以芳纶Ⅲ纤维为载体通过一步法制备PPy-Fe3O4/F3产物及其吸波性能研究
Preparation of PPy-Fe3O4/F3 Composite via One-Step Method Using Aramid-III Fiber as Carrier and Investigation of Its Microwave Absorption Performance
DOI: 10.12677/ms.2026.162034, PDF, HTML, XML,    科研立项经费支持
作者: 王 哲*, 胡书春, 王 冬, 郭美玲, 钟 琦, 陈旭阳, 冯燕琪:成都工业学院材料与环境工程学院,四川 成都
关键词: 一步法吸波性能聚吡咯四氧化三铁芳纶III纤维One-Step Method Wave Absorption Performance Polypyrrole Ferric Oxide Aramid III Fiber
摘要: 以芳纶Ⅲ纤维(F3)为载体,采用一步制备法和原位合成法分别制备出PPy-Fe3O4/F3和PPy/F3产物,对比研究了PPy/F3和PPy-Fe3O4/F3产物的宏观性状、微观结构与形貌,最后对两种产物的电磁学和吸波性能进行了深入研究。结果表明:相对于原料F3纤维,PPy/F3和PPy-Fe3O4/F3产物的电导率提高了15数量级,且介电损耗能力、磁损耗能力以及阻抗匹配效果得到了显著提升,其中,PPy-Fe3O4/F3产物的吸波性能最为优异,在厚度为4 mm,频率为11.4 GHz时,其最优吸波效果可达−23.5 dB,对应的有效吸收频宽为3.1 GHz。
Abstract: Using aramid III fiber (F3) as the carrier, PPy-Fe3O4/F3 and PPy/F3 products were prepared by one-step preparation method and in-situ synthesis method respectively. The macroscopic properties, microstructures and morphologies of PPy/F3 and PPy-Fe3O4/F3 products were compared and studied. Finally, the electromagnetic and wave absorption properties of the two products were deeply studied. The results show that compared with the raw material F3 fiber, the electrical conductivity of PPy/F3 and PPy-Fe3O4/F3 products has increased by 15 orders of magnitude, and the dielectric loss ability, magnetic loss ability and impedance matching effect have been significantly improved. Among them, the PPy-Fe3O4/F3 product has the best wave absorption performance. When the thickness is 4 mm and the frequency is 11.4 GHz, its optimal wave absorption effect can reach −23.5 dB, and the corresponding effective absorption bandwidth is 3.1 GHz.
文章引用:王哲, 胡书春, 王冬, 郭美玲, 钟琦, 陈旭阳, 冯燕琪. 以芳纶Ⅲ纤维为载体通过一步法制备PPy-Fe3O4/F3产物及其吸波性能研究[J]. 材料科学, 2026, 16(2): 153-164. https://doi.org/10.12677/ms.2026.162034

1. 引言

随着信息技术的迅猛发展,以无线通信设备为代表的电子产品得到大规模普及应用,但这也同时带来了日益严重的电磁污染问题[1] [2]。吸波材料是一种可以减少电磁波反射和传输的材料,在当今的军事领域,随着无线电与雷达技术的不断进步,使得航空飞行器等军事作战武器在现代战场上的生存能力与突防效能受到显著削弱,因此研发高性能的吸波材料已成为一项迫切需求,现如今除了要求其具有强吸收效能外,也应具备轻质、制备简便和力学性能优异的特点[3]-[5]。近年来,在轻质吸波材料领域,聚吡咯(PPy)因制备简便、导电性好、质量轻和耐腐蚀等优点,受到了学者的广泛关注与深入研究[6]。然而,单组分的聚吡咯仅存在导电损耗机制,阻抗匹配性能较差和吸收频带窄的问题,无法满足高性能吸波材料的要求,因此研究人员将研究重点放在聚吡咯与磁性材料复合制备上[7] [8]。在磁性材料中,最具代表性的就是四氧化三铁(Fe3O4),因其成本低、优异的磁性能被广泛熟知。聚吡咯与磁性粒子四氧化三铁的协同作用,使得吸波材料兼具电损耗与磁损耗特性,改善了材料的原有的吸波性能,能够实现对电磁波的高效吸收与衰减[9]-[11]。Yang等[12]通过简单的化学氧化聚合结合溶剂热法制备了PPy/Fe3O4平面微螺旋吸波材料。PPy平面螺旋结构与Fe3O4纳米粒子的结合不仅形成了极佳的阻抗匹配和电/磁耦合效应,而且调节了导电损耗/极化损耗的平衡,有着优异的吸波性能。李凯楠[13]采用共沉淀法与原位聚合法制备出系列PPy/Fe3O4/F3复合吸波材料,结果表面PPy/Fe3O4/F3具有较PPy/F3产物更优的吸波性能,其最小反射损耗在18.0 GHz处达到−27.1 dB,有效吸收宽带为12.2~18.0 GHz,相应的厚度为2.4 mm。

