绿色金融政策对专精特新企业价值的影响研究
Research on the Impact of Green Finance Policies on the Value of Specialized, Refined, Distinctive, and Innovative Enterprises
DOI: 10.12677/jlce.2026.151004, PDF, HTML, XML,   
作者: 廖志高*, 简克蓉:广西科技大学经济与管理学院,广西 柳州;广西新型工业化研究中心,广西 柳州;袁丽雅:广西科技大学经济与管理学院,广西 柳州
关键词: 绿色金融ESG表现企业价值专精特新企业债务融资成本Green Finance ESG Performance Enterprise Value Specialized Sophisticated Distinctive and Innovative Enterprises Debt Financing Cost
摘要: 本研究以2016年我国出台的《关于构建绿色金融体系的指导意见》这一政策作为准自然实验,基于2010~2024年A股上市专精特新企业数据样本,采用双重差分法实证检验绿色金融对企业价值的影响。研究发现:绿色金融政策能显著提升企业价值,且该效应通过改善ESG表现实现;然而,债务融资成本在促进企业价值提升的过程中,则起到了负向调节作用。在非国有企业和非重污染行业中,绿色金融对其企业价值的促进作用更为显著。据此建议,持续推进绿色金融体系建设,扩大绿色金融供给及对实体经济绿色转型的覆盖范围;金融机构要不断创新绿色金融产品与服务,将ESG表现纳入风控并实施差异化定价;政府需设立引导基金、统一标准及强制披露,降低绿色识别成本与银行风险,助力专精特新企业实现高质量发展。
Abstract: This study takes the promulgation of Guiding Opinions on Establishing a Green Finance System issued by China in 2016 as a quasi-natural experiment. Based on the data sample of specialized, sophisticated, distinctive, and innovative enterprises listed on the A-share market from 2010 to 2024, it empirically tests the impact of green finance on enterprise value by adopting the difference-in-differences (DID) method. The results show that green finance policies can significantly enhance enterprise value, and this effect is achieved through improved ESG performance. However, debt financing cost plays a negative moderating role in the process of promoting enterprise value. Specifically, the promotion effect of green finance on enterprise value is more significant in non-state-owned enterprises and non-heavy-polluting industries. On this basis, this study puts forward the following suggestions: continuously advance the construction of green finance system and expand the supply of green finance as well as its coverage for the green transformation of the real economy; financial institutions should innovate green financial products and services constantly, incorporate ESG performance into risk control and implement differentiated pricing; the government should set up guidance funds, unify standards and enforce mandatory disclosure, so as to reduce green identification costs and banking risks and help specialized, sophisticated, distinctive, and innovative enterprises achieve high-quality development.
文章引用:廖志高, 袁丽雅, 简克蓉. 绿色金融政策对专精特新企业价值的影响研究[J]. 低碳经济, 2026, 15(1): 21-36. https://doi.org/10.12677/jlce.2026.151004

1. 引言

在全球可持续发展趋势和国家“双碳”战略目标的共同推动下,绿色金融改革创新正在成为驱动中国经济高质量前行的核心动力。作为金融服务实体经济的关键创新模式,绿色金融运用系统性制度设计及市场化资源分配手段,引导资金由高污染、高耗能产业向环境友好及技术密集型领域流动,为企业绿色转型赋予强劲动能。

与此同时,以“专业化、精细化、特色化、新颖化”为内核的专精特新企业,不仅是突破关键核心技术、保障产业链安全稳定的生力军,更是制造业高端化、智能化、绿色化转型的核心载体。在政策层面,中国人民银行等七部门联合印发的《关于金融支持新型工业化的指导意见》明确提出,到2027年需建成基本成熟的金融支持体系,重点服务制造业的“高端化、智能化、绿色化”发展。在此背景下,探索绿色金融改革创新如何赋能专精特新企业价值提升,并让专精特新企业在转型中形成竞争力,最终支撑新质生产力发展,不仅关乎微观主体的竞争力重塑,更是推动新质生产力发展和现代化产业体系建设的重要议题。

学者们针对绿色金融支持企业可持续发展的机理、效应与路径展开了多方面探索。从作用机制这一层面来看,绿色金融主要通过引导企业进行技术创新、优化资源配置以及激励低碳转型这三条途径影响企业价值创造。柴尚蕾(2025)提出绿色金融促进区域经济高质量发展,其前提是加速引导产业结构的调整升级[1]

聚焦至企业微观层面,融资约束缓解效应尤为突出:张小可、张居营(2024)通过绿色债券发行的准自然实验证明,绿色金融工具显著降低企业的融资成本,扩大研发投入空间,尤其对技术密集型企业创新活动的促进效果更为显著[2]。而供应链协同优化则是另一关键路径,张世雯(2025)基于供应链金融视角的研究发现,绿色金融可打通产业链信息壁垒,通过提升供应链金融水平,助力企业突破创新资源瓶颈[3]。在碳减排激励方面,杜丽霞(2024)指出绿色金融政策通过环保投资对企业价值产生异质性影响,且该效应受企业环境管理能力与治理结构的显著调节[4]。此外,孙芳城(2024)进一步揭示,绿色金融改革试验区政策通过强化环境规制与市场监督压力,倒逼制造业企业改善ESG表现,从而获得长期价值溢价[5]

