轮形符号图时滞神经网络分岔动力学分析
Bifurcation Dynamics Analysis of Wheel-Signed Graph Neural Networks with Time Delay
摘要: 本文研究了在轮形拓扑结构中符号图时滞神经网络的分岔动力学问题。首先,我们采用非线性耦合方式,通过符号连接权重来描述网络的节点间合作与竞争并存的现象。接着,我们以时滞为自由参数,通过分析特征根的分布,分别推导出网络系统在平衡点处局部渐进稳定与Hopf分岔发生的充分条件。最后使用DDE-BIFTOOL软件包进行数值仿真,计算了分岔点处的第一李雅普诺夫系数来判断Hopf分岔的方向和稳定性,以验证理论结果。
Abstract: This paper investigates the bifurcation dynamics of wheel-signed graph neural networks with time delay. First, we adopt a nonlinear coupling method and use signed connection weights to describe the coexistence of cooperation and competition among nodes. Then, taking time delay as the bifurcation parameter, we analyze the distribution of characteristic roots and establish sufficient conditions for both local asymptotic stability and the occurrence of Hopf bifurcation at the equilibrium point. Finally, numerical simulations are carried out by using the DDE-BIFTOOL package, and the first Lyapunov coefficient at the bifurcation point is computed to determine the direction and stability of the Hopf bifurcation, thereby validating the theoretical results.
文章引用:郑晨阳, 孙文. 轮形符号图时滞神经网络分岔动力学分析[J]. 应用数学进展, 2026, 15(2): 257-269. https://doi.org/10.12677/aam.2026.152067

1. 引言

近年来,神经网络非线性动力学的研究已经成为了一个前沿性的课题,其研究方向涉及稳定性、同步性、分岔与混沌等。分岔是指一个动力系统的长期行为模式随着系统中参数的连续变化而发生突然的、定性的改变,而连续变化并引起动力学行为突变的参数称为分岔参数[1]。目前的研究中以时滞作为分岔参数的居多,并且讨论了不同的拓扑结构对时滞神经网络动力学行为产生的影响。例如文献[2] [3]研究了环状耦合结构的时滞神经网络的稳定性和分岔现象,文献[4] [5]研究了星状结构的时滞神经网络分岔动力学行为。相较于简单的拓扑结构,文献[6]提出了一种以星状和环状相混合的结构,这种结构既具有环形结构的高拓扑值也具有星状的强信息集成能力,在此基础上,文献[7]进一步探讨了分数阶微积分对该类型的网络分岔阈值造成的影响。然而现实中的神经网络,节点之间存在着合作或对抗关系,这也是影响整个网络状态的因素之一。

符号图神经网络可以很好地描述节点之间的合作或对抗,目前以同步性研究居多。例如文献[8]在网络中加入了线性连续控制项,研究了区间二分同步问题,文献[9]进一步的考虑了耦合过程中时滞的影响。时滞、耦合强度都可作为自由参数研究分岔问题。文献[10]研究了一类信念动力学问题,并且以耦合强度为自由参数,计算出了发生周期振荡的临界值。

基于以上的论述,本文研究在轮式拓扑结构符号图神经网络中,采用非线性反馈控制,以时滞为自由参数的分岔问题,使用MATLAB软件包[11]进行数值仿真,以验证理论结果。

符号说明: σ( A ) 表示矩阵 A 的谱, τ 表示耦合时滞, Re( ) 表示复数的实部, Im( ) 表示复数的虚部, F C 1 表示函数 F 的一阶导数是连续的。

2. 预备知识与模型描述

2.1. 预备知识

定义1 G=( V,E,C ) 为一个有向符号图,其中 V={ v 1 ,, v n } E C= [ c ij ] n×n ,( c ij c ji ) 分别为节点集,边集以及连接权重所组成的邻接矩阵。若 ( v i , v j )E ,则 c ij 0 ,反之 c ij =0 c ij >0 c ij <0 分别说明两节点之间为合作关系和对抗关系,若 c ij =0 ,则节点 v i 到节点 v j 的方向无连接。

定义2 L=( l ij ) 为Laplace矩阵,其中:

l ij ={ j=1 n | c ij | ,i=j c ij ,ij

简记为 L=diag{ l 1 ,, l n }C l i = j=1 n | c ij |

引理1 [1]对于动力系统 X ˙ = F τ ( X ) X R n τR ,若存在一个平衡点 ( X * , τ 0 ) ,并且满足下列条件:

