基于几何平滑动量的大规模线性方程组自适应确定性块Kaczmarz方法
An Adaptive Deterministic Block Kaczmarz Algorithm Based on Geometrically Smoothed Momentum for Solving Large-Scale Linear Systems
DOI: 10.12677/aam.2026.152068, PDF, HTML, XML,    国家自然科学基金支持
作者: 马家靓*:青岛大学数学与统计学院,山东 青岛;丁洁玉#:青岛大学计算机科学技术学院,山东 青岛
关键词: 线性系统Kaczmarz迭代块方法动量加速System of Linear Equations Kaczmarz Iteration Block Method Momentum Acceleration
摘要: 为高效求解大规模相容线性方程组,本文在已有自适应确定性块Kaczmarz (ADBK)方法的基础上,引入几何平滑动量加速机制,提出了基于几何平滑动量的自适应确定性块Kaczmarz方法。该方法继承了ADBK通过残差范数自适应选取块索引、避免显式计算子矩阵伪逆的计算优势,并在不增加额外计算复杂度的前提下进一步提升了收敛速度。数值实验结果表明,与原始ADBK方法及多种典型算法相比,所提出的方法在迭代次数、计算时间和收敛速度方面均具有明显优势。
Abstract: To efficiently solve large-scale consistent systems of linear equations, this paper proposes an adaptive deterministic block Kaczmarz method based on geometric smooth momentum, building upon the existing Adaptive Deterministic Block Kaczmarz (ADBK) method. The proposed method inherits the computational advantages of ADBK in adaptively selecting block indices through residual norms and avoiding explicit computation of submatrix pseudoinverses. Furthermore, by introducing a geometric smooth momentum acceleration mechanism, the convergence speed is enhanced without increasing additional computational complexity. Numerical experimental results demonstrate that compared with the original ADBK method and various typical algorithms, the proposed method exhibits significant advantages in terms of iteration count, computational time, and convergence rate.
文章引用:马家靓, 丁洁玉. 基于几何平滑动量的大规模线性方程组自适应确定性块Kaczmarz方法[J]. 应用数学进展, 2026, 15(2): 270-280. https://doi.org/10.12677/aam.2026.152068

1. 引言

线性方程组的高效求解是大数据分析、机器学习和图像处理等领域中高性能数值算法和软件开发的核心环节,常常受到问题规模、不相容等因素制约。因此,构造格式简单、内存耗费低和收敛速度快的迭代方法在大规模线性方程组、线性反问题和优化等问题中尤为重要。

波兰数学家Stefan Kaczmarz于1937年提出Kaczmarz方法[1],用于求解线性方程组和线性不适定问题,如电子计算机断层扫描和信号处理[2]等。然而,Kaczmarz方法的收敛性质依赖于行指标的选择顺序,收敛速度慢且很难做出收敛分析结果。在此方法基础上,2009年Strohmer和Vershynin [3]提出了基于工作行指标随机选取的随机Kaczmarz (RK)方法,并证明了其依期望指数收敛,但是RK方法易受大型矩阵稀疏度的影响。

块Kaczmarz (BK)方法最早可以追溯到Elfving [4]的工作,是Kaczmarz方法的自然推广。理论分析和数值实验表明构造块Kaczmarz类方法是提升Kaczmarz方法和RK方法数值性能的有效途径。目前国内外学者主要从两方面来设计新型高效的块方法:一种是基于投影思想建立的BK方法[5]-[7],这类方法在每一次迭代过程中都需要计算伪逆或求解一个最小二乘问题,且难以实施并行计算。另一种是基于免伪逆思想建立的BK方法,该类方法能避免投影类方法的主要缺陷。比较典型的方法有求解相容线性方程组的随机平均块Kaczmarz (RaBK)方法[8]和快速确定块Kaczmarz (FDBK)方法[9]

本文研究基于免伪逆思想建立的BK方法,在自适应确定性块Kaczmarz方法的基础上将几何平滑动量运用到该方法中得到基于动量的块Kaczmarz方法。利用数值实验验证带几何平滑动量的自适应确定性块Kaczmarz方法的有效性和高效性。