综上所述,2016年《关于构建绿色金融体系的指导意见》的实施为助力专精特新企业价值跃升、服务国家“双碳”战略与制造业高质量发展提供了有效路径。研究表明,绿色金融借助创新性金融工具及政策引导,精准赋能企业ESG治理,进而增强其市场竞争力与长期价值。那么,绿色金融、ESG、债务融资成本与专精特精企业价值之间存在怎样的关系?绿色金融政策对专精特新企业价值的影响机制究竟如何?以往的研究主要聚焦于绿色金融对普通企业ESG表现或创新行为的单一维度影响,或将其作用机制视为“黑箱”。本研究的边际贡献主要有:第一,实证设计更为严谨,控制变量体系更丰富,有效缓解遗漏变量偏差。第二,创新性地引入并验证了ESG中介驱动作用及债务融资成本的负调节作用。

2. 理论分析与研究假设

2.1. 绿色金融政策对企业价值的直接影响

《指导意见》指出,构建绿色金融体系的主要目的是动员和激励更多社会资本投入到绿色产业,同时绿色产业是《指导意见》明确支持的绿色金融服务对象,包括环保、节能、清洁能源、绿色交通、绿色建筑等领域。绿色产业采用环保技术、创新科技,有效节约原材料使用成本,提高资源利用率与废弃资源再利用率,进而提高企业的生产效率与经济效益。具体而言,绿色金融政策提升企业价值,主要是利用以下三条传导路径达成目标:

第一,减轻企业绿色转型面临的资金压力。政策通过提供专项绿色信贷支撑和利率优惠,降低了企业融资成本;尤其是对污染型企业而言,进行环保技术升级、设备改造的融资难度和成本显著降低,提升了企业投资绿色项目的能力[6]。第二,引导与提升环保投资的效能。试验区政策通过环境信息披露倒逼机制[7],促使重污染企业将获得的绿色资金更有效地用于真正减少污染根源的实质性工程,而不是简单的末端处理[8],从而实现环境效益和经济效益的双赢。第三,重塑金融机构与企业价值共生关系。商业银行积极发展绿色金融业务,扩大绿色信贷规模,不仅有助于降低银行自身的风险,减少不良贷款[9],同时也能通过设定绿色标准或提供更优惠条件,激励和帮助其合作企业提升环境和社会表现。这种互动最终形成了银行经营更稳健、企业融资更便利且绿色转型更顺畅的良性循环[10]。这三条路径共同构成了绿色金融政策推动企业价值增长的核心机制,为实现“双碳”目标下的产业与金融协同发展提供了重要支撑[11]。因此,本文提出:

H1:绿色金融政策能提升企业的价值水平。

2.2. ESG的驱动作用

可持续发展理论强调的三大约束条件为代际公平、环境承载力与经济社会协调。ESG作为针对企业层面的可持续发展度量框架,其环境(E)、社会(S)、治理(G)维度和可持续发展理论的三重底线原则有内在契合。绿色金融政策通过将外部环境成本内部化,引领企业重新定位ESG投入的价值实现逻辑。虽然短期ESG投入可能增加成本,但长期看可通过效率提升、品牌溢价、创新激励等途径提升价值。具体而言,绿色金融改革试验区政策通过多种渠道系统性地促进ESG提升:首先,绿色金融政策构建强制性制度压力[12],倒逼企业治理结构低碳化革新[13]。政策通过环境信息披露强制化、绿色信贷分类标准等规制工具,显著提高“漂绿”行为的社会问责风险[5],迫使重污染企业将环保投入从象征性承诺转向生产流程再造[14];其次,绿色金融释放的定向资源赋能机制,突破清洁技术创新瓶颈[15]。试验区特有的绿色债券发行便利、财政贴息与风险补偿基金[16],有效缓解企业绿色技术研发的债务融资成本[17],尤其通过定向降低清洁技术改造成本[18],使光伏设备更新周期缩短至传统技改的1/3 [19];最后,绿色金融衍生出的声誉认证信号,重构企业价值评估体系。政策背书形成的“绿色认证”效应显著降低ESG优异企业的债务融资溢价,引导机构投资者将碳强度指标纳入估值模型,最终形成“ESG改善→融资成本下降→研发投入增加”的动态强化回路[17]。进一步地,企业优秀的ESG实践能够有效提升其内在价值。这主要通过双重协同路径实现:一方面,ESG有助于企业更高效地开展创新活动[20],引导研发资源投向更具潜力的领域,减少资源浪费[21],从而产出更多有价值的绿色技术成果,将社会责任投入转化为切实的竞争优势。另一方面,ESG表现良好的企业更容易获得市场的积极反馈[22],在资本市场上赢得投资者更多信任,降低其融资成本[23];同时,在消费市场上也更容易塑造负责任的品牌形象,吸引消费者并可能产生品牌溢价[24]。内部创新效率的提升与外部市场认可度的增强,共同构成了ESG驱动企业价值增长的联动机制[25] [26]。基于以上分析,本文提出如下研究假设:

H2:绿色金融政策通过促进ESG提升进而提高企业价值。

2.3. 债务融资成本的调节作用

基于信息不对称理论与债务融资成本理论,债务融资成本可能对绿色金融政策实施效果产生显著影响。一方面,信息不对称让金融机构很难精准判定企业的实际环保投入,有概率造成资金的错配现象;另一方面,较高的债务融资成本可能迫使部分企业为缓解短期压力,牺牲长期的绿色转型。由于政策执行偏差和企业应对能力差异,政策落地过程中可能引发三类问题:第一,合规性套利行为可能稀释政策红利。部分企业通过形式化环保改造获取低息贷款[27],实际资金却用于传统业务扩张[28],导致政策资源未能真正推动绿色转型;第二,融资排斥效应加剧行业分化。高负债的重污染企业因达不到绿色信贷标准,被迫承受更高利率[29],陷入“转不起、贷不到”的困境。这类企业面临环保技改投入与债务负担的双重挤压[30],研究表明其贷款利率较普通企业平均高出近1个百分点,形成“转型越迫切→融资越困难”的恶性循环,典型如制药企业因治污设备成本高昂而放弃绿色贷款申请;第三,信息披露规避策略阻碍政策渗透。部分企业为掩盖环保投入导致的短期利润下滑,选择降低环境信息披露透明度,这反而使得银行因无法评估真实风险而提高贷款利率[31],进而推高银行风险溢价[27]。这三重机制形成债务成本对政策效果的过滤网,使得绿色金融在零售、医药等行业的激励作用呈现明显温差[28],亟需建立与企业负债水平匹配的弹性政策机制。基于以上分析,本文提出如下研究假设:

