

生物炭的傅里叶变换红外光谱如图1(b)所示,所有生物炭在3435 cm1和1630 cm1都有明显的特征峰,分别对应于O-H和C=O官能团,这与大部分文献结果一致[9] [10]。对比原始生物炭与微生物处理生物炭的红外光谱,发现经过微生物处理后生物炭的部分特征峰有所增强,表明经过微生物处理可提高生物炭表面官能团[11]

图2为生物炭的拉曼光谱,生物炭在1344~1350 cm1和1601~1605 cm1之间存在两个谱带,分别为

Figure 1. (a) Pore size distribution of biochar; (b) Fourier transform infrared spectroscopy of biochar

1. 生物炭的孔径分布(a);生物炭傅里叶红外光谱(b)

Figure 2. Raman spectroscopy of biochar

2. 生物炭拉曼光谱

无序谱带(D谱带)和石墨谱带(G谱带)。通过D与G峰面积比值可评价碳材料的性质,AD/AG比值越高,表明生物炭结构缺陷多;比值越低,表明有序度越高[9]。原始竹炭(BC)的AD/AG为3.15,经过微生物处理后生物炭的AD/AG维持在2.59至3.13之间,表明经过微生物处理后生物炭的无序化程度有所降低。

3.2. CO2吸附

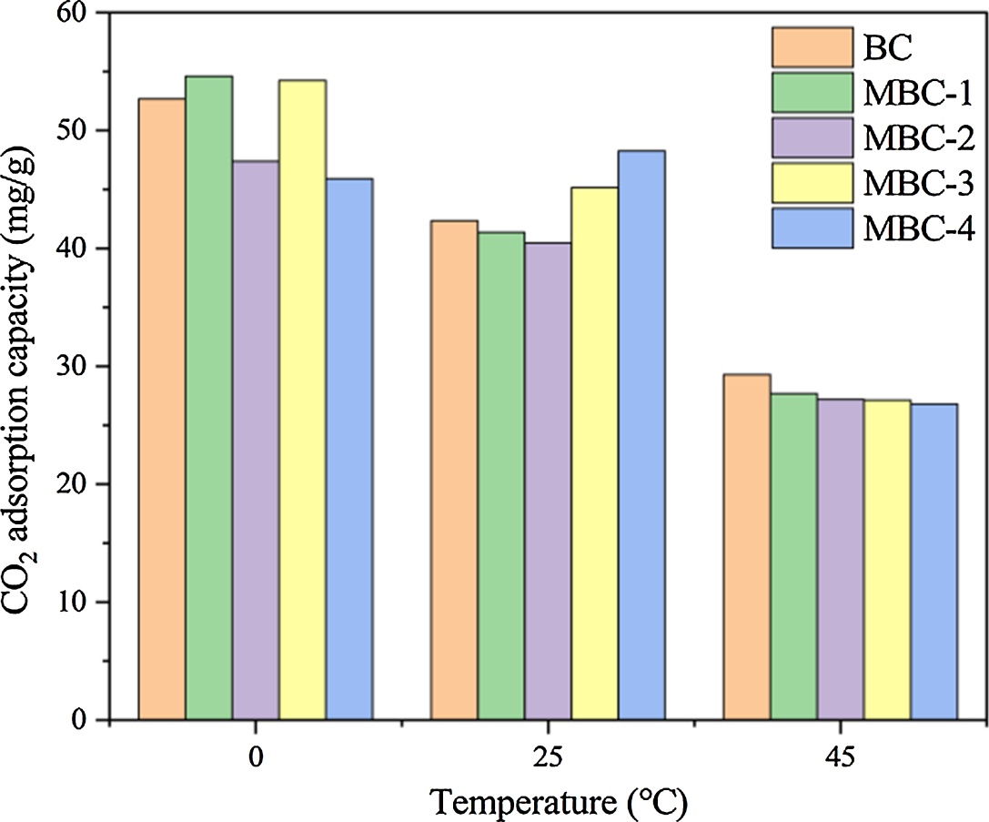
图3展示了不同吸附温度下生物炭对CO2的吸附量。结果表明生物炭在0℃对CO2的吸附量可达到47.40~58.69 mg/g,随着吸附温度升高,生物炭的吸附量总体呈现下降趋势,由此可见,生物炭对CO2的吸附为放热过程,该结论与大部分文献研究结果相一致[12] [13]。在吸附温度为25℃时,BC对CO2的吸附量为42.36 mg/g,而经过微生物处理1~4周的样品吸附量分别为41.36 mg/g,40.47 mg/g,45.18 mg/g和48.28 mg/g。由此可见,延长微生物处理时间,总体表现出有利于提高CO2吸附量的趋势。改性生物炭吸附性能的提升与孔隙结构、表面化学性质等有关。有研究表明N元素含量能够反映生物炭的碱度[12] [14],微生物处理后生物炭的N含量由1.2%下降至0.84%~0.91%,表明生物炭的碱度有所降低。因此,尽管MBC-1和MBC-2的比表面积有所增加,但由于碱度的下降致使其对CO2的吸附量并未增加。另一方面,孔隙对吸附有着重要影响,虽然MBC-4样品的比表面积和微孔体积最小,但是其平均孔径增大至1.75 nm,孔径的增加可使CO2分子在吸附剂孔道中的传质阻力下降,因此促进了对CO2的吸附。