1) D x F τ 0 ( X * )=0 在虚轴上存在有且仅有一对纯虚根,其余为负实部的根,并且在平衡点邻域内 F τ ( X ) X τ 是解析的;

2) 当 τ 通过 τ 0 时,特征根横穿虚轴,且满足 Re [ dλ dτ ]| τ= τ 0 0

X ˙ = F τ ( X ) 于平衡点 ( X * , τ 0 ) 处出现Hopf分岔。

引理2 [12]:考虑如下的指数型多项式:

G( λ, e λ S 1 ,, e λ S m )= λ n + p 1 ( 0 ) λ n1 ++ p n1 ( 0 ) λ+ p n 0 +[ p 1 ( 1 ) λ n1 ++ p n1 ( 1 ) λ+ p n ( 1 ) ] e λ R 1 + +[ p 1 ( m ) λ n1 ++ p n1 ( m ) λ+ p n ( m ) ] e λ R m .

其中, p j i , R i R ( i=0,1,,m;j=0,1,,n ) R i >0 。当参数 ( R 1 ,, R m ) 的取值改变时,指数多项式 G( λ, e λ S 1 ,, e λ S m ) 在虚平面右半边的零点总阶数会变化当且仅当其零点有穿越虚轴的情况。

引理3 [13]对于参数自治时滞系统族 x ˙ ( t )=L( μ ) x t +f( μ, x t ) ,其中 L( μ ) 为线性部分,若系统在 μ= μ 0 处发生Hopf分岔,对应的线性算子为 A( μ 0 ) ,伴随算子为 A * ( μ 0 ) ,对应于 i ω 0 i ω 0 的特征向量分别为 q( θ ) q * ( θ ) ,且 q * ,q =1 ,令 z( t )= q * , x t ,则限制在中心流形上的规范型为:

z ˙ ( t )=i ω 0 z( t )+ g 20 z 2 2 + g 11 z z ¯ + g 02 z ¯ 2 + g 21 z 2 z ¯ 2 +

第一李雅普诺夫系数为 c 1 ( 0 )= i 2 ω 0 [ g 11 g 20 2 | g 11 | 2 | g 02 | 2 3 ]+ g 21 2 ,记 l 1 =Re( c 1 ( 0 ) ) ,则有:

1) 若 l 1 >0 ,则系统在平衡点处发生亚临界的Hopf分岔,其周期解是不稳定的;

2) 若 l 1 <0 ,则系统在平衡点处发生超临界的Hopf分岔,其周期解是稳定的。

2.2. 模型描述

相较于耦合关系仅体现为单一的合作行为,本文研究如图1所示的包含5个节点的轮形符号图的神经网络,并且引入符号权重以刻画合作与竞争共存关系,分析了两节点之间合作或竞争行为过程中时滞所引起的动力学行为变化,其中实线表示合作关系,虚线表示竞争关系。

Figure 1. Wheel topology structure

1. 轮形拓扑结构

轮形符号图时滞神经网络动力学由如下时滞微分方程描述:

X ˙ ( t )=X( t )+F( X )+U( tτ ), (1)

其中 X( t )= ( x 1 ( t ), x 2 ( t ), x 3 ( t ), x 4 ( t ), x 5 ( t ) ) T 表示每个结点的状态变量,自衰减系数与权重系数设置为1, F( X )= ( f 1 ( x 1 ), f 2 ( x 2 ), f 3 ( x 3 ), f 4 ( x 4 ), f 5 ( x 5 ) ) T 表示每个节点自身的非线性激活函数,需要被设计的控制输入为 U( tτ )= ( u 1 ( tτ ), u 2 ( tτ ), u 3 ( tτ ), u 4 ( tτ ), u 5 ( tτ ) ) T ,表示节点之间的耦合。

现实中,神经网络普遍存在合作与竞争并存的交互模式,相互作用常呈现出非线性特性,单纯的线性耦合难以刻画此类复杂动力学,因此我们考虑如下的非线性耦合方式:

u i ( t )=γ ji c ij ( g i ( x j ( tτ ) )sign( c ij ) g i ( x i ( tτ ) ) ),i=1,2,3,4,5 (2)

γ 表示耦合强度, g i 为每个节点在耦合过程中的非线性激活函数,轮形结构的邻接矩阵 C= [ c ij ] 5×5 为:

C=( 0 c 12 c 13 c 14 c 15 c 21 0 c 23 0 0 c 31 0 0 c 34 0 c 41 0 0 0 c 45 c 51 c 52 0 0 0 )