H3:债务融资成本在绿色金融影响企业价值的过程中起到负向调节的效果。

3. 研究设计

3.1. 样本选取与数据来源

本研究选取华证ESG评级覆盖的A股专精特新企业作为初始样本,并执行以下操作:1) 排除金融行业上市公司及ST、*ST的企业;2) 剔除核心变量存在缺失值的观测值;3) 对连续型变量在1%和99%分位数上进行缩尾处理以控制极端值影响;4) 仅保留2010~2023年间可在中国研究数据服务平台(CNRDS)获取专利申请信息的企业。最终获得1977个有效观测值。

3.2. 变量设定

3.2.1. 被解释变量

企业价值(TobinQ)。本研究借鉴董志伟[32]的做法选取托宾Q值即企业总资本的市场价值与企业总资产之间的比值代表企业价值。

3.2.2. 核心解释变量

绿色金融政策(Treat × Post)。本文构建了政策虚拟变量(Treat)与时间虚拟变量(Post)的交乘项(Treat × Post),作为核心解释变量。评估2016年8月多部门联合发布的《关于构建绿色金融体系的指导意见》的政策效应,核心解释变量为企业属性与时间的交互项(Policy × Time)。其中,Policy为分组虚拟变量,DID处理组的设置逻辑参考了He和Liu (2018)的经典做法,核心依据是政策的明确支持方向——《指导意见》明确把节能环保、清洁能源、绿色交通、绿色建筑等领域作为支持核心,所以直接将从事这些环保、绿色相关业务的专精特新企业划为处理组(直接受政策冲击),其他非绿色业务的专精特新企业作为控制组(不受政策直接冲击);Time为时间虚拟变量,2016年政策实施及以后年份取值为1,2016年之前年份取值为0。

3.2.3. 机制变量

1) ESG综合得分。本文选取Wind数据库中华证ESG综合评分作为解释变量。该评分体系借鉴国际主流ESG框架,同时结合中国资本市场特点、政策要求及企业实际ESG表现,全面覆盖我国A股市场及债券发行主体。

2) 债务融资成本(COST)。借鉴陶云清等(2023)的衡量方式[33],用财务费用占总负债的比重衡量债务融资成本。

3.2.4. 控制变量

参考既有文献[34],本文在回归模型中引入以下控制变量以缓解遗漏变量偏误:① 企业规模(SIZE),以期末总资产的自然对数度量,反映企业资源禀赋及其对企业价值的潜在影响;② 偿债能力(LEV),以资产负债率(总负债/总资产)表示,该指标直接影响财务杠杆与企业风险,可能对企业价值产生显著作用;③ 股权集中度(TOP10):前十大股东持股数/总股数;④ 企业年龄(AGE):以当年年份与企业上市年份之差取自然对数衡量,用于控制企业所处生命周期阶段带来的异质性。⑤ 盈利能力(ROA):净利润与平均资产总额的比值;⑥ 两职合一(DUAL):董事长和总经理由一人担任的赋值为1;否则为0。具体变量信息见表1

Table 1. Variables

1. 变量

变量

名称

符号

说明

被解释变量

企业价值

TobinQ

托宾Q值

解释变量

绿色金融政策

Treat × Post

政策试点时间虚拟变量和政策试点区域虚拟变量的交乘项

中介变量

企业ESG表现

ESG

华政ESG评分

调节变量

债务融资成本

COST

下一期企业财务费用占期末总负债的比重

控制变量

企业规模

SIZE

ln(企业年末总资产)

偿债能力

LEV

资产负债率(流动资产与流动负债的比值)

股权集中度

TOP10

前十大股东持股数/总股数

企业年龄

AGE

ln(当年年份 − 企业上市年份)

盈利能力

ROA

净利润与平均资产总额的比值

经济发展水平

GDP

ln(地区生产总值)

产业结构高度化

CYJG

三大产业增加值占GDP比重之和

两职合一

DUAL

董事长和总经理由一人担任的赋值为1;否则为0

3.3. 模型构建

为探究绿色金融政策与企业价值之间的作用机制,本文构建如下双重差分模型进行实证检验:

Tobin Q i,t = α 0 + α 1 trea t i ×pos t t + α 2 control s i,t + δ i + μ t + ε i,t (1)

其中: trea t i ×pos t t 为交乘项,是本研究的解释变量,表示绿色金融政策。TobinQ表示企业价值,Controls代表一系列控制变量,δi表示个体固定效应,μt为时间固定效应;εi,t为随机误差项。α1为绿色金融政策的估计系数,即政策实施效应,若回归得到的估计值α1显著大于零,则表明绿色金融政策对企业价值存在显著促进作用。