虽然PPy/Fe3O4复合吸波材料有着优异的吸波性能,但也存在制备方法繁琐和力学性能不足的缺点,限制了其在航空飞行器等军事作战武器领域的应用。基于此,研究人员开展了聚吡咯基电磁防护织物的研究工作,以提升其力学性能。于志财等[14]利用Fe3O4纳米分散液对棉织物浸轧,首先获得了Fe3O4棉磁性复合织物,然后将此作为基底材料,采用原位聚合法制备出了磁性Fe3O4/聚吡咯/棉电磁屏蔽复合织物,当吡咯单体摩尔浓度为0.60 mol/L时,该复合材料具有最佳电磁屏蔽性能,在30~500 MHz内电磁屏蔽效能值可达15 dB。相对于棉纤维,芳纶Ⅲ纤维(F3)具有更为优异的综合性能,其拉伸强度可达4.5 GPa,弹性模量可达130 GPa [15] [16]。基于F3优异的力学性能,采用一步制备法,将聚吡咯与Fe3O4粒子一次性合成在纤维表面,不仅可以简化制备流程缩短时间,而且有可能获得兼具优异吸波性能和突出机械力学性能的结构功能一体化复合型吸波材料。

2. 实验

2.1. 实验原料

芳纶Ⅲ纤维(F3),中蓝晨光化工研究设计院有限公司;吡咯(化学纯),上海阿拉丁生化科技股份有限公司;对甲苯磺酸(PTSA)、三氯化铁(FeCl3∙6H2O)、氨水(NH3∙H2O)、硅烷偶联剂(KH550)、无水乙醇均为分析纯,成都科龙化工试剂厂;石蜡(工业级),国药集团化学试剂有限公司;蒸馏水,实验室自制。

2.2. PPy/F3和PPy-Fe3O4/F3产物的制备

2.2.1. PPy/F3产物的制备过程

称取0.4 g处理干净的F3纤维(5 mm左右短纤维),将其加入到180 mL蒸馏水中,充分搅拌至F3纤维分散均匀;向体系中依次加入0.06 mol/L (0.8 mL) Py单体和浓度为0.04 mol/L的PTSA溶液,然后缓慢磁力搅拌40 min (25℃);接着向混合液中滴加20 mL预先配制的FeCl3水溶液(浓度为0.02 mol/L),滴速控制在2 mL/min左右;滴加完毕后,保持缓慢搅拌条件下反应5 h,然后对反应产物进行减压抽滤,并用蒸馏水和无水乙醇交替清洗至洗涤液无色和澄清透明;最后经烘干(55℃, 12 h)处理,得到在F3纤维表面原位聚合有PPy的复合纤维产物,记为PPy/F3。

2.2.2. Fe3O4-PPy/F3产物一步法制备原理及过程

Fe3O4-PPy/F3产物制备原理:将一定量的FeCl3∙6H2O加入到溶液中,一部分Fe3+可以将Py单体氧化聚合成PPy,而Fe3+被还原为Fe2+,剩余没有参加反应的Fe3+和还原成的Fe2+在碱性环境下生成Fe3O4,在整个反应过程中,Fe3+既做氧化剂又作反应物,主要反应如(1)、(2)式:

Fe 3+ + e = Fe 2+ (1)

Fe 2+ +2 Fe 3+ +8 OH = Fe 3 0 4 +4 H 2 O (2)

Figure 1. Schematic diagram of the preparation process of Fe3O4-PPy/F3 product

1. Fe3O4-PPy/F3产物制备流程示意图

Fe3O4-PPy/F3产物制备过程(图1):称取0.4 g处理干净的F3纤维(5 mm左右短纤维),将其加入到150 mL蒸馏水中,充分搅拌至F3纤维分散均匀;向体系中先后加入0.5 mL的Py单体和浓度为0.04 mol/L的PTSA溶液,然后缓慢磁力搅拌40 min (25℃);接着向混合液中加入FeCl3水溶液(4 g FeCl3∙6H2O溶于30 mL蒸馏水中) 30 mL,滴速控制在2 mL/min左右;滴加完毕后,溶液中的F3纤维由黄色逐渐变为黑色,保持缓慢搅拌条件下反应5 h;接着将上述溶液升温至60℃,加快磁力搅拌速度,接着加入20 mL氨水,滴速控制在1 mL/min左右,滴加完毕后,反应1 h,最后加入4 mL的KH-550,再升温至70℃,保温1 h,然后对反应产物进行减压抽滤,并用蒸馏水和无水乙醇交替清洗至洗涤液无色和澄清透明,最后经烘干(55℃, 12 h)处理,得到在F3纤维表面分别合成有PPy和Fe3O4的复合产物,记为Fe3O4-PPy/F3。

