车载Buck-LLC变换器双闭环控制策略研究
Research on Dual-Closed-Loop Control Strategy for On-Board Buck-LLC Converter
摘要: 针对车载辅助电源在宽输入电压范围下对高动态响应和高稳定性的需求,本文以Buck-LLC两级式变换器为研究对象,提出一种基于模型预测控制与自抗扰控制的双闭环复合控制策略。首先,利用后级LLC谐振电路在准谐振状态下的直流变压器特性,提出一种简化模型预测控制内环算法,通过输出电压折算值替代中间母线电压采样,实现了电感电流的无差拍跟踪并减少了采样电路。其次,针对外环ADRC控制器,引入粒子群算法进行控制参数的离线全局寻优,解决了传统自抗扰控制参数整定困难的问题。Matlab/ Simulink仿真结果表明:相比于传统双PI控制,该策略在输入电压剧烈波动及负载突变工况下,超调量显著减小,调节速度变快。此外,该策略对电感参数摄动(±20%)表现出极强的容错能力,有效克服了传统MPC对模型精度依赖性高的缺陷,具有较高的工程应用价值。
Abstract: To address the requirements for high dynamic response and stability of on-board auxiliary power supplies across a wide input voltage range, this paper investigates the Buck-LLC two-stage converter and proposes a dual-closed-loop composite control strategy based on Model Predictive Control (MPC) and Active Disturbance Rejection Control (ADRC). Firstly, leveraging the “DC transformer” characteristics of the subsequent LLC resonant circuit in the quasi-resonant state, a simplified MPC inner-loop algorithm is proposed. By utilizing the converted output voltage value instead of intermediate bus voltage sampling, deadbeat tracking of the inductor current is achieved while the sampling circuitry is simplified. Secondly, for the ADRC outer-loop controller, the Particle Swarm Optimization (PSO) algorithm is introduced for offline global parameter optimization, overcoming the tuning difficulties associated with traditional ADRC. Matlab/Simulink simulation results indicate that, compared with traditional dual-PI control, the proposed strategy significantly reduces overshoot and shortens regulation time under drastic input voltage fluctuations and load transients. Furthermore, the strategy exhibits excellent robustness against inductor parameter perturbations (±20%), effectively addressing the high model-accuracy dependency of traditional MPC and demonstrating significant engineering application value.
文章引用:匡梓国, 刘胜永. 车载Buck-LLC变换器双闭环控制策略研究[J]. 建模与仿真, 2026, 15(2): 60-71. https://doi.org/10.12677/mos.2026.152034

1. 引言

随着我国能源结构转型的迫切需求以及新能源“三电技术”不断创新突破的驱动下,我国商用车领域电动化进程显著提速,特别是在城市配送、港口码头等场景中表现尤为突出。车载辅助电源作为连接高压动力电池侧和低压负载侧能量传输的桥梁,其性能直接影响整车的可靠性。电动卡车的高压动力电池输出电压波动范围较宽,要求车载辅助电源具有宽范围调压、效率高及可靠性强等特点[1]

两级式DC-DC变换器因其宽范围调压和高效率电气隔离优势,在车载辅助电源领域得到了广泛应用。文献[2] [3]提出的Boost-LLC变换器虽然能够进行宽范围调压,但在高压应用中存在母线电压选型难等问题;文献[4] [5]提出的桥臂集成四开关Buck-Boost LLC变换器虽有利于效率优化,但却存在桥臂中点电压不对称及轻载效率较低等问题。相比之下,Buck-LLC变换器利用前级Buck电路进行预调节,后级LLC谐振电路作为直流变压器,不仅结构简洁,且具备低电流纹波特性,更适用于高精度供电场景[6]