4. 实证结果与分析

4.1. 描述性统计

使用Stata 16.0对样本进行描述性统计,结果如表2所示。TobinQ的最大值与最小值差异显著,反映出样本在企业价值方面具有较好的变异性;同时,其标准差较小,说明均值具备较高的代表性。交互项Inter的均值为0.0546,表明实验组与对照组在政策冲击前后样本分布较为稳定,满足平行趋势假设的基本要求,有助于缓解遗漏变量偏误。其余控制变量的统计特征与既有文献报告结果一致,样本结构合理。

Table 2. Descriptive statistics

2. 描述性统计

VarName

Obs

Mean

SD

Min

Median

Max

TobinQ

1997

2.2734

1.3598

0.7675

1.9068

22.5725

Inter

1997

0.0546

0.2272

0.0000

0.0000

1.0000

Esg

1997

4.2933

0.0614

3.9303

4.2974

4.4743

Cost1

1997

−0.0042

0.0457

−0.1697

0.0069

0.0700

Size

1997

21.3846

0.7673

19.6263

21.2976

25.2418

Top

1997

0.3110

0.1272

0.0000

0.3008

1.0000

Lev

1997

0.3379

0.1932

−0.2147

0.3242

2.6960

Roa

1997

0.0387

0.0786

−0.8944

0.0433

0.5956

Age

1997

1.6440

0.6390

0.6931

1.6094

3.4657

Dual

1997

0.4487

0.4975

0.0000

0.0000

1.0000

4.2. 多重共线性检验

在回归分析前,本文对所有解释变量进行了方差膨胀因子(VIF)检验,结果如表3所示,可知各变量VIF值均低于10,表明模型不存在严重的多重共线性问题。

Table 3. VIF test

3. VIF检验

Variable

VIF

1/VIF

Age

1.320

0.755

Lev

1.270

0.788

Size

1.270

0.789

Roa

1.260

0.791

Top

1.110

0.900

Dual

1.030

0.968

Mean

VIF

1.210

4.3. 基准回归

基准回归估计结果见表4。列(1)展示了仅包含绿色金融政策变量与企业价值的简约回归结果,列(2)进一步加入了全部控制变量。实证结果表明,未引入控制变量,绿色金融政策变量均在5%水平上对企业价值产生显著正向影响,引入控制变量后,绿色金融政策变量均在1%水平上对企业价值产生显著正向影响,初步支持了假设H1,即绿色金融改革创新试验区的设立有助于提升企业价值。此外,其他控制变量的系数符号与既有文献基本吻合,表明变量选取较为合理。

Table 4. Benchmark regression results

4. 基准回归结果

(1)

(2)

TobinQ

TobinQ

Inter

0.3328**

0.4720***

(2.286)

(3.340)

Size

−0.7000***

(−10.109)

Top

−1.1256**

(−2.575)

Lev

0.1336

(0.736)

Roa

1.7778***

(5.171)

Age

0.9094***

(7.558)

Dual

−0.0077

(−0.112)

_Cons

2.5924***

16.7783***

(14.135)

(11.605)

FE

Yes

Yes

Year

Yes

Yes

R2

0.6608

0.6890

4.4. 稳健性检验

4.4.1. 更换回归方法

为破除单一模型假设的局限性,验证结论是否具有方法论层面的普适性,进而更换为最小二乘法回归方法检验,结果见表5。第(1)列结果显示绿色金融政策(Inter)对企业价值的正向效应依然显著,且控制变量方向一致性佐证基础结论稳健。

4.4.2. 改变样本区间

为增强绿色金融政策与企业价值之间因果推断的稳健性,本研究通过调整样本区间以排除重大外生事件的干扰。考虑到2020年公共卫生事件引发的全国性停工停产可能对企业价值造成异常冲击,为避免这一极端事件对估计结果产生扭曲,本文在剔除2020年样本后重新进行回归分析。表5第(2)列汇报了剔除2020年数据后的估计结果,可以看出绿色金融政策变量的系数仍在1%水平上显著为正,与基准回归结论一致,进一步支持了绿色金融改革对企业价值具有促进效应的研究假设,表明基准结果在不同样本区间下保持稳健。

4.4.3. 增加遗漏控制变量

为更全面地考察企业绩效与宏观经济的关联,本研究在基准模型中进一步引入地区经济发展水平(GDP)和产业结构(CYJG)作为控制变量,以捕捉外部经济环境的影响。表5第(3)列汇报了扩展模型的回归结果。在控制上述宏观因素后,绿色金融政策变量(Inter)的系数符号、显著性水平及正向影响方向均与基准回归保持一致,且在统计上仍显著为正。该结果再次证实假设H1成立,进一步表明绿色金融政策对专精特新企业价值具有稳健的提升效应。

Table 5. Robustness test

5. 稳健性检验

(1)

(2)

(3)

TobinQ

TobinQ

TobinQ

Inter

0.5139*

0.3660**

0.4622***

(1.840)

(2.514)

(3.283)

Size

−0.4849***

−0.7603***

−0.7307***

(−9.920)

(−11.018)

(−10.547)

Top

−0.0723

−1.0487**

−1.3322***

(−0.312)

(−2.379)

(−3.044)

Lev

−0.2088

0.0398

0.1193

(−1.412)

(0.218)

(0.660)

Roa

3.3569***

2.2931***

1.6959***

(5.712)

(5.804)

(4.951)

Age

0.4699***

0.8991***

0.9748***

(8.342)

(7.712)

(8.072)

Dual

0.2107***

−0.0410

−0.0131

(3.340)

(−0.596)

(−0.191)

GDP

3.4699***

(4.035)

CYJG

0.9983*

(1.904)

_Cons

11.7117***

17.9758***

−20.2150**

(11.526)

(12.506)

(−2.277)