2. 自适应确定性块Kaczmarz法

考虑如下的大规模线性方程组:

Ax=b (1)

其中 A m×n ,未知向量 x n 和右端项 b m 。对于相容的线性方程组,若解不唯一,往往关注方程组(1)的最小欧式范数解

x LN = argmin x n x 2 ,使得 Ax=b

其中 2 表示欧几里得范数。对于不相容的线性方程组,一般考虑最小二乘解

x LS = argmin x n bAx 2

重点研究的是最小二乘最小范数解: x = A b 。对于相容线性方程组,其最小二乘最小范数解就是它的最小范数解[10]

2.1. 块Kaczmarz型方法

[ m ] 表示集合 { 1,2,,m } ,如果一组索引集 J 1 , J 2 ,, J p 满足:对于任意 ij( i,j=1,2,,p ) ,有 J i J j = ,并且 i=1 p J i =[ m ] ,那么可以称这组集合 J 1 , J 2 ,, J p 是对集合 [ m ] 的一个划分。给定一个正整数 p ,可以将矩阵 A 的行索引划分为 J={ J 1 , J 2 ,, J p } ,即将 A 表示为 A= [ A J 1 T , A J 2 T ,, A J p T ] T ,同时将向量 b 表示为 b= [ b J 1 T , b J 2 T ,, b J p T ] T 。在第 k+1 次迭代中,选择一个子矩阵 A J i k 和对应的子向量 b J i k , 其中 i k =mod( k,p )+1 。在该步中,当前迭代点 x k 被正交投影到解空间 { x n : A J i k x= b J i k } 上。因此从初始向量 x 0 出发,块Kaczmarz方法的迭代格式可以表示为:

x k+1 = x k + A J i k ( b J i k A J i k x k ) k=0,1,2, (2) \

其中 A J i k 表示矩阵 A J i k 的Moore-Penrose伪逆。

在给定集合 [ m ] 的一个预定划分 J 之后,Needell和Tropp [5]提出随机块Kaczmarz (RBK)方法。为降低计算复杂度,Necoara [8]提出了一个统一的随机平均块Kaczmarz (RaBK)方法,该方法不需要计算伪逆,其迭代格式如下:

x k+1 = x k + α k ( i J i k ω i k b ( i ) A ( i ) x k A ( i ) 2 2 ( A ( i ) ) T ) (3)

其中 ω i k [ 0,1 ] 为权重,满足 i J i k ω i k =1 α k ( 0,2 ) 为步长。为了进一步提高收敛速度,Chen和Huang提出了一个快速确定性块Kaczmarz (FDBK)方法[9],数值实验表明,FDBK方法在性能上优于RaBK方法。

2.2. 自适应确定性块Kaczmarz方法

首先提出一种基于残差向量的欧几里得范数的新指标集序列

U k ={ i k | | b ( i k ) A ( i k ) x k | 2 bA x k 2 2 m } (4)

上述指标序列 U k 非空,具体内容见算法1

算法1. ADBK方法[10]

1:输入: A,b,l, x 0 range( A T )

2:输出: x l

3:for k=0,1,,l1 do

4:确定指标集序列

U k ={ i k | | b ( i k ) A ( i k ) x k | 2 bA x k 2 2 m }

5:计算

η k = i k U k ( b ( i k ) A ( i k ) x k ) e i k ;(5)

6:计算

x k+1 = x k + η k T ( bA x k ) A T η k 2 2 A T η k . (6)

7:end for

定理2.2.1. A T 列空间中的任意初始猜测向量 x 0 ,由ADBK方法生成的迭代解序列 { x k } k=0 收敛到相容线性方程组(1)的最小范数解 x = A b ,且迭代解序列 { x k } k=0 的误差满足

x k+1 x 2 2 ( 1 μ λ min ( A T A ) m λ max block ) x k x 2 2 (7)

其中 μ= inf k { N( U k ) } N( U k ) 表示指标集 U k 中所含元素的个数以及 λ max block = max U k { λ max ( A U k A U k T ) }