然而,Buck-LLC变换器作为强耦合非线性系统,在面对宽范围输入电压剧烈波动或负载突变时,传统PI控制往往难以兼顾动态响应速度与抗干扰能力,易出现电压超调大、调节时间长等问题。为了解决这些问题,本文针对Buck-LLC变换器控制策略进行优化,构建了由电流内环模型预测控制(Model Predictive Control, MPC)与电压外环自抗扰控制(Active Disturbance Rejection Control, ADRC)组成的复合双闭环控制系统,并利用粒子群算法(Particle Swarm Optimization, PSO)对ADRC控制器参数离线全局寻优[7],最后通过Matlab/Simulink平台搭建变换器及控制器进行仿真实验,验证本文所提出控制策略的有效性。

2. Buck-LLC变换器拓扑及工作原理

2.1. 变换器拓扑

由Buck电路和LLC谐振电路构成的两级式DC-DC变换器拓扑如图1所示。前级Buck电路由开关管Q1、Q2、输出滤波电感L1和中间母线电容Cbus构成;其核心功能是作为电压调节级,通过调节占空比D1抵消输入电压Vin的波动,为后级电路提供稳定的直流电压。后级LLC谐振电路包含开关管S1~S4构成的全桥逆变网络、谐振电感Lr、励磁电感Lm及谐振电容Cr构成的谐振网络、变压器T (变比为n:1)以及副边SR1、SR2同步整流网络。Buck-LLC变换器中间母线电容Cbus与输出滤波电感L1构成LC低通滤波器,在平抑电压纹波的同时,作为后级LLC谐振电路的储能输入源,实现了前后级拓扑在动态特性上的完全解耦,极大地增强了系统的控制稳定性[8]

Figure 1. Buck-LLC converter

1. Buck-LLC变换器

2.2. 变换器工作原理

Buck电路开关管Q1、Q2以占空比D1互补导通,通过调节占空比D1的大小,可使输出端口电压Vbus在宽范围输入条件下保持恒定,从而为后级全桥LLC谐振电路提供稳定的中间母线电压。在工作中,Buck电路存在电感电流连续导通模式(Continuous Conduction Mode, CCM)、临界导通模式及断续模式这3种模式。对于大功率应用,CCM模式具有更高的效率,本文仅对CCM模式进行分析。当Buck电感电流处于CCM模式时,Buck电路的输出电压为:

V bus = D 1 V in (1)

在前级Buck电路可以维持输出稳定电压的情况下,后级LLC谐振电路可以针对固定的输入电压进行参数优化,系统运行时具有高转换效率的性能优势。LLC谐振电路开关管S1、S4与S2、S3以固定占空比D2 (D2 = 0.5)互补导通。对于LLC谐振电路,其有两个谐振频率,分别为两元件谐振频率fr和三元件谐振频率fm

f r = 1 2π L r C r (2)

f m = 1 2π ( L r + L m ) C r (3)

由于存在两个谐振频率,在额定负载条件下,开关频率的不同会使LLC谐振电路在工作时位于不同的频率区间,即 f s < f m f m < f s < f r f s > f r 。运用基波分析法可得到LLC谐振电路的直流增益为

M dc ( k, f n ,Q )= 1 2n ( ( 1+ 1 k 1 k f n 2 ) 2 + Q 2 ( f n 1 f n ) 2 ) 1 (4)

式中:k为电感系数比, k= L m / L r fn为归一化频率, f n = f s / f r Q为品质因数, Q= π 3 f r L r / 4 n 2 R load 。由式(4)可以看出直流电压增益MdckfnQ、匝比n紧密相关。为了直观地分析这些参数对Mdc的影响,利用Matlab软件可绘制出LLC谐振电路直流增益曲线,如图2所示。

图2可见,当 f s = f r (即 f n =1 )时,LLC谐振电路增益不受负载变化的影响,LLC谐振电路的输出电压仅由变压器的变比决定。当LLC谐振电路处于这种工作模式时,LLC谐振电路的谐振电流和励磁电流在整个周期中都不相同,谐振腔一直向次级传递能量,LLC谐振电路效率最高。因此LLC谐振电路可以采用开环定频控制策略,开关控制频率为两元件谐振频率,此时LLC谐振电路等效为一个直流变压器[9]。而两级式DC-DC变换器输出电压可以通过调节的Buck电路占空比D1来调节。