FE

Yes

Yes

Yes

Year

Yes

Yes

Yes

R2

0.1046

0.7129

0.6926

注:******分别表示在10%、5%、1%水平上显著,下同。

4.4.4. 平行趋势检验

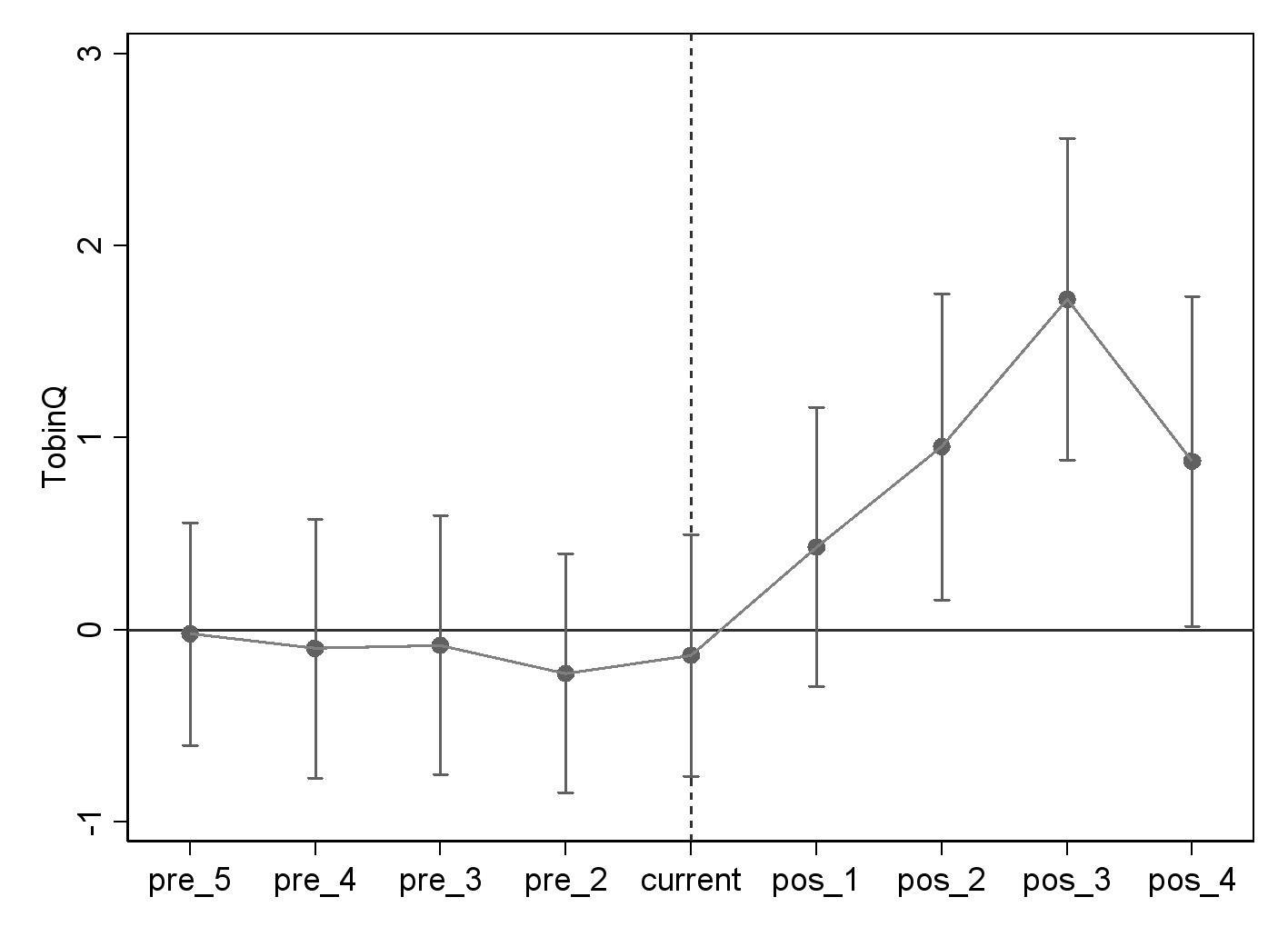
在使用双重差分模型进行政策评估时,需满足平行趋势假设,即处理组与对照组在政策干预前需具有相同的时间变动趋势。本文将2017年界定为政策冲击时点,并通过事件研究法绘制了政策效应动态变化图。图中横轴表示政策实施前后各年份,纵轴为交互项的估计系数及其置信区间。结果显示,政策实施之前各年份的系数置信区间均包含零,而政策实施后置信区间脱离零值范围,表明处理组与对照组在政策前趋势无显著差异,满足平行趋势假设,且绿色金融政策在实施后产生显著积极效应。平行趋势检验结果见图1,在绿色金融政策实施前的五年中,各时点估计系数的置信区间均包含零,表明处理组与对照组在企业价值变动趋势上不存在系统性差异,满足平行趋势假设。政策实施后连续四年中,估计系数均显著大于零,且置信区间脱离零值范围,证实绿色金融改革试验区的设立对企业价值产生了持续且显著的正向促进作用,进一步支持了基准回归结果的可靠性。

Figure 1. Parallel trend test

1. 平行趋势检验

4.4.5. 安慰剂检验

为排除不可观测因素对估计结果的干扰,本文采用随机抽样方法进行安慰剂检验,以增强研究结论的可靠性(如图2所示)。通过随机生成处理组并进行500次抽样回归,重新估计模型,检验结果显示,绝大多数模拟估计系数集中在零值附近,且不具备统计显著性。表明前文所识别出的绿色金融政策效应并非由偶然因素或其他遗漏变量所驱动,从而进一步支持了本研究核心结论的稳健性。