3. 基于几何平滑动量的自适应确定性块Kaczmarz方法

考虑使用几何平滑动量来加快ADBK方法的收敛速度。类似于文献[11]中的工作,对于参数 β[ 0,1 ) M[ 0,1 ] ,定义几何平滑动量Kaczmarz方法的算法,其迭代形式如下:

{ x k+1 = x k + b ( i k ) A ( i k ) x k A ( i k ) 2 2 ( A ( i k ) ) T +M y k y k+1 =β y k +( 1β )( x k+1 x k ) (8)

下面给出几何平滑动量Kaczmarz (KGSM)方法的收敛理论。

定理3.1. 固定参数 β[ 0,1 ) M[ 0,1 ] ,以及 l{ 1,,n } 。设 v l 是矩阵 A 的第 l 大奇异值 σ l 所对应的右奇异向量。假设 x k 是由KGSM方法所定义的。那么对于所有 k0,

E x k+1 x, v l = [ r ς ] T [ r ς 1 β ] k [ 1 1/ ( 1β ) ] x 0 x, v l ,

其中

r:=1 σ l 2 A F 2 +M( 1β ),ς:=M ( 1β ) 2

β 接近于1时,动量项会变得高度平滑。所以将几何平滑动量更新公式嵌入ADBK方法的更新迭代公式中有

{ x k+1 = x k + η k T ( bA x k ) A T η k 2 2 A T η k +M y k y k+1 =β y k +( 1β )( x k+1 x k ) (9)

综上,可得带几何平滑动量的ADBK (gsmADBK)方法,具体内容见如下算法2

算法2. gsmADBK方法

1:输入: A,b,l,0β1 ,并且 x 0 range( A T ) y 0 = x 0

2:输出: x l

3:for k=0,1,,l1 do

4:确定指标集序列

U k ={ i k | | b ( i k ) A ( i k ) x k | 2 bA x k 2 2 m }

5:计算

η k = i k U k ( b ( i k ) A ( i k ) x k ) e i k

6:计算

x k+1 = x k + η k T ( bA x k ) A T η k 2 2 A T η k +M y k

7:计算

y k+1 =β y k +( 1β )( x k+1 x k ).

8:end for

注记3.1. 当参数 M=0 时,gsmADBK方法退化为ADBK方法。

gsmADBK方法的收敛性分析由于 η k 的选择不确定,因此给出一个准确的收敛速度的上界是困难的,有待今后的进一步研究。

4. 数值实验

下面通过几组数值算例来验证gsmADBK方法求解大规模相容线性方程组的有效性以及高效性,实验均通过MATLAB (版本R2020b)编程实现,初始向量均设为 x 0 =zeros( n,1 ) 。停机准则是相对解误差满足

RSE= x k x 2 x 2 10 3

或者迭代次数超过100,000次,或者计算时间超过3600秒。在后两种情况下,相应的IT迭代次数和CPU时间记为“--”。IT和CPU是50次重复计算所需迭代步数和CPU时间的平均值(单位:秒)。令右端向量 b=A x , x n 由MATLAB函数randn随机生成。

4.1. 超定和欠定线性方程组

首先考虑第一类系数矩阵高斯矩阵,由MATLAB函数randn随机生成,即 A=randn( m,n ) 。使用RaBK、FDBK、ADBK和gsmADBK方法求解大规模相容线性方程组 Ax=b ,其中RaBK方法的采样方式为分块采样,块大小为 [ m/ A 2 2 ] ,步长 α k =1.95 L k L k = i J k ω ¯ i k ( A ( i ) x k b   ( i ) ) 2 i J k ω ¯ i k ( A ( i ) x k b   ( i ) ) 2 ( A ( i ) ) T 2 2 ω ¯ i k = ω i k A ( i ) 2 2 。数值结果由表1表2给出,其中gsmADBK方法采用的参数是数值实验过程中确定的最优参数,即通过CPU值最小获取。为了显示收敛程度,gsmADBK方法对其他方法的加速定义为

speed-up_ADBK= CPU of Method CPU of gsmADBK

表1表2的数值结果可以看出,RaBK、FDBK、ADBK和gsmADBK方法求解超定及欠定线性方程组(1)都是有效的。从迭代步数和计算时间来看,gsmADBK方法优于RaBK、FDBK和ADBK方法,speed-up_RaBK、speed-up_FDBK和speed-up_ADBK的取值范围分别为895.56~5419.41、8.69~103.16、1.05~3.39,即增加动量项给ADBK方法的收敛特性带来有效的改进并且优于传统方法。