2.3. 产物表征与电磁学性能测试

用ZV-E10L型数码相机(索尼)对原料F3纤维和产物的外观性状进行拍摄,并进一步用HELIOS NanoLab 600i型扫描电子显微镜(美国FEI公司,工作电压20 KV)进行微观形貌分析。

用Nicolet 6700型傅里叶红外光谱仪(美国热电尼高力公司)对产物进行化学基团分析,KBr压片,波数范围为400~4000 cm1

用Philips X,Pert PRO型多晶X射线衍射仪(荷兰帕纳科公司)对原料F3纤维和产物做物相与结晶结构分析。辐射光源为Cu-Kα,操作电压为40 KV,操作电流为30 mA,扫描角度范围为10˚~70˚,扫描速率为5˚/min。

将原料F3纤维和产物分别制成直径1 cm的圆片状样品,然后用RTS-9型双电测四探针仪测试电导率。

将原料F3纤维和产物分别与石蜡按质量比3:7混合后,放入专用模具中,在20 MPa载荷下保压2 min得到产物的同轴环(其外径为7 ± 0.02 mm,内径为3.04 ± 0.02 mm,厚度为4 mm左右)。将制备得同轴环,用AV3672C型微波一体化矢量网络分析仪(中国电子科技集团公司)测试在8~12 GHz范围内的复介电常数和复磁导率,测试点数为51点。

3. 结果与讨论

3.1. 产物宏观性状与微观形貌分析

Figure 2. Digital images of raw material F3 fibers (a), product PPy/F3 (b) and PPy- Fe3O4/F3 (c)

2. 原料F3纤维 (a)及产物PPy/F3 (b)和PPy-Fe3O4/F3 (c)的数码图片

图2(a)~(c)分别是原料F3纤维和PPy/F3、Fe3O4-PPy/F3产物的数码图片。从图2中可以看出,原料F3纤维外观呈黄色,蓬松堆积状态(如图2(a)所示),而改性产物PPy/F3和Fe3O4-PPy/F3的堆积状态较原料F3纤维致密,外观呈黑色,分别如图2(b)图2(c)所示。以上结果表明:PPy/F3和Fe3O4-PPy/F3产物的堆积密度高于原料F3纤维,这可能是因为F3纤维表面负载吸波剂颗粒后,提升了改性纤维之间的吸附能力,从而使纤维之间发生团聚现象。另一方面,PPy/F3产物外观呈黑色,由于通过原位聚合法合成的PPy产物呈黑色[17],因此暗示PPy颗粒负载与纤维表面,并对F3纤维骨架形成了致密包裹;Fe3O4-PPy/F3产物外观也呈黑色并且纤维之间团聚现象尤为明显,说明采用一步制备工艺,负载与F3纤维骨架表面的吸波剂量可能大于PPy/F3,并且也对F3纤维形成了致密包裹。图2给出的原料F3纤维和PPy/F3、Fe3O4-PPy/F3产物的SEM图也进一步支持该结论。

Figure 3. SEM images of raw material F3 fibers (a, b), product PPy/F3 (c), (d) and PPy-Fe3O4/F3 (e, f)

3. 原料F3纤维((a, b)及产物PPy/F3 (c, d)和PPy-Fe3O4/F3 (e, f)的SEM图

图3(a)~(f)是原料F3纤维和PPy/F3、Fe3O4-PPy/F3产物的SEM图。从原料F3纤维的SEM图可见,无论是低倍SEM照片(如图3(a)所示)还是高倍SEM照片(如图3(b)所示),都清楚地显示原料F3纤维表面是光洁的。PPy/F3、Fe3O4-PPy/F3产物的SEM图(分别如图3(c)图3(d)图3(e)图3(f)所示)则显示,产物仍呈纤维状,并且被致密的膜层物质包裹,后续FT-IR分析结果证明其为PPy和Fe3O4。在两种产物中,PPy/F3产物无论是低倍还是高倍SEM照片,膜层光滑致密,颗粒细小均匀;而Fe3O4-PPy/F3产物的SEM照片,纤维表面膜层粗糙,颗粒较大,这与Fe3O4负载与纤维表面有很大关系。