Figure 2. Placebo test

2. 安慰剂检验

5. 进一步分析

5.1. 机制分析

5.1.1. 企业ESG表现

为揭示绿色金融政策影响企业价值的内在渠道,本文借鉴江艇(2022)提出的因果推断步骤,对企业ESG表现和绿色技术创新的中介机制进行检验[35],并构建了以下中介模型。

ES G i,t = ρ 0 + ρ 1 trea t i ×pos t t + ρ 2 control s i,t + δ i + μ t + ε i,t (2)

Tobin q i,t = β 0 + β 1 ES G i,t + β 2 control s i,t + δ i + μ t + ε i,t (3)

其中, ES G i,t 代表企业ESG表现,用华证ESG评级衡量。

Table 6. Mechanism testing

6. 机制检验

(1)

(2)

TobinQ

ESG

Inter

0.4720***

0.0184**

(3.340)

(2.247)

Size

−0.7000***

0.0157***

(−10.109)

(3.927)

Top

−1.1256**

0.0619**

(−2.575)

(2.451)

Lev

0.1336

−0.0412***

(0.736)

(−3.920)

Roa

1.7778***

−0.0356*

(5.171)

(−1.791)

Age

0.9094***

−0.0258***

(7.558)

(−3.716)

Dual

−0.0077

0.0075*

(−0.112)

(1.893)

_Cons

16.7783***

3.9601***

(11.605)

(47.380)

FE

Yes

Yes

Year

Yes

Yes

R2

0.6890

0.4902

机制检验结果见表6,政策变量(Inter)的系数在1%水平上显著为正,说明绿色金融政策通过显著提升专精特新企业的ESG表现,进而驱动企业价值增长,证实ESG在“政策–价值”传导链条中发挥关键中介作用。该机制源于三重效应耦合:其一,政策规制效应强制内化环境成本,通过债务融资成本差异化倒逼ESG治理升级;其二,资源重构效应促使企业优化资产配置,降低环境合规风险;其三,市场认可效应将ESG绩效转化为估值溢价,尤其利好治理优化型企业。

5.1.2. 债务融资成本

为了验证债务融资成本在绿色金融政策和企业价值的关系中起调节作用,本文构建以下模型:

Tobin Q i,t = α 0 + α 1 trea t i ×pos t t ×cost+ α 2 control s i,t + δ i + μ t + ε i,t (4)

其中:cost代表债务融资成本,用债务融资成本衡量;treati × postt × cost代表绿色金融政策与债务融资成本的交互项。

Table 7. Analysis of adjustment effects

7. 调节效应分析

(1)

(2)

TobinQ

TobinQ

Inter

0.4720***

0.5935***

(3.340)

(4.327)

Size

−0.7000***

−0.6902***

(−10.109)

(−10.322)

Top

−1.1256**

−1.1523***

(−2.575)

(−2.714)

Lev

0.1336

0.2275

(0.736)

(1.289)

Roa

1.7778***

1.6909***

(5.171)

(5.095)

Age

0.9094***

0.7839***

(7.558)

(6.718)

Dual

−0.0077

0.0015

(−0.112)

(0.023)

Cost1

−2.3718***

(−3.572)

Interaction

−0.3367***

(−10.930)

_Cons

16.7783***

16.5236***

(11.605)

(11.834)

FE

Yes

Yes

Year

Yes

Yes

R2

0.6890

0.7108

为检验债务融资成本在绿色金融政策与企业价值之间的调节效应,本文设定如下交互项模型。表7第(2)列结果显示,绿色金融政策的系数在1%水平上显著为正,与基准结论一致。第(2)列进一步加入了债务融资成本与政策变量的交互项,其估计系数在1%水平上显著为负,表明债务融资成本强化了政策对企业价值的抑制效应,假设H3得以验证,即较高的债务融资成本会削弱绿色金融对企业价值的促进作用。原因可能是:一方面,高融资成本削弱政策对企业价值的直接提升效果;另一方面,债务负担通过资源挤占效应与政策响应阻滞效应形成传导摩擦,尤其制约高杠杆企业。

5.2. 异质性分析

5.2.1. 产权异质性

为分析企业所有制结构对绿色金融政策效果的异质性影响,本文依据产权性质将样本划分为国有与非国有企业两组进行检验。国有企业因其特殊的产权背景,通常在技术创新路径、治理机制及资源获取(如政府补贴与正规融资)方面与非国有企业存在系统性差异。

Table 8. Analysis of property rights heterogeneity

8. 产权异质性分析

(1)

(2)

国有控股

非国有控股

Inter

0.4477

0.4807***

(1.554)

(2.968)

Size

−0.5891***

−0.7400***

(−4.427)

(−9.108)

Top

−0.1812

−1.4178**

(−0.253)

(−2.463)

Lev

−0.0369

0.2159

(−0.120)

(0.865)

Roa

0.8609

2.0514***

(1.124)

(5.284)

Age

0.7063**

0.9338***

(2.539)

(6.798)

Dual

0.2099

−0.0874

(1.554)

(−1.103)

_Cons

13.5005***

18.0798***

(4.753)

(10.806)