Figure 2. Voltage gain characteristic curves of LLC resonant circuit

2. LLC谐振电路电压增益特性曲线

3. 双闭环控制策略

针对车载辅助电源对瞬态响应性能与稳态精度的双重需求,变换器的控制策略为基于电感电流iL的电流MPC内环和输出电压Vout的电压ADRC外环的双闭环复合控制方式,相比基于双闭环PI控制方式,该控制策略具有更好的动态性能。变换器的控制框图如图3所示。

Figure 3. Control block diagram of Buck-LLC converter

3. Buck-LLC变换器控制框图

该双闭环控制策略遵循时标分离原则,利用内、外环在控制频率与动力学响应速度上的互补优势。内环电流采样频率高、变化快,采用MPC能够利用预测模型提前规划控制量,实现电流的无差拍跟踪;外环电压受负载突变、输入电压波动等低频干扰影响,通过引入ADRC控制器,利用其扩张状态观测器(Extended State Observer, ESO)将内环模型不确定性与外部扰动统一视为“总扰动”进行实时补偿,从而弥补了MPC对物理模型精度依赖过高的缺陷。

3.1. 基于MPC的电流内环设计

为了提高车载Buck-LLC变换器在宽输入电压范围下的动态响应速度和稳态精度,本文电流内环控制器采用连续集模型预测控制(Continuous Control Set Model Predictive Control, CCS-MPC)。相比于有限集模型预测控制,CCS-MPC通过输出连续的占空比信号并配合PWM调制,能够保证开关频率恒定,有利于后级LLC谐振电路的稳定运行。

在CCM模式下,Buck电路在一个开关周期Ts内存在两种工况。定义电感电流iL为状态变量。工况1:开关管Q1导通,Q2关断。此时电感L1连接至输入电压Vin,根据基尔霍夫电压定律,状态方程为:

L 1 d i L dt = V in V bus ( 0<t<d T s ) (5)

式中,d为开关管占空比,Vbus为中间母线电压。

工况2:开关管Q1关断,Q2导通。电感通过开关管Q2进行能量释放,状态方程为:

L 1 d i L dt = V bus ( d T s <t< T s ) (6)

根据状态空间平均法,对上述两个子模态进行加权平均,得到一个开关周期内的平均状态方程:

L 1 d i L dt =d V in V bus (7)

在级联拓扑中,Vbus的实时采样不仅增加采样电路设计难度,且易受高压侧电磁干扰。考虑到后级LLC谐振电路处于定频开环模式,具有稳定的直流增益特性。本文提出利用输出电压Vout折算值替代中间母线电压采样值:

V bus n V out (8)

式中,n为变压器原副边匝比。

将式(8)代入式(7),并采用前向欧拉法对平均模型进行离散化处理,得到电流预测方程:

i L ( k+1 )= i L ( k )+ T s L 1 [ d( k ) V in ( k )n V out ( k ) ] (9)

电流内环的控制目标是使下一采样时刻的电流预测值iL(k+1)实时跟踪参考电流iref(k)。为此,构建如下二次型代价函数J

J= [ i L ( k+1 ) i ref ( k ) ] 2 (10)

为了求得代价函数J的最小值,令Jd(k)的偏导数为0,有:

J d( k ) =2[ i L ( k+1 ) i ref ( k ) ] i L ( k+1 ) d( k ) =0 (11)

其中,电感电流预测值对占空比的偏导数为:

i L ( k+1 ) D( k ) = T s V in ( k ) L 1 (12)

联立式(9)、(12),求取满足条件的解,有:

d( k )= L 1 [ i ref ( k ) i L ( k ) ] T s V in ( k ) + n V out ( k ) V in ( k ) (13)