Table 1. Numerical results of four iterative methods when A=randn( m,n ) , m>n

1. A=randn( m,n ) m>n 时四种迭代方法的数值结果

m

1000

3000

5000

7000

9000

12,000

15,000

n

500

1000

2000

3500

5000

6500

8000

RaBK

IT

12,085

12,606

32,123

86,189

>105

>105

>105

CPU

2.1848

16.6574

173.0970

1243.2086

--

--

--

FDBK

IT

278

128

230

446

689

636

650

CPU

0.0289

0.1617

1.2585

5.2504

15.0544

23.5612

36.3798

ADBK

IT

70

32

42

70

100

87

88

CPU

0.0062

0.0378

0.2238

0.8485

2.1926

3.2254

4.9407

gsmADBK

IT

23

15

17

23

29

28

28

CPU

0.0022

0.0186

0.0915

0.2919

0.6470

1.0641

1.6170

M opt

0.5

0.3

0.4

0.5

0.6

0.6

0.5

β opt

0.2

0.2

0.1

0.2

0.1

0.1

0.2

speed-up_RaBK

993.09

895.56

1891.77

4259.02

--

--

--

speed-up_FDBK

13.14

8.69

13.75

17.99

23.27

22.14

22.50

speed-up_ADBK

2.82

2.03

2.45

2.91

3.39

3.03

3.06

Table 2. Numerical results of four iterative methods when A=randn( m,n ) , m<n

2. A=randn( m,n ) m<n 时四种迭代方法的数值结果

m

500

1000

2000

3500

5000

6500

8000

n

10,000

3000

5000

7000

9000

12,000

15,000

RaBK

IT

11,740

12,467

32,609

86,022

>105

>105

>105

CPU

4.3706

39.2750

319.8674

1764.5594

--

--

--

FDBK

IT

320

174

269

506

753

709

721

CPU

0.2579

0.3220

1.7888

6.4280

17.2074

26.1081

40.1144

ADBK

IT

70

32

42

70

100

87

88

CPU

0.0065

0.0372

0.2247

0.8590

2.1213

3.3347

4.7675

gsmADBK

IT

23

15

17

23

29

28

28

CPU

0.0025

0.0226

0.1096

0.3256

0.7025

1.1920

1.7674

M opt

0.5

0.4

0.4

0.5

0.6

0.6

0.5

β opt

0.3

0.2

0.2

0.2

0.2

0.1

0.3

speed-up_RaBK

1748.24

1737.83

2918.50

5419.41

--

--

--

speed-up_FDBK

103.16

14.25

16.32

19.74

24.49

21.90

22.70

speed-up_ADBK

2.60

1.65

1.05

2.64

3.02

2.80

2.70

图1展示了两个不同参数 M β 对gsmADBK方法计算效率的影响。确定gsmADBK方法的最优参数主要是通过计算不同参数对应的CPU值进行选择的。

(a) m=7500,n=3000 (b) m=3500,n=7000

Figure 1. CPU values of solving overdetermined and underdetermined linear systems using gsmADBK method with different ( M,β )