3.2. 产物红外光谱分析

图4是PPy/F3与PPy-Fe3O4/F3产物的FT-IR图。从图中可以看出,两种产物在1640 cm1处对应为酰胺基团中的C=O键的伸缩振动(酰胺I谱带),1305 cm1处对应C-N伸缩和N-H弯曲(酰胺Ⅲ谱带),1035 cm1处对应N-H 面内弯曲振动(苯环),966 cm1处对应苯环上C-H的面外弯曲振动,以上为F3纤维的特征吸收峰[18] [19];在1548 cm1处对应醌型结构的C=C伸缩振动[20],1481 cm1和1470 cm1对应于吡咯环的C=C伸缩振动,1400 cm1处对应吡咯环和苯环C=C的特征吸收峰,1187 cm1处C-N+的伸缩振动[21] [22],1035 cm1处是N-H的面内弯曲振动,910 cm1和782 cm1对应吡咯环上C-H的面外弯曲振动[23],以上均为PPy特征衍射峰,说明PPy负载与F3纤维表面;在PPy-Fe3O4/F3产物谱图中,566 cm1处是Fe3O4的Fe-O伸缩振动峰[24],说明采用一步制备法,Fe3O4粒子包裹在了纤维表面。

Figure 4. FT-IR spectra of products PPy/F3 and PPy-Fe3O4/F3

4. PPy/F3和PPy-Fe3O4/F3产物的FT-IR图

3.3. 产物XRD分析

Figure 5. XRD patterns of raw material F3 fibers, product PPy/F3 and PPy-Fe3O4/F3

5. 原料F3纤维及产物PPy/F3和PPy-Fe3O4/F3的XRD图

图5是原料F3纤维和PPy/F3、PPy-Fe3O4/F3产物的XRD图。从图5可以看出,原料F3纤维在2θ = 20.5˚有一个尖峰,对应于F3纤维特征衍射峰(110)晶面,且此峰强度大,峰形窄,保持这较高的结晶度[25];PPy/F3产物在22˚~24.5˚区间现出宽而弥散的衍射峰,这是PPy无定型结构的显著特征,并且也保持着较高的结晶度,由此推断原位聚合法和沉积过程不会对F3纤维的晶体结构产生明显影响,这有益于保持产物优异的机械力学性能[6];PPy-Fe3O4/F3产物同时保留原料F3纤维的晶体衍射峰特征并叠加PPy宽化的衍射峰,表明PPy与原料F3纤维成功复合,在PPy-Fe3O4/F3产物谱图中,出现了一系列尖锐、狭窄的衍射峰,这些尖锐衍射峰在2θ为20.5˚、30.80˚、35.80˚、43.40˚、57.28˚、63.25˚出的6个峰分别对应于Fe3O4立方结构晶型中的(110)、(220)、(311)、(400)、(511)、(440)晶面(JCPDS NO. 19-0629),所有出现的峰都与Fe3O4相符,没有观察到明显的杂质峰(如α-Fe2O3的峰),表明合成的Fe3O4晶相纯度较高,结合图2-SEM表面形貌分析图可知,Fe3O4成功包覆与PPy/F3表面[10] [26]

3.4. 产物电磁分析

Figure 6. ε'-f curves, ε"-f curves and tan δε-f curves of raw material F3 fibers, product PPy/F3 and PPy-Fe3O4/F3

6. 原料F3纤维及产物PPy/F3和PPy-Fe3O4/F3的ε'-f曲线、ε"-f曲线、tan δε-f曲线

图6是原料F3纤维和PPy/F3、PPy-Fe3O4/F3产物在8~12 GHz范围内介电常数实部(ε')、虚部(ε")和介电损耗角正切值(tanδε = ε'/'ε')随频率(f)的变化曲线图。由图(a)可知,原料F3纤维的介电常数实部在2.0~2.09之间,而PPy/F3、PPy-Fe3O4/F3产物介电常数实部分别在2.83~3.0和3.2~3.6之间;由图(b)可知,原料F3纤维的ε"在0.07上下,而PPy/F3、PPy-Fe3O4/F3产物ε"分别在1.43~1.80和2.4~3.04之间,与原料F3纤维相比较,在F3纤维表面合成上PPy和Fe3O4后,ε′和ε"都有一定程度增大,说明导电高聚物PPy和Fe3O4负载与纤维表面使得F3纤维的介电损耗性能得到提升;由图(c)可知,原料F3纤维的损耗角正切值在0.03上下,不具备介电损耗能力,而PPy/F3、PPy-Fe3O4/F3产物tanδε分别在0.50~0.61和0.74~0.85之间,与原料F3纤维相比,PPy/F3、PPy-Fe3O4/F3产物的tanδε在整个频率范围内(8~12 GHz),都表现出优于原料F3纤维,表明两种产物较原料F3纤维呈现更为优异的介电损耗能力,其中PPy-Fe3O4/F3产物表现出最为优异的介电损耗能力。