为了验证式(13)得到的解是否能够使代价函数J取得最小值,对其进行二阶导数判别。对式(11)再次关于d(k)求导,得:

2 J d ( k ) 2 = d( k ) [ 2[ i L ( k+1 ) i ref ( k ) ] T s V in ( k ) L 1 ]=2 i L ( k+1 ) d( k ) T s V in ( k ) L 1 (14)

将式(12)代入式(14),得到二阶导数满足:

2 J d ( k ) 2 =2 ( T s V in ( k ) L 1 ) 2 >0 (15)

综上所述,式(13)所得解d(k)即为CCS-MPC的预测最优控制律。由上文可知,开关管Q1与Q2采取互补导通模式,令开关管Q1的控制占空比D1 = d(k)。该控制量经PWM发生器转换后,控制变换器开关管交替导通与关断,从而实现对电感电流iL的控制。

功率MOSFET在高频切换时存在开启延迟与关断延迟,为了保证驱动电路的正常工作,并预留足够的A/D采样时间,开关管的导通和关断持续时间均应大于其最小动态响应时间(通常为150 ns左右)。对于开关频率为50 kHz的Buck电路,一个完整的开关周期Ts为20 μs。若最小脉宽限制为150 ns,则对应的最小占空比限制Dmin为:

D min = 150× 10 9 20× 10 9 =0.0075 (16)

同理,最大有效占空比限制为 D max =10.0075=0.9925

若最优控制律计算出的d(k)超出上述物理约束范围,计算结果将毫无意义,甚至可能导致变换器失去工作模态的切换能力。因此,本文引入一种修正环节,将输出控制量限制在有效区间内:

{ D 1 =0.0075 d( k )<0.0075 D 1 =d( k ) 0.0075<d( k )<0.9925 D 1 =0.9925 d( k )>0.9925 (17)

此时MPC算法避免了一个开关周期Ts内开关管Q1、Q2始终保持开通或关断的情况,实现了工况正常切换。值得注意的是,MPC算法的控制性能高度依赖于模型参数(如电感L1)的准确性。在实际运行中,电感可能因磁饱和或器件偏差导致感值发生±20%以上的偏差。从控制律式(13)可以看出,当实际电感值偏离模型理想值时,电流预测值iL(k + 1)与实际值之间会产生稳态偏差。然而,在本文设计的双闭环控制结构中,这种因“模型失配”引起的电流跟踪误差会被外环ADRC视为系统的一种内部扰动。ADRC的核心在于扩张状态观测器(ESO),它能够将内环预测残差、参数非线性波动及外部负载跳变统一归结为总扰动进行实时观测,并自动调节电流参考值iref进行反向补偿。这种“预测驱动内环 + 自抗扰修正外环”的机制,降低了系统对电感参数精确度的依赖,确保了系统在参数失配下的稳定性。

3.2. 基于ADRC的电压外环设计

对于恒压对外充电工况,变换器的控制目标是保持输出电压恒定,因此需要在内部电流控制的基础上引入电压控制,电压外环控制器通过调节电流内环参考值实现输出电压的控制。本文采用一阶线性ADRC设计电压外环,将负载突变、输入波动及内环模型误差统一视为总扰动进行观测和补偿。变换器输出电压动态方程为:

C o d V out dt = i sec V out R load (18)

式中,isec为LLC谐振电路输出整流电流。考虑到LLC谐振电路的传输效率 η 和变比n,存在关系 i sec nη i L 。将(18)式改写为以电流内环iL为控制输入u的一阶微分方程,同时在微分方程中引入扰动 δ ,得到被控对象为:

d V out dt = nη C o i L V out C o R load +δ (19)

取状态空间变量 x 1 = V out x 2 =( nη C o b 0 ) i L V out C o R load +δ x2为系统总扰动。令 u= i L , x 2 =f ,构建状态空间方程为:

{ x ˙ 1 = b 0 u+ x 2 x ˙ 2 =h y= x 1 (20)

电压外环控制闭环框图如图4所示,其核心思想是将内部扰动和外部扰动组合起来视为变换器的总扰动,通过扩张状态观测器对系统受到的总扰动进行实时估计,并利用状态误差反馈控制律对系统进行补偿和控制。图中Gi-close为电流内环闭环传递函数,Gvi为输出电流到输出电压的传递函数。由于电流内环响应时间远小于电压外环响应时间,则在电压控制外环中,可以认为Gi-close = 1。

Figure 4. Closed-loop block diagram of voltage outer loop control

4. 电压外环控制闭环框图

根据系统(20)设计式(21)扩张状态观测器:

{ z ˙ =[ β 1 1 β 2 0 ]z+[ b 0 β 1 0 β 2 ][ u y ] y ^ =[ 1 0 0 1 ]z (21)

式中,z = [z1 z2]Tz1为输出电压观测值,z2为系统总扰动观测值;β1β2为误差反馈增益系数;b0为系统控制增益估计值;u为电流内环输入控制量即电流参考值;y为系统实际输出电压。根据带宽法将误差反馈增益系数配置为 β 1 =2 w 0 β 2 = w 0 2 w0为扩张状态观测器带宽。

将扩张状态观测器的观测值和得到的总扰动实时补偿到控制量上,那么状态误差反馈控制律即可设置为:

u= k p ( r z 1 ) z 2 b 0 (22)

式中,kp为比例系数。

根据上述分析可知,设计外环ADRC控制器参数,只需要整定b0w0kp三个值,减小了控制器的复杂程度。相比于遗传算法或其他优化算法,粒子群算法PSO结构简单、容易实现、且具备“历史记忆”机制,在处理控制参数搜索时比遗传算法收敛更快。为了兼顾控制性能与实时性,本文采用PSO对外环ADRC控制器参数进行离线全局寻优,在设计阶段利用Matlab/Simulink中搭建Buck-LLC的变换器仿真模型,在额定工况下获取控制器最优参数组合并作用于其中。这种方式既保证了控制器在宽工作范围内的初始性能,又避免了控制芯片在实时运行中因大规模搜索计算而产生指令延迟。适应度函数选取是PSO算法优化控制器参数的关键。本文选用ITAE性能指标作为粒子适应度函数,适应度越小的粒子其控制器参数决定的控制器性能越好,其表达式为

ITAE= 0 T t| e( t ) |d t (23)

式中,T为仿真时间;e(t)为参考值与实际值的差值。为避免无效寻优,将计算得到的参数初值作为寻优初始值,将寻优空间设置在初始值的上下一个数量级内,如表1所示。

Table 1. Optimization search space

1. 寻优空间

参数

最小值

未寻优初始值

最大值

kp

103

1028

10,280

w0

2014

20,142

201,420

b0

42

417

4170

PSO算法中的惯性权重ω和学习因子c的取值直接影响寻优结果的好坏。惯性权重ω能够体现粒子继承先前粒子速度的能力,权值越大在全局搜索方面效果越好,权值越小在对于局部搜索方面效果越好。学习因子c决定了粒子本身的经验信息与其他粒子经验信息之间的影响,二者共同作用于粒子的运动轨迹,同权值一样,不同的学习因子分别会对全局寻优能力和局部寻优能力产生不同的影响[10]。为有效地控制粒子的飞行速度,使算法在全局搜索与局部搜索两者之间达到平衡,拟采用压缩因子法改进PSO算法,防止粒子在寻优过程中发生“早熟”,确保PSO算法的收敛性。将PSO算法中的惯性权重ω、个体学习因子c1、群体学习因子c2设置为

ω=0.9 c 1 = c 2 =2 (24)