将(2)代入(1),并展开为时滞微分方程组的形式:

{ x ˙ 1 ( t )= x 1 +f( x 1 )+γ j=2 5 c 1j ( g 1 ( x j ( tτ ) )sign( c 1j ) g 1 ( x 1 ( tτ ) ) ) x ˙ 2 ( t )= x 2 +f( x 2 )+γ j=2,3 c 2j ( g 2 ( x j ( tτ ) )sign( c 2j ) g 2 ( x 2 ( tτ ) ) ) x ˙ 3 ( t )= x 3 +f( x 3 )+γ j=1,4 c 3j ( g 3 ( x j ( tτ ) )sign( c 3j ) g 3 ( x 3 ( tτ ) ) ) x ˙ 4 ( t )= x 4 +f( x 4 )+γ j=1,5 c 4j ( g 4 ( x j ( tτ ) )sign( c 4j ) g 4 ( x 4 ( tτ ) ) ) x ˙ 5 ( t )= x 5 +f( x 5 )+γ j=1,2 c 5j ( g 5 ( x j ( tτ ) )sign( c 5j ) g 5 ( x 5 ( tτ ) ) ) (3)

假设1激活函数满足 f i ( 0 )= g i ( 0 )=0, f i ( 0 )= g i ( 0 )=1, f i ( x ), g i ( x ) C 1

为聚焦于时滞 τ 导致系统稳定性丧失以及Hopf分岔的发生,保证理论分析的清晰性与可处理性,本文以原点 X * =( 0,0,0,0,0 ) 为平衡点对网络系统(3)进行线性化,得到如下线性化方程组:

{ x ˙ 1 ( t )=γ j=2 5 c 1j ( x j ( tτ )sign( c 1j ) x 1 ( tτ ) ) x ˙ 2 ( t )=γ j=2,3 c 2j ( x j ( tτ )sign( c 2j ) x 2 ( tτ ) ) x ˙ 3 ( t )=γ j=1,4 c 3j ( x j ( tτ )sign( c 3j ) x 3 ( tτ ) ) x ˙ 4 ( t )=γ j=1,5 c 4j ( x j ( tτ )sign( c 4j ) x 4 ( tτ ) ) x ˙ 5 ( t )=γ j=1,2 c 5j ( x j ( tτ )sign( c 5j ) x 5 ( tτ ) ) (4)

方程组(4)的Laplace矩阵为:

L=( γ l 1 γ c 12 γ c 13 γ c 14 γ c 15 γ c 21 γ l 2 γ c 23 0 0 γ c 31 0 γ l 3 γ c 34 0 γ c 41 0 0 γ l 4 γ c 45 γ c 51 γ c 52 0 0 γ l 5 )

对角线元素为 l i = j=1 n | c ij | ,令 A=λIL e λτ ,网络系统(3)的特征行列式如下:

det( A )=| λγ l 1 e λτ γ c 12 e λτ γ c 13 e λτ γ c 14 e λτ γ c 15 e λτ γ c 21 e λτ λγ l 2 e λτ γ c 23 e λτ 0 0 γ c 31 e λτ 0 λγ l 3 e λτ γ c 34 e λτ 0 γ c 41 e λτ 0 0 λγ l 4 e λτ γ c 45 e λτ γ c 51 e λτ γ c 52 e λτ 0 0 λγ l 5 e λτ |

显然,系统的特征方程是一个含有多个指数项的超越方程,其解析解无法直接计算。为了简化特征方程的计算,我们假设 l 1 = l 2 = l 3 = l 4 = l 5 =l ,但它们可以不一样。

可计算出特征方程:

( λγl e λτ ) 5 a 1 ( λγl e λτ ) 3 + a 2 ( λγl e λτ ) 2 a 3 ( λγl e λτ )+ a 4 =0 (5)

各项系数如下:

a 1 = c 12 c 21 + c 13 c 31 + c 14 c 41 + c 15 c 51 , a 2 = c 12 c 23 c 31 + c 13 c 34 c 41 + c 14 c 45 c 51 + c 15 c 52 c 21 , a 3 = c 12 c 23 c 34 c 41 + c 13 c 34 c 45 c 51 + c 14 c 45 c 52 c 21 + c 15 c 52 c 23 c 31 + c 23 c 34 c 45 c 52 , a 4 = c 12 c 23 c 34 c 45 c 51 + c 13 c 34 c 45 c 52 c 21 + c 14 c 45 c 52 c 23 c 31 + c 15 c 52 c 23 c 34 c 41 .