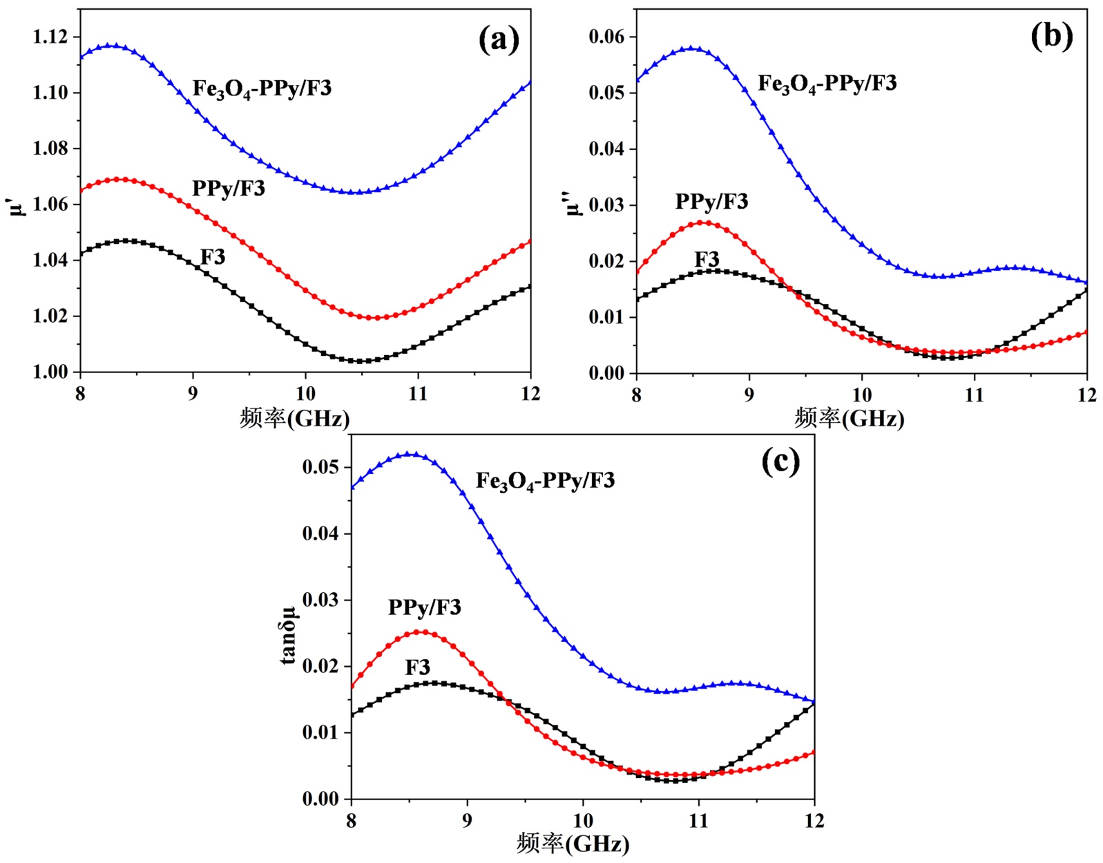
Figure 7. μ'-f curves, μ"-f curves and tanδμ-f curves of raw material F3 fibers, product PPy/F3 and PPy-Fe3O4/F3

7. 原料F3纤维及产物PPy/F3和PPy-Fe3O4/F3的μ'-f曲线、μ"-f曲线、tanδμ-f曲线

图7是原料F3纤维和PPy/F3、PPy-Fe3O4/F3产物在8~12 GHz范围内磁导率实部(μ')、虚部(μ")和磁损耗角正切值(tanδμ = μ'/′μ")随频率(f)的变化曲线图。由图7可知,原料F3纤维的μ'在1.01~1.05之间,μ"与tanδμ近乎为0,表明其不具备磁损耗能力;在两种产物中,PPy/F3的μ'、μ"较F3纤维一定程度增大,但其tanδμ仅在0.003~0.025之间,表明PPy合成在纤维表面,并未赋予产物明显的磁损耗能力,这与PPy是非磁性物质有很大关系,而PPy-Fe3O4/F3产物在整个频率范围内(8~12 GHz),μ'μ"和tanδμ较F3纤维和PPy/F3都增大,说明其具有较好的磁损耗能力,有利于提升产物对电磁波的吸收能力。