在Matlab/Simulink中运行仿真模型,经过80次迭代后获得如图5所示的最优个体适应值迭代图。

Figure 5. Iterative graph of optimal fitness value

5. 最优适应值迭代图

图5可知,迭代到50次时,控制器的适应值已基本稳定。由于PSO算法易“早熟”的特性,本文进行了多次仿真以避免偶然性,最终得到经PSO优化后的控制器参数。

k p =2577.3 w 0 =194409.75 b 0 =3830 (25)

4. 仿真验证

为验证Buck-LLC变换器基于电感电流MPC内环加输出电压ADRC外环的双闭环控制策略的准确性,使用Matlab/Simulink对该控制策略进行仿真验证,并与PI-PI控制器结果进行对比。设计变换器主要参数如表2所示。

Table 2. Main parameters of Buck-LLC converter

2. Buck-LLC变换器主要参数

模型参数

数值

输入电压Vin/V

420~613 (额定电压540)

Buck滤波电感L1/μH

480

Buck输出电容Cbus/μF

2

Buck开关频率fBuck/kHz

50

LLC励磁电感Lm/μH

107.8

LLC谐振电感Lr/μH

13.5

LLC谐振电容Cr/nF

188

LLC变压器变比n

12:1

LLC输出电容Co/mF

15.107

LLC开关频率fLLC/kHz

100

输出电压Vout/V

24

输出最大功率P/kW

3

4.1. 稳态仿真分析

根据表2的参数,设定Buck-LLC变换器输入额定电压540 V,输出电压24 V,额定功率3 kW,对MPC-ADRC控制器进行仿真验证,并与PI-PI控制器结果进行对比,如图6所示。PI-PI控制器的超调量达到了约1.5 V,而MPC-ADRC控制器几乎无超调,且趋于稳态的调节时间远小于PI-PI控制器,证明MPC-ADRC控制器拥有更快的动态响应速度和调节能力。

当变换器进入稳态运行阶段时,LLC谐振电路工作在准谐振状态,如图7(a)所示。此时,开关频率fs等于谐振频率fr,系统电压增益恒定为1,LLC谐振电路等效于一个直流变压器。从图7(b)可以看出,开关管驱动信号Vg1变为高电平之前,漏源电压Vds已预先降至零。这表明电流在死区时间内已通过MOSFET的体二极管进行续流,实现了原边开关管的零电压开通(Zero Voltage Switching, ZVS),显著降低了高频下的开关损耗。从图7(c)可以看出,副边整流二极管电流is1is2呈正弦半波形状。在电流自然过零时,由于谐振电流ir和励磁电流im已相等,二极管在电流降至零时自动关断。这种零电流关断(Zero Current Switching, ZCS)特性完全消除了二极管的反向恢复问题,进一步提升了变换器的整体转换效率。

Figure 6. A classic example of spatial data sets

6. 空间数据集经典例子

Figure 7. Quasi-resonant waveforms of LLC resonant circuit

7. LLC谐振电路准谐振波形图

4.2. 宽输入电压控制性能仿真分析

车载Buck-LLC变换器根据车辆剩余电量情况,其直流母线输入电压在420 V~613 V间浮动,图8(a)~(c)分别为最小输入电压、额定输入电压、最高输入电压3种情况下的输出电压Vout波形图、电感电流iL波形图以及开关管Q1、Q2导通情况。在最小输入电压420 V、额定输入电压540 V以及最高输入电压613 V三种典型工况下,采用本文提出的MPC-ADRC控制策略均能保持输出电压Vout稳定在24 V附近,且电压纹波较小。同时,电感电流iL随着输入电压的变化均能调整其平均值以匹配功率需求,实现了电感电流的无差拍跟踪。开关管Q1与Q2的驱动信号互补导通,变换器输入电压升高,调节其占空比以维持输出电压稳定。结果证明,MPC-ADRC控制器在面对宽范围输入电压波动时,能够有效抑制电压脉动,确保了系统在不同工况下均具有较小的稳态误差和强鲁棒性。