方程(5)中的超越项仍然太多,直接化简后难以计算特征值,为此我们可以将 λγl e λτ 视为一个整体元素,通过代换将其化简为一般多项式(6),通过分析整体元素的实部与虚部,可确定特征方程(5)的特征值。

Λ=λγl e λτ ,特征方程(5)简化为:

H( Λ )= Λ 5 a 1 Λ 3 + a 2 Λ 2 a 3 Λ+ a 4 =0 (6)

若方程(6)有虚数根 Λ=a+ib ,且 a0 b0 ,同样地对于特征方程(5)式的特征根来说 λγl e λτ =a+ib 亦是成立的。

3. 理论分析

在这一节,我们将研究以时滞引起的分岔现象,计算出临界点并搭建分岔现象发生的充分条件,以下内容都基于假设1成立的情况。

定理1 τ=0 时,若 γl>maxRe( Λ ) ,则 H( Λ ) 中所有的特征值都是负实部的,即网络系统(3)在 τ=0 时于平衡点处是局部渐进稳定的。

证明:对(6)式中的整体元素 Λ=λγl e λτ 展开实部与虚部:

λγl e λτ =Re( λ )+iIm( λ )γl e Re( λ )τ ( cos( ωτ )+isin( ωτ ) )

可得出实部 Re( Λ )=Re( λ )γl e Re( λ )τ cos( ωτ ) 。当 τ=0 时,(6)式特征根的最大实部满足 max( Re( Λ ) )=max( Re( λ ) )γl 。若 γl>maxRe( Λ ) ,则特征方程(5)的特征根实部是负的。

综上所述,网络系统(3)在平衡点邻域内是局部渐进稳定的,定理1得证。

接着,我们分析在 τ>0 时网络系统(3)产生Hopf分岔的充分条件。若特征方程(5)存在纯虚根 λ=iω ,将 λ=iω 代入 Λ=λγl e λτ ,则有:

Λ=iωγl e iωτ =iωγl( cos( ωτ )+isin( ωτ ) )=γlcos( ωτ )+i( ωγlsin( ωτ ) )

上式的实部与虚部分别为 a=γlcos( ωτ ) b=ωγlsin( ωτ ) ,从而:

{ sin( ωτ )= ωb γl cos( ωτ )= a γl (7)

由于 cos 2 ( ωτ )+ sin 2 ( ωτ )= a 2 γ 2 l 2 + ω 2 2bω+ b 2 γ 2 l 2 =1 ,所以我们得到如下等式:

ω 2 2bω γ 2 l 2 + a 2 + b 2 =0 (8)

定理2 γ 2 l 2 a 2 ,则方程(8)至少存在一个非零解,即方程(5)存在纯虚根 λ=iω

证明: γ 2 l 2 a 2 ,则判别式 Δ=4 b 2 4( a 2 + b 2 γ 2 l 2 )0 ,并且 b0 ,对称轴不与纵坐标重合。因此,(8)式至少存在一个非零解,对应的方程存在纯虚根 λ=iω

定理2证明完毕。

定理2说明特征方程(5)至少存在一个纯虚根 λ=iω ,为了不失一般性,我们假设方程(5)存在 m 个纯虚根,对应虚部为 ω 1 , ω 2 ,, ω m ( m1 ),由(7)式可知,每一个虚部对应的一簇时滞解:

τ m ( k ) = 1 ω m ( k ) { arccos a m γl +2kπ } kZ

在所有纯虚根对应的时滞解 τ m ( k ) 中选取最小值 τ 0 =min{ τ m ( k ) } 。由引理2,网络系统(3)在 τ[ 0, τ 0 ) 时,位于虚轴右半边的特征根总阶数不变,由定理1可知当 τ=0 时,系统的特征根全部位于虚轴左边。因此,系统在 τ[ 0, τ 0 ) 时在平衡点邻域内局部渐近稳定的。反之,如果 τ 0 不存在,网络系统(3)不满足定理2,即 γ 2 l 2 < a 2 ,使得(8)式无解。根据引理2,特征根在 τ>0 时会一直全部位于虚轴左边,此时网络系统(3)在 τ[ 0,+ ) 时位于平衡点邻域内是局部渐近稳定的。

在网络系统(3)满足定理1与定理2的条件下,我们接下来推导发生Hopf分岔的横截性条件,即引理2中的 Re [ dλ dμ ]| μ= μ 0 0

定理3 sin( ω 0 τ 0 ) γl ω 0 >0 ,且 H ( Λ )0 ,则有如下不等式成立:

Re ( dλ dτ )| τ= τ 0 >0

证明:对(6)式等号左右对 τ 求导,即有:

( 5 Λ 4 3 a 1 Λ 2 +2 a 2 Λ a 3 )[ dλ dτ +γlτ e λτ dλ dτ +γlλ e λτ ]=0

将上式化简得到 H ( Λ )( 1+γlτ e λτ ) dλ dτ =γlλ e λτ H ( Λ ) ,并且等号两边同时除以 H ( Λ ) 可得:

[ dλ dτ ] 1 = e λτ +γlτ γlλ

τ= τ 0 λ=i ω 0 并代入上式:

[ dλ dτ ] τ= τ 0 1 = cos ω 0 τ 0 +isin ω 0 τ 0 +γl τ 0 γli ω 0

则上式实部:

Re [ dλ dτ ] τ= τ 0 1 = sin( ω 0 τ 0 ) γl ω 0 >0

因此实部的符号为:

sign{ Re [ dλ dτ ] τ= τ 0 }=sign{ Re [ dλ dτ ] τ= τ 0 1 }>0

定理3证明完毕。

综上定理1~3所述, τ 0 就是网络系统(3)在平衡点处的临界点,可以得出定理4。

定理4在假设1成立且 γl>maxRe( Λ ) 的前提下,对于轮形符号图时滞神经网络(3),我们有如下结论:

1)若 γ 2 l 2 < a 2 ,则网络系统 τ[ 0,+ ) 时于平衡点邻域内是局部渐进稳定的;

2) 若 γ 2 l 2 a 2 sin( ω 0 τ 0 ) γl ω 0 >0 H ( Λ )0 ,则网络系统(3)在 τ[ 0, τ 0 ) 时于平衡点处是局步渐近稳定的,在 τ= τ 0 处出现Hopf分岔,当 τ> τ 0 时,平衡点失去稳定性,产生周期解。

证明:1) 若 γl>maxRe( Λ ) ,则由定理1可知,当 τ=0 时,网络系统(3)在平衡点处是局部渐近稳定的;由于 γl<max| Λ | ,由判别式 Δ=4 b 2 4( a 2 + b 2 γ 2 l 2 )<0 ,(8)式无解,特征方程(5)不存在纯虚根,由引理2,特征方程(5)位于虚轴左半边零点总阶数不随着 τ 的增大而改变,因此网络系统(3)在 τ[ 0,+ ) 时于平衡点邻域内是局部渐进稳定的。

2) 若 γ 2 l 2 a 2 ,由定理2可知,特征方程(5)存在纯虚根;在所有的纯虚根虚部对应的时滞 τ m ( k ) = 1 ω m ( k ) { arccos a m γl +2kπ } 中选取最小值 τ 0 ,若 sin( ω 0 τ 0 ) γl ω 0 >0 H ( Λ )0 ,由定理3可知 Re ( dλ dτ )| τ= τ 0 >0 ,横截性条件满足。因此由引理1,网络系统(3)在平衡点处出现Hopf分岔。

对于网络系统(3)在临界点 τ= τ 0 处发生Hopf分岔的方向和稳定性,我们可以使用DDE-BIFTOOL中的“nmfm”模块来计算引理1中第一李雅普诺夫系数来确定。

4. 数值模拟

在这一节中,我们使用DDE-BIFTOOL软件包[11]对理论推导结果进行仿真验证。考虑如下5个节点的网络,选取的激活函数为 f i ( x )= g i ( x )=tanh( x ) ,参数取值如下:

c 12 =0.2, c 13 =0.5, c 14 =0.7, c 15 =0.3, c 21 =0.3, c 31 =0.2, c 41 =0.3, c 51 =0.8, c 23 =1.5, c 34 =0.5, c 45 =0.4, c 52 =1,τ=0.2,γ=4.5,

在初值条件下,外围节点之间是对抗关系,且为单向连接;中心节点1与外围节点2和5为合作关系,与节点3和4为对抗关系。

首先在初值条件下,计算网络系统(3)的特征根,并且在图2上展示特征根的分布情况,可见在初值条件下网络系统(3)存在位于虚轴右半平面的特征根,此时是不稳定的。

Figure 2. Characteristic root distribution of network system (3) at the initial state