1. 不同 ( M,β ) 的gsmADBK方法求解超定和欠定线性方程组的CPU值

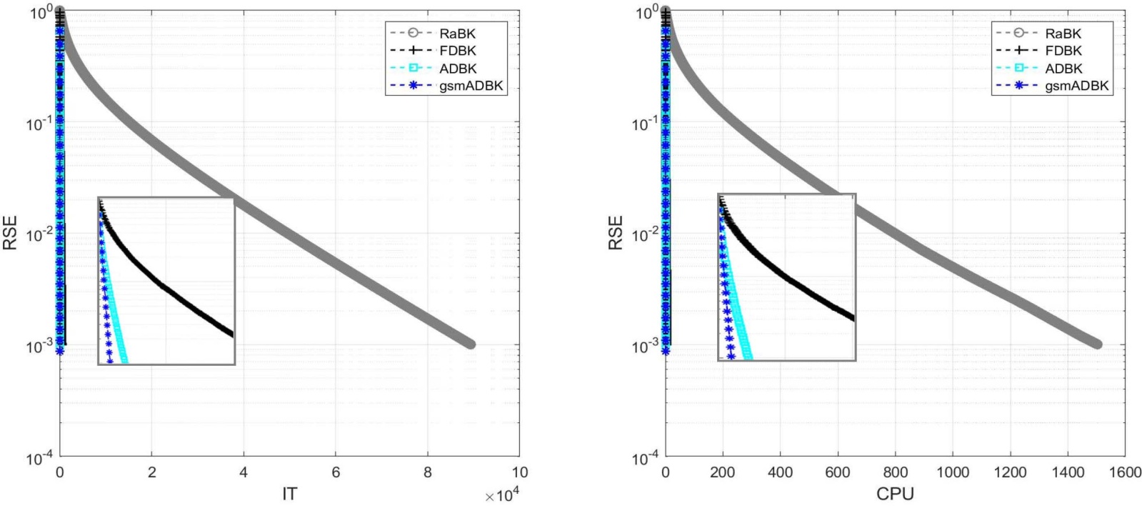
图2图3中,对于超定和欠定线性方程组,有RSE与迭代步数(左)和计算时间(右)的关系曲线。从中反映出gsmADBK方法收敛最快,综上所述,gsmADBK方法的数值性能表现优秀。

4.2. 稀疏线性方程组

考虑第二类系数矩阵稀疏矩阵,均是从SuiteSparse矩阵集合[12]中选取的。表3表4分别列出了六个细长满秩矩阵和六个扁平满秩矩阵的相关信息,表5列出了六个秩亏稀疏矩阵的相关信息。使用RaBK、FDBK、ADBK、和gsmADBK方法求解初始向量为 x 0 的大规模相容线性方程组 Ax=b 。数值结果由表6表7以及表8给出,其中不同方法中采用的参数是数值实验过程中确定的最优参数,即通过CPU值最小获取。

Figure 2. The relationship of RSE with IT (left) and CPU (right) for RaBK, FDBK, ADBK and gsmADBK methods of A=randn( 7000,3500 )

2. A=randn( 7000,3500 ) 的RaBK、FDBK、ADBK和gsmADBK方法的RSE与IT (左)和CPU (右)的关系

Figure 3. The relationship of RSE with IT (left) and CPU (right) for RaBK, FDBK, ADBK and gsmADBK methods of A=randn( 3500,7000 )

3. A=randn( 3500,7000 ) 的RaBK、FDBK、ADBK和gsmADBK方法的RSE与IT (左)和CPU (右)的关系

Table 3. Related properties of full-rank sparse matrices, mn

3. 满秩稀疏矩阵的相关性质, mn

Name

Cities

ash219

ash331

ash608

cage9

cage10

m×n

55 × 46

219 × 85

331 × 104

608 × 188

3534 × 3534

11,397 × 11,397

density

53.04%

2.35%

1.92%

1.06%

0.33%

0.16%

cond(A)

207.15

3.02

3.10

3.37

12.60

11.02

Table 4. Related properties of full-rank sparse matrices, m<n

4. 满秩稀疏矩阵的相关性质, m<n

Name

Trec8

crew1

bibd_17_8

model1

nemsafm

flower_5_4

m×n

23 × 84

135 × 6469

136 × 24,310

362 × 798

334 × 2348

5226 × 14,721

density

39.44%

5.38%

20.59%

1.05%

0.36%

0.057%

cond(A)

26.89

18.20

9.04

17.57

4.77

14.9

Table 5. Relevant properties of low-rank sparse matrices

5. 秩亏稀疏矩阵的相关性质

Name

relat5

relat6

rel5

rel6

Sandi_sandi

flower_4_4

m×n

340 × 35

2340 × 157

340 × 35

2340 × 157

314 × 360

1837 × 5529

density

8.89%

2.21%

5.51%

1.39%

0.54%

0.20%

cond(A)