吸波材料的目标是减少材料表面反射和提高电磁波吸收率,这主要取决于其阻抗匹配特性和电磁波的衰减能力[4]。理想的吸波材料需要输入阻抗与自由空间阻抗相匹配,当Z值等于1时,Zin = Z0,系统完美达到阻抗匹配状态,此时入射电磁波可完全进入材料内部,这也是电磁波能够显著衰减的前提。在实际情况中,Z值在0.9~1.1之间,就可认为输入的阻抗接近自由空间阻抗,电磁波在材料表面反射较少,电磁波很容易进入材料内部[27]图8(a)是原料F3纤维和PPy/F3、PPy-Fe3O4/F3产物在8~12 GHz范围内的阻抗匹配图。从图中可以看出,原料F3纤维整体阻抗匹配偏离1较远,表面其阻抗匹配较差,大部分电磁波反射回自由空间中,无法有效进入材料内部,无法实现对电磁波的能量损耗;而PPy/F3、PPy-Fe3O4/F3产物的阻抗匹配值在整个频段范围内都接近于1附近,其中PPy-Fe3O4/F3的阻抗匹配值几乎与1持平,进而能够使大部分电磁波有效进入材料内部,表面其具有优异的阻抗匹配特性。

Figure 8. Impedance matching (a) and attenuation constant (b) plots of raw material F3 fibers and composite fiber products PPy/F3 and PPy-Fe3O4/F3

8. 原料F3纤维及复合纤维产物PPy/F3和PPy-Fe3O4/F3的阻抗匹配(a)和衰减因子(b)图

衰减因子(α)描述了材料通过介电损耗和磁损耗对电磁波衰减和耗散的能力,α值越大,才能使进入的电磁波迅速被吸收[4]图8(b)是原料F3纤维和PPy/F3、PPy-Fe3O4/F3产物在8~12 GHz范围内的衰减因子图。从图中可以看出,原料F3纤维的α在整个频段范围内,在10上下稳定徘徊,而PPy/F3、PPy-Fe3O4/F3产物的α,明显优于原料F3纤维;PPy/F3产物的α在90~107.8之间,PPy-Fe3O4/F3产物的α在130~165之间,特别是PPy-Fe3O4/F3的α数值是最高的,表面其对电磁波具有更强的损耗能力。此外,PPy/F3、PPy-Fe3O4/F3产物的衰减因子随频率的升高而增大,这主要是由于电磁波频率升高时,PPy导电网络中自由电荷随电场加速移动,焦耳热损耗增加[28];另一方面,频率升高使界面极化效应增强,电荷弛豫过程滞后于电场变化,能量以热形式耗散,从而显著提升衰减因子[29]。因此,综合考虑衰减能力和阻抗匹配特性,PPy-Fe3O4/F3产物展现出优异的吸波性能。

3.5. 产物吸波性能分析

一般情况下,反射损耗值RL ≤ −10 dB (即表示90%的电磁波被损耗吸收)就可以满足实际应用,因此把RL ≤ −10 dB带宽称为有效吸收带宽。图9是原料F3纤维和PPy/F3、PPy-Fe3O4/F3产物的反射损耗值RL随电磁波频率(8~12 GHz)和材料厚度d (1~5.5 mm)而变化的三维色图。从图中可以看出,在所研究的频率和厚度范围内,原料F3纤维无法获得优于−10 dB的吸波效果;PPy/F3产物在厚度为4.5 mm,频率为11.1 GHz,其最优吸波效果可达−17.8 dB,对应的有效吸收频宽为2.8 GHz (9.2~12 GHz);PPy-Fe3O4/F3产物在厚度为4 mm,频率为11.4 GHz,其最优吸波效果可达−23.5 dB,对应的有效吸收频宽为3.1 GHz (8.9~12 GHz)。由此可知,相对于原料F3纤维,在纤维表面合成PPy和Fe3O4使得产物的吸波性能得到显著提升,其中PPy-Fe3O4/F3产物吸波性能最为优异,有效吸收频宽也是最宽的,这与阻抗匹配和衰减常数的分析研究结果具有一致性。PPy/F3、PPy-Fe3O4/F3产物的吸波性能极大提升主要与电导率的增大和丰富的异质界面以及多层结构有关。依据电导率的测试结果,原料F3纤维是1.60 × 1016 S/cm,PPy/F3产物是0.50 S/cm,PPy-Fe3O4/F3产物是0.75 S/cm,其中原料F3纤维处于绝缘材料范围,而两种产物的电导率相对于F3纤维提升了15个数量级,其中PPy-Fe3O4/F3产物电导率最大,这显著提升了产物的介电损耗能力,有助于将电磁能转化热能或者其他形式能量。其次,F3纤维与PPy、Fe3O4之间丰富的异质界面以及多层结构形成的异质介质界面,产生的界面极化效应也对电磁波有衰减作用。其中,PPy-Fe3O4/F3产物的吸波性能最为优异,除了与其最大电导率有关外,还与Fe3O4的引入不仅使产物拥有磁损耗能力,也提高了其介电损耗能力,增强了对电磁波的衰减,而且F3纤维与PPy、Fe3O4与PPy之间丰富的异质界面以及多层结构,有利于界面极化的发生,也对电磁波有一定的衰减作用,最终导致PPy-Fe3O4/F3产物拥有最为优异的吸波性能。