2. 初值条件下,网络系统(3)的特征根分布。

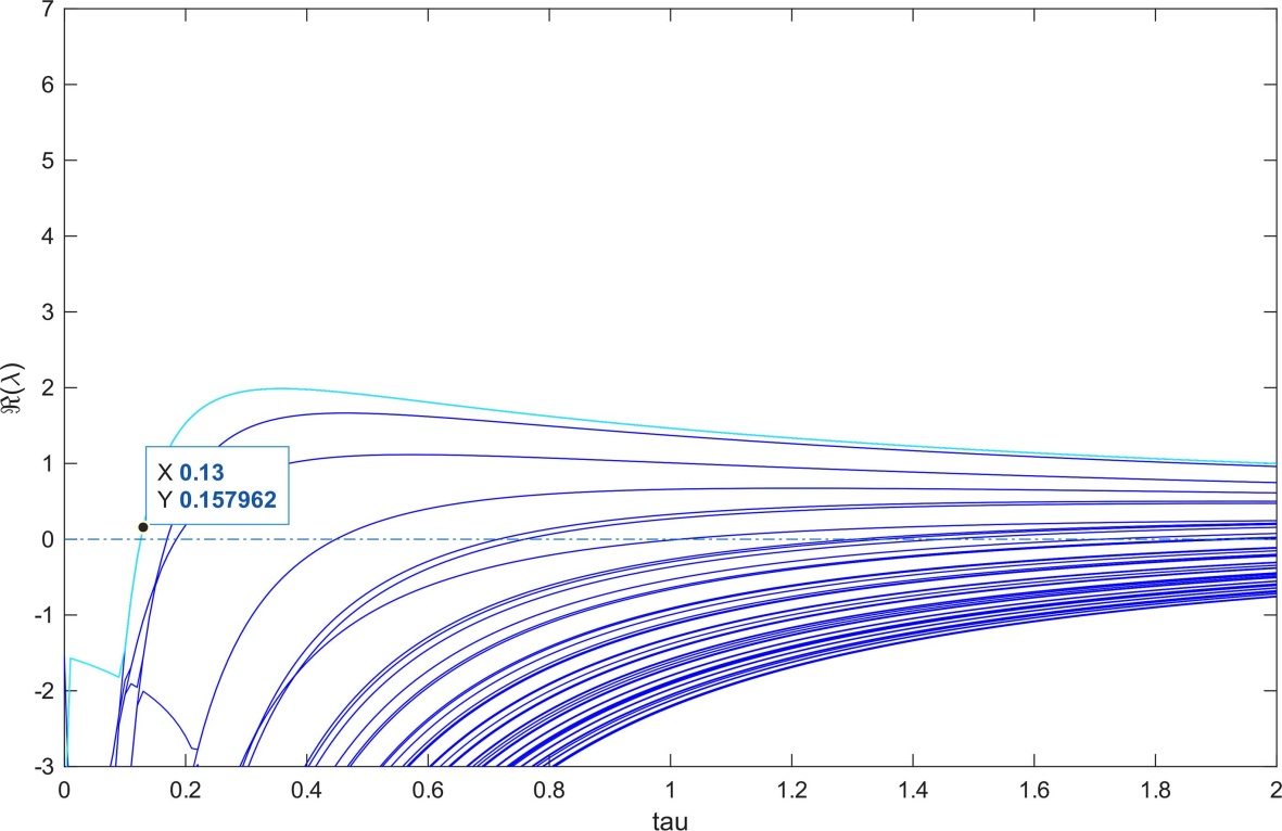
创建一个以时滞 τ 为自由参数的分支,设置 τ( 0,2 ] ,最大步长 Δτ=0.01 ,在 τ 按照最大步长从0增大至2之前,我们的程序共计算了222个点的特征值,特征值实部随时滞 τ 的变化曲线见图3,每一个点对应特征值的实部取值见图4。从这两个图中我们可以看出当 τ=0 时,特征根实部全部小于0,随着时滞取值的变化,特征值存在穿越虚轴的情况,即临界点 τ 0 是存在的,并且穿越虚轴时 sign{ Re [ dλ dτ ] τ= τ 0 }>0 ,我们的横截性条件成立,Hopf分岔现象是存在的。

Figure 3. Variation of the real parts of the characteristic roots with increasing time delay for network system (3). The cyan curve represents the calibrated values