Figure 3. The capacity adsorption of CO2 by biochar at different temperatures

3. 不同温度下生物炭对CO2的容量吸附

3.3. 吸附动力学

采用伪一级和伪二级动力学模型来拟合生物炭吸附CO2过程,结果如表2图4所示。生物炭对CO2吸附过程的伪一级动力学拟合R2分别是0.891 (MBC-1)、0.890 (MBC-2)、0.949 (MBC-3),0.947 (MBC-4)和0.915 (BC),普遍低于伪二级动力学的R2,分别是0.947 (MBC-1)、0.946 (MBC-2)、0.958 (MBC-3),0.957 (MBC-4)和0.925 (BC),可以推测这5种生物炭对CO2的吸附除物理吸附外,还存在化学吸附。

3.4. 吸附等温线

通过Langmuir和Freundlich模型拟合生物炭对CO2的吸附特征,结果如表3图5所示。生物炭

Table 2. Kinetic parameters of CO2 adsorption by biochar at 25˚C

2. 生物炭在25˚C对CO2的吸附动力学参数

生物炭

伪一级动力学 q t = q e ( 1 e k 1 t )

伪二级动力学 q t = t k 2 q e 2 1+t k 2 q e

实验吸附量

(mg/g)

q e (mg/g)

k 1 (1/min)

R2

q e (mg/g)

k 2 (g/mg∙min)

R2

BC

43.07

0.891

0.915

45.18

0.037

0.925

42.34

MBC-1

42.34

0.813

0.891

44.44

0.034

0.947

41.36

MBC-2

41.62

0.790

0.890

43.79

0.033

0.946

40.47

MBC-3

45.77

0.580

0.949

49.09

0.020

0.958

45.18

MBC-4

48.36

0.546

0.947

51.85

0.018

0.957

48.28

Figure 4. Adsorption kinetics of CO2 by biochar at 25˚C

4. 生物炭在25˚C对CO2的吸附动力学曲线

Table 3. Adsorption isotherm parameters of biochar to CO2 at 0˚C

3. 生物炭0˚C吸附CO2等温线参数

Biochar

Langmuir q e = ( b q 0 C e )/ ( 1+b C e )

Freundlich q e = k f C e 1/n

q0 (mg/g)

b (L/mg)

R2

n (mg/g)

kf (L/mg)

R2

BC

68.19

0.049

0.994

2.43

9.14

0.987

MBC-1

63.48

0.049

0.991

2.63

9.68

0.984

MBC-2

53.14

0.073

0.997

2.89

10.17

0.966

MBC-3

62.89

0.051

0.992

2.55

9.22

0.985

MBC-4

56.47

0.063

0.995

2.24

7.60

0.987

Figure 5. Adsorption isotherm curves of biochar to CO2 at 0, (a) Langmuir model; (b) Freundlich model

5. 生物炭在0˚C对CO2的吸附等温曲线,(a) Langmuir模型、(b) Freundlich模型

对CO2吸附采用Langmuir模型拟合R2分别是0.991 (MBC-1)、0.997 (MBC-2)、0.992 (MBC-3),0.995 (MBC-4)和0.994 (BC),普遍高于Freundlich模型的R2,分别是0.984 (MBC-1)、0.966 (MBC-2)、0.985 (MBC-3),0.987 (MBC-4)和0.987 (BC),可推测此类生物炭对CO2的吸附作用倾向于单分子层吸附。

4. 结论

本研究采用厌氧微生物对竹炭进行了处理,研究了微生物作用时间对生物炭孔隙结构的影响以及微生物处理后生物炭对CO2的吸附性能。结果表明,微生物处理对生物炭孔结构有着明显的调控作用,并且处理时间对孔结构有重要影响。微生物处理1~3周后生物炭的比表面积和孔体积有所增加。然而过长的处理时间,会影响孔结构使孔半径增大。此外,微生物处理可影响到生物炭对CO2的吸附量,较短时间的处理不会明显提高对CO2的吸附量,延长处理时间至3~4周,可提高生物炭的吸附性能。MBC-4具有最大的CO2吸附量(48.28 mg/g),较原始生物炭BC (42.36 mg/g)提高了14%。通过吸附动力学模型对CO2吸附过程进行拟合,结果表明生物炭对CO2的吸附除物理吸附外还存在化学吸附。吸附等温线拟合结果显示生物炭对CO2的吸附具有单层吸附特征。