Figure 9. 3D color maps of reflection loss for raw material F3 fibers (a), product PPy/F3 (b) and PPy-Fe3O4/F3 (c)

9. 原料F3纤维(a)及产物PPy/F3 (b)、PPy-Fe3O4/F3 (c)的反射损耗三维色图

4. 结论

采用一步制备法将具有介电损耗能力的导电PPy和磁损耗能力的Fe3O4分别合成在了F3纤维表面,并对纤维进行了致密包裹。PPy-Fe3O4/F3产物表现出最佳的阻抗匹配特性和电磁波衰减能力,有着最优的吸波性能,在厚度为4 mm,频率为11.4 GHz时,其最优吸波效果可达−23.5 dB,对应的有效吸收频宽为3.1 GHz (8.9~12 GHz)。

基金项目

成都工业学院校级基金项目(2024ZRC018)。

NOTES

*通讯作者。

参考文献

[1] Wang, Z., Yang, T., Zhou, L., Hou, X., Fang, Z. and Hou, Y. (2025) Current Progress and Challenges of Electromagnetic Wave Absorbing Materials at High Temperature. Advanced Science, 12, e04286. [Google Scholar] [CrossRef] [PubMed]
[2] 张晓晓, 吕双影, 李莹莹, 等. 碳纤维基磁性复合吸波材料研究进展[J]. 化工新型材料, 2025, 21(8): 1-7.
[3] 董常熠, 于德梅. 聚吡咯纳米材料在电磁吸波领域的研究进展[J]. 化工新型材料, 2025, 53(5): 48-54.
[4] Guan, C., Su, S., Wang, B., Zhong, J., Chen, J., Sun, F., et al. (2025) Electromagnetic Stealth Technology: A Review of Wave-Absorbing Structures. Materials & Design, 253, Article ID: 113891. [Google Scholar] [CrossRef
[5] Xiang, H., Shi, Y., Yang, Q., Wang, X. and He, Y. (2024) Optimization Design of Honeycomb Absorbing Structure and Its Application in Aircraft Inlet Stealth. Aerospace, 11, Article No. 796. [Google Scholar] [CrossRef
[6] Li, L., Zhang, X. and Wen, B. (2024) Fabrication of One-Dimensional Polypyrrole Nanochains for a High-Efficiency Electromagnetic Wave Absorber with a Low Filler Loading. ACS Applied Polymer Materials, 6, 5653-5661. [Google Scholar] [CrossRef
[7] Dai, Y., Zhang, X., Wen, B. and Du, Q. (2022) Facile Synthesis of Polypyrrole Nanoparticles with Tunable Conductivity for Efficient Electromagnetic Wave Absorption and Shielding Performance. CrystEngComm, 24, 3287-3296. [Google Scholar] [CrossRef
[8] Tian, X., Xu, X., Bo, G., Su, X., Yan, J. and Yan, Y. (2022) A 3D Flower-Like Fe3O4@ppy Composite with Core-Shell Heterostructure as a Lightweight and Efficient Microwave Absorbent. Journal of Alloys and Compounds, 923, Article ID: 166416. [Google Scholar] [CrossRef
[9] 韩广兵, 李辉, 高成勇, 等. Fe3O4基电磁波吸收材料的研究进展[J]. 物理实验, 2024, 44(12): 1-12.
[10] Liu, T., Zhang, N., Zhang, K., Wang, Y., Qi, Y. and Zong, M. (2022) Multi-Components Matching Manipulation of MXene/PPy@β2-SiW11Co/Fe3O4 Nanocomposites for Enhancing Electromagnetic Wave Absorption Performance. Composites Part A: Applied Science and Manufacturing, 159, Article ID: 107020. [Google Scholar] [CrossRef
[11] Cheng, S., Jia, R., Yin, B., Shang, W. and Liu, S. (2025) Controllable Fabrication of MnCo2O4@ Polypyrrole@ MXene Ternary Composites for Electromagnetic Wave Absorption. Journal of Applied Polymer Science, 142, e56724. [Google Scholar] [CrossRef
[12] Yang, X., Fan, B., Tang, X., Wang, J., Tong, G., Chen, D., et al. (2022) Interface Modulation of Chiral PPy/Fe3O4 Planar Microhelixes to Achieve Electric/magnetic-Coupling and Wide-Band Microwave Absorption. Chemical Engineering Journal, 430, Article ID: 132747. [Google Scholar] [CrossRef