3. 网络系统(3)的特征根的实部随时滞增大而变化的曲线。青色线为校正值

Figure 4. Variation curve of the maximum real part of the characteristic roots

4. 每一个点的特征根实部最大取值及变化曲线

图4中可见第209到第210个点之间就存在临界点,接着经过持续校正,最终定位到系统的临界值 τ 0 =0.1259 ,对应的虚部取值 ω 0 =10.6429 ,此时特征根分布情况见图5,这就说明随着时滞 τ 的不断增大,网络系统(3)由稳定向着不稳定状态变化,也验证了定理4的正确性。

Figure 5. When the time delay is set to τ 0 =0.1259 , a pair of pure imaginary roots λ=±i ω 0 with ω 0 =10.6429 emerges in the network system (3)

5. 当时滞取值 τ 0 =0.1259 时,网络系统(3)存在一对纯虚根 λ=±i ω 0 , ω 0 =10.6429

使用DDE-BIFTOOL计算出临界值后,我们接着使用MATLAB自带的dde23函数插件作出对应的状态图和相位图。当 τ=0.1< τ 0 时,网络系统(3)是局部渐进稳定的,对应的状态图与相位图见图6(a)图6(b)。当 τ= τ 0 时,网络系统(3)出现极限环,并且有周期震荡现象,对应的状态图与相位图见图7(a)图7(b)

为了展现网络系统(3)发生Hopf分岔时的性质,我们接着使用DDE-BIFTOOL中的“nmfm”模块来计算时滞 τ= τ j 时的李雅普诺夫第一系数。初值条件不变,仍然取 τ( 0,2 ] ,最大步长 Δτ=0.01 ,在延拓的过程中,我们的程序一共检测到13个Hopf分岔点,对应的 τ j 以及第一李雅普诺夫系数实部 l 1 =Re( c 1 ( 0 ) ) 的取值见表1

(a) (b)

Figure 6. Local asymptotic stability of the network system (3) for τ=0.1< τ 0 , with other parameters fixed. (a) State diagram of the system (3); (b) Phase diagram of the system (3)

6. 其他参数不变,当 τ=0.1< τ 0 时,网络系统(3)局部渐近稳定。(a) 系统(3)的状态图;(b) 系统(3)的相位图

(a) (b)

Figure 7. Emergence of periodic oscillations in the network system (3) for τ= τ 0 , with other parameters fixed. (a) State diagram of the system (3); (b) Phase diagram of the system (3)

7. 其他参数不变,当 τ= τ 0 时,网络系统(3)出现周期振荡现象。(a) 系统(3)的状态图;(b) 系统(3)的相位图

Table 1. The values of τ j and the normal form coefficient l 1 for each Hopf bifurcation point obtained during continuation with a maximum step Δτ=0.01 on τ( 0,2 ]

1. τ( 0,2 ] 上以最大步长 Δτ=0.01 延拓的过程中,每一个Hopf点对应的 τ j 与正规型系数 l 1 的取值

Hopf分岔点

取值

正规型系数 l 1

τ 0

0.125920

−0.086930

τ 1

0.169263

−0.061351

τ 2

0.184757

−0.100368

τ 3

0.448087

−0.038938

τ 4

0.716285

−0.004809

τ 5

0.759628

−0.004285

τ 6

1.016162

−0.107250

τ 7

1.306651

−0.001463

τ 8

1.349994

−0.001371

τ 9

1.450445

−0.004457

τ 10

1.713776

−0.003187

τ 11

1.897016

−0.000665

τ 12

1.940359

−0.000695

(a) (b)

Figure 8. For τ= τ 1 , periodic oscillations emerge and a stable limit cycle is generated in the network system (3). (a) State diagram of system (3); (b) Phase portrait of system (3)

8. τ= τ 1 ,网络系统(3)出现周期振荡现象并且产生稳定的极限环。(a) 系统(3)的状态图;(b) 系统(3)的相位图

(a) (b)

Figure 9. For τ= τ 6 , (a) State diagram of system (3); (b) Phase portrait of system (3)

9. τ= τ 6 ,(a) 系统(3)的状态图;(b) 系统(3)的相位图

(a) (b)

Figure 10. For τ= τ 12 , (a) State diagram of system (3); (b) Phase portrait of system (3)

10. τ= τ 12 ,(a) 系统(3)的状态图;(b) 系统(3)的相位图

显然,对于 τ j ( 0,2 ] ,对应的正规型系数 l 1 <0 ,网络系统(3)发生超临界Hopf分岔并且周期解是稳定的。接下来分别取 τ= τ 1 τ= τ 6 τ= τ 12 ,代入dde23函数,相应的状态图与相位图分别见图8~10