FE

Yes

Yes

Year

Yes

Yes

R2

0.7288

0.6883

表8第(1)和第(2)列汇报了分组回归结果。非国有企业组中,绿色金融政策的估计系数在1%水平上显著为正;而在国有企业组中,系数不显著。这种差异可能源于非国有企业一般会面临更严峻的融资方面的约束,绿色金融政策可给其提供具有关键意义的边际效用、更显著的融资渠道松绑,而且它对市场的反应更灵敏,治理结构更易于把政策红利高效转变为企业价值;相比之下,国有企业自身的融资渠道大体是畅通的,政策支持更类似“美上加美”,其边际上的效用不明显,再加之决策链条长且代理问题复杂,以及对现有政府支持的依赖,降低了政策效果向企业价值转化的显著性。

5.2.2. 行业异质性

Table 9. Analysis of heterogeneity in polluting industries

9. 污染行业异质性分析

(1)

(2)

污染行业

非污染行业

Inter

−0.0470

0.6103***

(−0.165)

(3.485)

Size

−0.7582***

−0.7095***

(−6.983)

(−8.050)

Top

−0.8901

−1.0551**

(−0.949)

(−2.095)

Lev

1.0999***

−0.0339

(2.721)

(−0.162)

Roa

1.4509**

2.1222***

(2.295)

(5.065)

Age

1.1594***

0.8812***

(4.658)

(6.338)

Dual

0.2473**

−0.1069

(2.095)

(−1.305)

_Cons

17.8720***

16.9529***

(7.994)

(9.221)

FE

Yes

Yes

Year

Yes

Yes

R2

0.7112

0.6891

表9第(1)、(2)列的异质性分析揭示了绿色金融政策对企业价值影响的行业异质性。在非重污染行业,政策变量系数为0.6103且在1%水平上显著;而在重污染行业,政策变量系数不显著。这一差异可从政策作用机制的角度得到解释。对非重污染行业而言,绿色金融政策通过提供资金支持,帮助企业将既有的绿色技术优势转化为市场竞争力和经济效益;而对重污染行业,由于其面临更严格的环境规制和转型压力,获得的绿色资金主要用于满足基础合规要求,难以在短期内形成差异化竞争优势。同时,市场对两类企业的绿色创新也存在差异化认知,对非重污染企业的绿色创新视为价值创造,而对重污染企业的同类投入则更多视为合规成本。这种认知差异进一步强化了政策效果的分化,导致绿色金融政策的价值提升作用在非重污染行业中更为显著。

6. 研究结论与建议

6.1. 研究结论

本文把实现政策有效性评估和企业转型路径识别作为目标,将2011~2024年我国A股上市的专精特新企业作为样本面板数据,评估了绿色金融政策对专精特新企业价值的影响及作用机制效果,实证发现:第一,绿色金融对企业价值存在明显的促进效果。第二,ESG表现是关键传导机制。绿色金融政策通过环境规制、信贷定向支持等工具,倒逼企业重新配置资源以满足绿色合规要求。专精特新企业为获取合法性认同,需主动提升ESG表现,从而降低政策合规风险,增强市场公信力。第三,债务融资成本发挥了负向调节作用。本文首次将债务融资成本纳入绿色金融与企业价值关系的研究框架,实证结果揭示了政策虽好,但融资成本若升高会削弱其效果,破解了“绿色金融如何生效”的黑箱机制,并警示融资成本管控的必要性。第四,绿色金融对专精特新企业价值的促进效应存在异质性特征。该效应在非国有制企业以及非污染行业企业更显著。

6.2. 研究建议

结合前面所作分析,提出以下的政策建议:

首先,需不断推进绿色金融体系搭建,着重促进绿色金融产品及服务的创新,增加绿色金融产品的市场供应规模,加宽服务实体经济绿色转型的覆盖范围,积极着手研发碳期货、碳期权等新型绿色金融衍生工具,探索建立多样化、多层次的绿色金融市场产品格局。

其次,金融机构需深化绿色金融产品创新,将技术创新质量纳入信贷决策体系,对高质量绿色创新活动提供更优惠的融资条件。企业应当将绿色技术创新纳入核心战略,注重创新的实质性和前瞻性,同时加强环境信息披露,主动向市场传递创新价值信号。各方主体应共同努力,从“规模导向”转向“质量导向”,构建有利于高质量绿色技术创新的生态系统。金融机构还应将ESG表现纳入风控模型,实施浮动利率,实现“以价促改”,开发环境权益质押、知识产权质押、绿色供应链金融等产品,破解抵押品不足难题。

再次,政府应设立绿色贷款贴息基金与风险补偿基金,直接降低企业成本,提升银行容忍度,并统一绿色标准,强制ESG信息披露和环境压力测试,降低识别成本。

最后,污染行业因转型成本高、技术路径不明而效果不显著。建议设立国家级/省级“传统产业绿色转型基金”,通过长期低息贷款或股权投资支持钢铁、建材、化工等行业技术改造与设备更新。国有企业因考核机制缺陷和预算软约束而激励不足,应强化负责人绿色考核,将ESG表现、减排目标及研发投入纳入年度与任期考核,与薪酬任免强力挂钩。