[13] 李凯楠. 对芳纶Ⅲ纤维的原位负载改性及产物吸波性能研究[D]: [硕士学位论文]. 成都: 西南交通大学, 2019.
[14] 于志财, 何华玲, 王朝生, 等. Fe3O4与聚吡咯对棉织物的防电磁辐射整理及屏蔽效能研究[J]. 丝绸, 2018, 55(2): 19-24.
[15] Liu, F., Li, F., Li, X., Tian, H. and Lei, X. (2024) Tensile and Interfacial Mechanical Properties for Single Aramid III Fibers under Dynamic Loading. Polymers, 16, Article No. 804. [Google Scholar] [CrossRef] [PubMed]
[16] Zhou, B., Wang, X., Wang, Z., Zhang, O., Jiang, Y. and Tan, L. (2024) Enhancement of Antimicrobial and UV Resistant Properties of Aramid III Fiber through Surface Coating. Progress in Organic Coatings, 189, Article ID: 108317. [Google Scholar] [CrossRef
[17] 李凯楠, 李晓冬, 胡书春, 等. 聚吡咯在芳纶Ⅲ纤维表面的原位合成及产物吸波性能研究[J]. 化工新型材料, 2020, 48(8): 130-136.
[18] Qi, G., Zhang, B. and Du, S. (2018) Assessment of F-III and F-12 Aramid Fiber/Epoxy Interfacial Adhesions Based on Fiber Bundle Specimens. Composites Part A: Applied Science and Manufacturing, 112, 549-557. [Google Scholar] [CrossRef
[19] 孟凡瑞, 尹博雅, 罗雨轩, 等. 对位芳纶纤维增强聚氨酯改性环氧树脂复合材料的制备[J]. 纺织报告, 2025, 44(4): 4-8.
[20] Islam, R., Sood, Y., Mudila, H., Ohlan, A. and Kumar, A. (2024) Microwave Absorbing Properties of Polypyrrole-Based 2D Nanocomposites. Journal of Materials Chemistry A, 12, 31004-31027. [Google Scholar] [CrossRef
[21] 段浩杰. PPy/Fe2O3/棉柔性复合吸波材料的制备及其多功能性研究[D]: [硕士学位论文]. 天津: 天津工业大学, 2024.
[22] Mao, D., Zhang, Z., Yang, M., Wang, Z., Yu, R. and Wang, D. (2023) Constructing BaTiO3/TiO2@polypyrrole Composites with Hollow Multishelled Structure for Enhanced Electromagnetic Wave Absorbing Properties. International Journal of Minerals, Metallurgy and Materials, 30, 581-590. [Google Scholar] [CrossRef
[23] 邹薛佑, 焦馨宇, 刘元军. 樟脑磺酸掺杂聚吡咯的聚乙烯短丝土工布吸波材料制备[J]. 棉纺织技术, 2025, 23(6): 1-7.
[24] Zhang, L., Liu, Y., Rehman, S.U., Wang, L., Chen, Y., et al. (2023) In Situ Synthesis of Fe3O4 Coated on Iron-Based Magnetic Microwave Absorbing Materials and the Influence of Oxide Magnetic Materials on Microwave Absorption Mechanism. Ceramics International, 49, 12972-12979. [Google Scholar] [CrossRef
[25] 张静, 秦鹏华, 杜志林, 等. 新型载银对位芳纶抗菌纤维的制备及其性能研究[J]. 化工新型材料, 2025, 27(9): 1-7.
[26] Li, Y., Duan, Y. and Kang, X. (2021) Multi-Scale Integrated Design and Fabrication of Ultrathin Broadband Microwave Absorption Utilizing Carbon Fiber/Prussian Blue/Fe3O4-Based Lossy Lattice Metamaterial. Journal of Materials Chemistry C, 9, 6316-6323. [Google Scholar] [CrossRef
[27] Chen, G., Li, Z., Zhang, L., Chang, Q., Chen, X., Fan, X., et al. (2024) Mechanisms, Design, and Fabrication Strategies for Emerging Electromagnetic Wave-Absorbing Materials. Cell Reports Physical Science, 5, Article ID: 102097. [Google Scholar] [CrossRef
[28] 杨越, 朱曜峰. 核壳结构铁/碳化铁@碳@聚苯胺多相复合吸波材料的制备及吸波性能[J]. 浙江理工大学学报, 2023, 49(5): 550-559.
[29] Shen, Y.Q., et al. (2024) Fabrication and Microwave Absorbing Properties of FeCoNiAl@ C/CCB/NR Absorbing Patches. Journal of Functional Materials, 55, 9118-9126.