5. 结论

本文研究了轮形符号图时滞神经网络的稳定性和Hopf分岔现象。通过引入带符号的耦合权重来刻画节点间的合作与竞争关系,并采用非线性耦合方式,建立了一个更贴近实际交互模式的网络模型。以时滞为分岔参数,得出了局部渐近稳定和Hopf分岔发生的充分条件,并计算了整个网络系统动力学行为发生突变的临界点。然而现实中的网络普遍是高维度的,并且引起分岔的因素还有耦合强度、激活函数等,未来我们将进一步探讨这些问题。

基金项目

国家自然科学基金面上项目(NO: 62473134)和湖北省高等学校优秀中青年科技创新团队计划(NO: T2023020)。

参考文献

[1] Guckenheimer, J. and Holmes, P. (1983) Nonlinear Oscillations, Dynamical Systems, and Bifurcations of Vector Fields. Springer, 150-154.
[2] Wei, J.J. and Zhang, C.R. (2008) Bifurcation Analysis of a Class of Neural Networks with Delays. Nonlinear Analysis: Real World Applications, 9, 2234-2252. [Google Scholar] [CrossRef
[3] Tao, B.B., Xiao, M., Zheng, W.X., Cao, J.D. and Tang, J.W. (2021) Dynamics Analysis and Design for a Bidirectional Super-Ring-Shaped Neural Network with n Neurons and Multiple Delays. IEEE Transactions on Neural Networks and Learning Systems, 32, 2978-2992. [Google Scholar] [CrossRef] [PubMed]
[4] Xiao, M., Zheng, W.X. and Cao, J.D. (2013) Hopf Bifurcation of an (n + 1)-Neuron Bidirectional Associative Memory Neural Network Model with Delays. IEEE Transactions on Neural Networks and Learning Systems, 24, 118-132. [Google Scholar] [CrossRef] [PubMed]
[5] Xu, W.Y., Cao, J.D., Xiao, M., et al. (2015) A New Framework for Analysis on Stability and Bifurcation in a Class of Neural Networks with Discrete and Distributed Delays. IEEE Transactions on Cybernetics, 45, 2224-2236. [Google Scholar] [CrossRef] [PubMed]
[6] Chen, J., Xiao, M., He, J. and Wang, F. (2023) Bifurcation Analysis of a Ring-Hub-Shaped Neural Network with (n + 1) Neurons and Multiple Delays. IEEE/CAA Journal of Automatica Sinica, 10, 1304-1315.
[7] Zhang, Y.Z., Xiao, M., Cao, J.D. and Zheng, W.X. (2022) Dynamical Bifurcation of Large-Scale-Delayed Fractional-Order Neural Networks with Hub Structure and Multiple Rings. IEEE Transactions on Systems, Man, and Cybernetics: Systems, 52, 1731-1743. [Google Scholar] [CrossRef
[8] Sun, W., Li, B., Guo, W., Wen, S. and Wu, X. (2022) Interval Bipartite Synchronization of Multiple Neural Networks in Signed Graphs. IEEE Transactions on Neural Networks and Learning Systems, 34, 10970-10979. [Google Scholar] [CrossRef] [PubMed]
[9] Sun, W., Guo, W., Li, B., Wen, S. and Wu, X. (2022) Interval Bipartite Synchronization of Delayed Nonlinear Neural Networks with Signed Graphs. IEEE Transactions on Systems, Man, and Cybernetics: Systems, 53, 1723-1733. [Google Scholar] [CrossRef
[10] Bizyaeva, A., Franci, A. and Leonard, N.E. (2023) Sustained Oscillations in Multi-Topic Belief Dynamics over Signed Networks. 2023 American Control Conference (ACC), San Diego, 31 May-2 June 2023, 4296-4301. [Google Scholar] [CrossRef
[11] Sieber, J., Engelborghs, K., Luzyanina, T., Samaey, G. and Roose, D. (2014) DDE-BIFTOOL v.3.1 Manual-Bifurcation Analysis of Delay Differential Equations.
https://arxiv.org/abs/1406.7144
[12] Ruan, S. and Wei, J. (2003) On the Zeros of Transcendental Functions with Applications to Stability of Delay Differential Equations with Two Delays. Dynamics of Continuous, Discrete and Impulsive Systems Series A: Mathematical Analysis, 10, 863-874.
[13] 魏俊杰, 王洪滨, 蒋卫华. 时滞微分方程的分支理论及应用[M]. 北京: 科学出版社, 2012.