NOTES

*通讯作者。

参考文献

[1] 柴尚蕾, 周倩倩, 魏伟. 绿色金融政策对产业结构转型升级的影响研究——基于绿色金融改革创新试验区的准自然实验[J]. 煤炭经济研究, 2025, 45(3): 67-77.
[2] 张小可, 张居营. 绿色金融如何影响绿色企业的技术创新?——基于绿色债券发行的准自然实验[J]. 企业经济, 2024, 43(1): 139-149.
[3] 张世雯, 陈爱东. 绿色金融改革创新、新质生产力与产业链供应链现代化[J]. 统计与决策, 2025, 41(15): 127-132.
[4] 杜丽霞. 绿色金融、环保投资与企业价值——基于企业异质性的考察研究[J]. 财会通讯, 2024(23): 78-81.
[5] 孙芳城, 何雨恬. 绿色金融改革创新与制造业ESG表现[J]. 贵州财经大学学报, 2024(5): 28-37.
[6] 何美璇, 周权, 王韶华. 绿色信贷政策能否提高重污染企业绩效? [J]. 生态经济, 2025, 41(2): 171-179.
[7] 华岳, 刘英杰, 逯建. 绿色信贷政策与污染企业绩效: 投债务融资成本与内部控制视角[J]. 技术经济, 2025, 44(1): 140-154.
[8] 陈志刚, 弓怡菲. 绿色金融对企业绩效的影响及机制分析[J]. 经济与管理评论, 2022, 38(5): 72-85.
[9] 陈建华, 胡莲洁. 绿色信贷发展对商业银行财务绩效影响的实证研究[J]. 财经理论与实践, 2022, 43(4): 89-95.
[10] 涂强, 李慧哲, 李向前. 绿色金融改革创新试验区提升绿色企业价值研究[J]. 财经理论与实践, 2023, 44(5): 12-18.
[11] 王宏涛, 马妍, 王一鸣, 等. 商业银行履行社会责任与银行企业价值——基于绿色金融视角[J]. 南方金融, 2023(2): 21-35.
[12] 吴裕晴, 黄思洁. 绿色金融政策、制度压力与企业ESG表现[J]. 统计与决策, 2025, 41(13): 153-157.
[13] 徐维军, 王昕. 绿色金融影响下的重污染企业ESG战略: 实质性改革还是“漂绿”? [J]. 财经理论与实践, 2025, 46(2): 2-9.
[14] 程庆庆, 刘志铭. 绿色金融政策对污染企业ESG绩效的影响——来自中国工业企业的证据[J]. 学术研究, 2024(2): 101-109.
[15] 曹梦君, 柴尚蕾, 周倩倩, 等. 绿色金融发展是否提高了企业ESG表现?——基于我国上市公司的经验证据[J]. 西安理工大学学报, 2024, 40(3): 325-337.
[16] 董雨, 吴心慧, 李周. 绿色信贷能否提升企业ESG表现?——来自中国A股上市公司的经验证据[J]. 南京财经大学学报, 2024(4): 45-55.
[17] 胡剑波, 叶树, 张宽元. 绿色金融政策与企业ESG表现——基于绿色金融改革创新试验区的准自然实验[J]. 金融论坛, 2024, 29(7): 59-69.
[18] 张瑞涵, 周亚虹. 绿色金融、碳排放强度和企业ESG表现——基于上市企业微观数据的实证研究[J]. 社会科学, 2024(3): 126-140.
[19] 石虹, 余少龙. 绿色金融改革创新试验区设立能提高企业ESG表现吗[J]. 金融与经济, 2024(5): 49-59.
[20] 郑君, 李赞. ESG表现对企业价值增长的影响研究[J]. 价格理论与实践, 2024(6): 214-217.
[21] 赵红建, 蒋玉明. 创新投入视角下ESG表现对企业价值的影响研究[J]. 财会通讯, 2025(4): 75-79.
[22] 周悦, 董竹, 周俊良. 我国上市公司ESG表现对企业价值的影响研究[J]. 数量经济研究, 2025, 16(3): 113-135.
[23] 张为国, 解学竟. 行胜于言: 以ESG促进企业价值提升与可持续发展[J]. 财会月刊, 2024, 45(18): 22-35.
[24] 何雨恬, 何建国. ESG表现对商业银行企业价值的影响研究[J]. 会计之友, 2024(19): 37-44.
[25] 刘梦婷, 仲旦彦. 公司ESG表现对零售企业市场价值的影响研究[J]. 商业经济研究, 2025(9): 161-164.
[26] 易闻昱, 杨倩, 张丽琳. ESG表现对企业价值的影响——基于中国沪深A股体育概念上市公司的实证分析[J]. 武汉体育学院学报, 2023, 57(10): 47-54.
[27] 王欣兰, 张勖捷, 王楠. ESG信息披露、债务融资成本与企业绩效——基于医药制造业上市公司的经验证据[J]. 会计之友, 2023(13): 82-91.
[28] 李金昊, 李刚. 绿色金融改革创新对零售企业债务融资成本的影响——基于绿色金融改革创新试验区的准自然实验[J]. 商业经济研究, 2025(1): 156-159.
[29] 代昀昊, 赵煜航, 雷怡雯. 绿色金融政策会提高企业债务融资成本吗? [J]. 证券市场导报, 2023(4): 33-43.
[30] 苏武俊, 晏青. 债务融资成本、社会责任与企业绩效——基于我国A股上市公司的实证研究[J]. 南方金融, 2020(10): 13-27.
[31] 陈莉. 会计信息透明度、融资成本与企业绩效[J]. 财会通讯, 2017(21): 13-17.
[32] 董志伟, 段志吉, 李云仙. ESG表现对企业价值的影响——基于商业信用与银行信用视角[J]. 科学决策, 2025(7): 131-143.
[33] 陶云清, 李琼琼, 孙楠. 智慧城市建设与企业债务融资成本[J]. 中南财经政法大学学报, 2023(3): 123-135.
[34] 孙莹, 王甜甜. 营商环境改善是否可以提高企业绩效?——基于2008-2020年中国A股上市公司的经验证据[J]. 河海大学学报(哲学社会科学版), 2022, 24(6): 121-128+132.
[35] 江艇. 因果推断经验研究中的中介效应与调节效应[J]. 中国工业经济, 2022(5): 100-120.