Inf

Inf

Inf

Inf

1.47e+17

1.05e+19

Table 6. Numerical results for full-rank sparse matrices A , mn

6. 满秩稀疏矩阵 A mn 时的数值结果

Name

Cities

ash219

ash331

ash608

cage9

cage10

RaBK

IT

112488

846

814

1970

31,359

>105

CPU

0.1753

0.0111

0.0138

0.0810

438.8697

--

FDBK

IT

45593

46

30

50

356

290

CPU

0.4229

4.7216e−04

3.6335e−04

7.6797e−04

0.0698

0.6507

ADBK

IT

67770

21

19

23

252

107

CPU

0.1366

5.5380e−05

7.2638e−05

8.5800e−05

0.0140

0.0187

gsmADBK

IT

2084

12

11

13

52

37

CPU

0.0045

3.2180e−05

3.3107e−05

5.5590e−05

0.0032

0.0063

M opt

0.9

0.2

0.2

0.3

0.7

0.7

β opt

0.6

0.1

0.1

0.2

0.4

0.4

speed-up_RaBK

38.96

344.93

416.83

1457.10

137146.78

--

speed-up_FDBK

93.98

14.67

10.98

13.81

21.81

103.29

speed-up_ADBK

30.36

1.72

2.19

1.54

4.38

2.97

Table 7. Numerical results for full-rank sparse matrices A , m<n

7. 满秩稀疏矩阵 A m<n 时的数值结果

Name

Trec8

crew1

bibd_17_8

model1

nemsafm

flower_5_4

RaBK

IT

2303

7478

1293

11,357

2614

>105

CPU

0.0046

2.0872

2.4240

1.5826

1.1650

--

FDBK

IT

1333

808

257

646

136

3501

CPU

0.0111

0.1113

2.5492

0.0136

0.0036

0.9751

ADBK

IT

1240

319

119

375

56

463

CPU

0.0019

0.0182

0.0492

0.0021

0.0007

0.0515

gsmADBK

IT

134

92

38

69

24

57

CPU

0.0004

0.0055

0.0174

0.0004

0.0003

0.0063

M opt

0.8

0.8

0.6

0.8

0.5

0.8

β opt

0.5

0.2

0.1

0.2

0.1

0.2

speed-up_RaBK

11.50

379.49

139.31

3956.50

3883.33

--

speed-up_FDBK

27.75

20.24

146.51

34.00

12.00

154.78

speed-up_ADBK

4.75

3.31

2.83

5.25

2.33

8.17

表6表7的数值结果可以得出以下结论:

1) RaBK、FDBK、ADBK和gsmADBK方法求解满秩稀疏线性方程组 Ax=b 都是有效的。

2) RaBK、FDBK、ADBK和gsmADBK方法呈现出与表1表2中类似的数值结果。在所有测试算例求解中,gsmADBK方法消耗的迭代步数和计算时间优于RaBK、FDBK和ADBK方法,speed-up_RaBK、speed-up_FDBK、speed-up_ADBK的取值范围分别为11.50~137146.78、10.98~154.78、1.54~30.96,表明添加动量后加速效果显著且优于传统方法。但搜索不同稀疏矩阵的最优参数是较为耗时的。

Table 8. Numerical results of low-rank sparse matrices

8. 秩亏稀疏矩阵的数值结果

Name

relat5

relat6

rel5

rel6

Sandi_sandi

flower_4_4

FDBK

IT

75

252

79

322

505

561

CPU

0.0009

0.0122

0.0008

0.0117

0.0059

0.0481

ADBK

IT

58

84

70

192

353

147

CPU

0.0002

0.0010

0.0002

0.0019

0.0011

0.0048

gsmADBK

IT

22

28

34

38

88

39

CPU

6.6070e−05

0.0004

8.4310e−05

0.0004

0.0003

0.0014

M opt

0.4

0.6

0.4

0.7

0.8

0.6

β opt

0.3

0.2

0.2

0.1

0.3

0.3

speed-up_FDBK

13.62

30.50

9.49

29.25

19.67

34.36

speed-up_ADBK

3.03

2.50

2.37

4.75

3.67

3.43

表8的数值结果可以得出以下结论:

1) RaBK方法无法有效求解病态秩亏稀疏线性方程组,问题在于秩亏系数矩阵使RaBK方法步长的选择失效。其他FDBK、ADBK和gsmADBK方法都能够有效求解病态秩亏稀疏线性方程组。

2) 在所有测试算例求解中,gsmADBK方法消耗的迭代步数和计算时间优于FDBK和ADBK方法,speed-up_FDBK、speed-up_ADBK的取值范围分别为9.49~34.36和2.37~4.75,表明添加动量加速效果显著且优于传统方法。但搜索不同稀疏矩阵的最优参数是较为耗时的。

5. 结论

本文基于数值代数与随机优化等领域的理论知识,在自适应确定性块Kaczmarz (ADBK)方法的基础上结合动量思想提出了基于几何平滑动量的自适应确定性块Kaczmarz (gsmADBK)方法。将该方法应用于超定、欠定及稀疏线性方程组的求解问题,数值实验结果表明该方法能够有效求解大规模相容线性方程组并且引入动量项能够显著改善 ADBK 方法的收敛特性,在迭代次数、计算时间以及收敛速度方面均取得提升。

基金项目

国家自然科学基金(12172186: 11772166)。

NOTES

*第一作者。

#通讯作者。

参考文献

[1] Kaczmarz, S. (1937) Angenaherte auflosung von systemen linearer glei-chungen. Bulletin International de l’Académie des Sciences de Cracovie, Classe des Sciences Mathématiques et Naturelles, 355-357.
[2] Herman, G.T. and Davidi, R. (2008) Image Reconstruction from a Small Number of Projections. Inverse Problems, 24, Article ID: 045011. [Google Scholar] [CrossRef] [PubMed]
[3] Strohmer, T. and Vershynin, R. (2008) A Randomized Kaczmarz Algorithm with Exponential Convergence. Journal of Fourier Analysis and Applications, 15, 262-278. [Google Scholar] [CrossRef
[4] Elfving, T. (1980) Block-Iterative Methods for Consistent and Inconsistent Linear Equations. Numerische Mathematik, 35, 1-12. [Google Scholar] [CrossRef
[5] Needell, D. and Tropp, J.A. (2014) Paved with Good Intentions: Analysis of a Randomized Block Kaczmarz Method. Linear Algebra and its Applications, 441, 199-221. [Google Scholar] [CrossRef
[6] Niu, Y. and Zheng, B. (2020) A Greedy Block Kaczmarz Algorithm for Solving Large-Scale Linear Systems. Applied Mathematics Letters, 104, Article ID: 106294. [Google Scholar] [CrossRef
[7] Rebrova, E. and Needell, D. (2020) On Block Gaussian Sketching for the Kaczmarz Method. Numerical Algorithms, 86, 443-473. [Google Scholar] [CrossRef
[8] Necoara, I. (2019) Faster Randomized Block Kaczmarz Algorithms. SIAM Journal on Matrix Analysis and Applications, 40, 1425-1452. [Google Scholar] [CrossRef
[9] Chen, J. and Huang, Z. (2021) On a Fast Deterministic Block Kaczmarz Method for Solving Large-Scale Linear Systems. Numerical Algorithms, 89, 1007-1029. [Google Scholar] [CrossRef
[10] Tan, L., Guo, X., Deng, M. and Chen, J. (2025) On the Adaptive Deterministic Block Kaczmarz Method with Momentum for Solving Large-Scale Consistent Linear Systems. Journal of Computational and Applied Mathematics, 457, Article ID: 116328. [Google Scholar] [CrossRef
[11] Alderman, S.J., Luikart, R.W. and Marshall, N.F. (2024) Randomized Kaczmarz with Geometrically Smoothed Momentum. SIAM Journal on Matrix Analysis and Applications, 45, 2287-2313. [Google Scholar] [CrossRef
[12] Davis, T.A. and Hu, Y. (2011) The University of Florida Sparse Matrix Collection. ACM Transactions on Mathematical Software, 38, 1-25. [Google Scholar] [CrossRef