基金项目

江苏省大学生创新创业训练计划项目(xcx2025069)。

参考文献

[1] Hekmatmehr, H., Esmaeili, A., Pourmahdi, M., Atashrouz, S., Abedi, A., Ali Abuswer, M., et al. (2024) Carbon Capture Technologies: A Review on Technology Readiness Level. Fuel, 363, Article ID: 130898. [Google Scholar] [CrossRef
[2] Kumar, P., Singhania, R.R., Sumathi, Y., et al. (2024) Investigating Innovative Techniques for Biochar Modification to Enhance the Removal of Heavy Metals from Aqueous Environments: A Comprehensive Review. Clean Technologies and Environmental Policy, 27, 3271-3293.
[3] Kong, W., Zhang, X., Fu, X., Zhou, C., Fan, L. and Zhang, W. (2024) Biological Pretreatment with White Rot Fungi for Preparing Hierarchical Porous Carbon from Banlangen Residues with High Performance for Supercapacitors and Dye Adsorption. Frontiers in Microbiology, 15, Article 1374974. [Google Scholar] [CrossRef] [PubMed]
[4] Kumar, T., Ansari, S.A., Sawarkar, R., et al. (2025) Bamboo Biochar: A Multifunctional Material for Environmental Sustainability. Biomass Conversion and Biorefinery, 15, 28821-28845.
[5] Yang, E., Yao, C., Liu, Y., Zhang, C., Jia, L., Li, D., et al. (2018) Bamboo-derived Porous Biochar for Efficient Adsorption Removal of Dibenzothiophene from Model Fuel. Fuel, 211, 121-129. [Google Scholar] [CrossRef
[6] Cao, C., Li, R., Dai, H., Zhao, Y., Sun, L., Zhuang, X., et al. (2025) Anaerobic Digestion Enhances the Comprehensive Utilization of Shaddock Peel: Methane Production, Biochar Preparation, and CO2 Capture. Water, Air, & Soil Pollution, 236, Article No. 540. [Google Scholar] [CrossRef
[7] 黄烨, 刘双江, 姜成英. 微生物腐蚀及腐蚀机理研究进展[J]. 微生物学通报, 2017, 44(7): 1699-1713.
[8] Dong, X., Chu, Y., Tong, Z., Sun, M., Meng, D., Yi, X., et al. (2024) Mechanisms of Adsorption and Functionalization of Biochar for Pesticides: A Review. Ecotoxicology and Environmental Safety, 272, Article ID: 116019. [Google Scholar] [CrossRef] [PubMed]
[9] Pan, Z., Qi, G., Zhang, X., Dai, H., Xiang, W., Zhao, Y., et al. (2025) Biological Pretreatment through Anaerobic Digestion for Micro-Mesoporous Biochar Production: Characterization and Environmental Remediation Application. Bioresource Technology Reports, 29, Article ID: 102062. [Google Scholar] [CrossRef
[10] 邵音子, 庄鑫恒, 费希同, 等. 玉米秸秆生物炭掺杂 Pebax1657混合基质膜分离CO2性能[J]. 自然科学, 2025, 13(2): 329-337.
[11] Kayoumu, M., Wang, H. and Duan, G. (2025) Interactions between Microbial Extracellular Polymeric Substances and Biochar, and Their Potential Applications: A Review. Biochar, 7, Article No. 62. [Google Scholar] [CrossRef
[12] Cao, L., Zhang, X., Xu, Y., Xiang, W., Wang, R., Ding, F., et al. (2022) Straw and Wood Based Biochar for CO2 Capture: Adsorption Performance and Governing Mechanisms. Separation and Purification Technology, 287, Article ID: 120592. [Google Scholar] [CrossRef
[13] Cao, W., Xu, H., Zhang, X., Xiang, W., Qi, G., Wan, L., et al. (2023) Novel Post-Treatment of Ultrasound Assisting with Acid Washing Enhance Lignin-Based Biochar for CO2 Capture: Adsorption Performance and Mechanism. Chemical Engineering Journal, 471, Article ID: 144523. [Google Scholar] [CrossRef
[14] Wang, Z., Goyal, N., Liu, L., Tsang, D.C.W., Shang, J., Liu, W., et al. (2020) N-Doped Porous Carbon Derived from Polypyrrole for CO2 Capture from Humid Flue Gases. Chemical Engineering Journal, 396, Article ID: 125376. [Google Scholar] [CrossRef