在变换器稳态工作时进行模拟负载突变仿真实验,用电阻阻值变化替代真实负载变化进行仿真。将仿真时长均设为0.15 s,仿真在0.05 s时将负载由满载切换至半载,再在0.1 s时将负载由半载切换至满载,结果如图9所示。当负载从满载突变至半载,MPC-ADRC控制器输出电压波动0.2 V,恢复时间2 ms,PI-PI控制器输出电压波动0.43 V,恢复时间7 ms;从半载突变到满载的过程中,MPC-ADRC控制器输出电压波动0.2 V,恢复时间1.2 ms,PI-PI控制器输出电压波动0.45 V,恢复时间8 ms。结果证明MPC-ADRC控制器在应对负载跳变时电压波动更小,调节时间更短,效果要优于PI-PI控制器。

Figure 8. Vout and iL waveforms and switch conduction states under different input voltages

8. 不同输入电压下的VoutiL波形及开关管导通情况

Figure 9. Output voltage response waveforms under load step change

9. 负载跳变时输出电压响应波形图

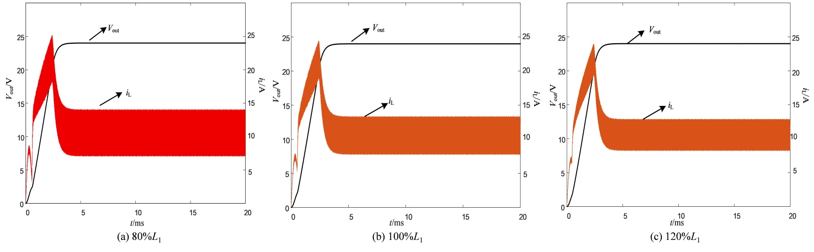
4.3. 参数鲁棒性仿真分析

为进一步验证MPC对模型参数敏感性的容错能力,在保持控制器参数不变的前提下,人为改变仿真模型中的Buck滤波电感L1参数值进行对比实验。设置电感值为标称值的80% (模拟磁饱和工况)、100% (正常工况)、120% (模拟器件偏差工况),观察输出电压Vout的稳态响应,仿真结果如图10所示。

仿真结果表明,即便在电感值波动的极端工况下,由于外环ADRC能够迅速观测并补偿预测误差,输出电压Vout依然能稳定在24 V,且调节过程平稳,未出现高频振荡或系统发散现象。实验证明,所提控制策略在Buck滤波电感L1参数值发生显著漂移时仍具备极强的抗干扰能力和工作稳定性。

Figure 10. Response waveforms of Vout and inductor current with variable Buck filter inductance L1

10. Buck滤波电感L1变化时输出电压及电感电流响应波形图

5. 结论

本文通过状态空间平均法对Buck-LLC变换器进行建模,提出一种基于模型预测控制(MPC)内环与自抗扰控制(ADRC)外环的双闭环复合控制策略。该策略充分利用后级LLC谐振电路的直流变压器特性简化了内环预测算法,并引入粒子群算法实现了外环ADRC控制参数的离线全局寻优。这种“离线寻优、在线应用”的设计方案,在保证控制系统实时性的同时,实现了控制参数在全局范围内的最优整定。仿真结果表明,该控制策略在实现后级LLC谐振电路原边开关管ZVS与副边二极管ZCS的基础上,有效抑制了宽输入电压下的输出波动,显著优化了变换器在负载突变时的动态响应速度与抗干扰能力。此外,针对传统模型预测控制对模型参数敏感的局限性,本文通过理论分析与对比仿真进一步证实,该复合策略对内环物理参数(如电感饱和或老化导致的波动)展现出较强的容错能力,克服了传统单环MPC算法鲁棒性较差的缺陷。最后,通过Matlab/Simulink仿真验证了所提控制策略的正确性与可行性,证明该方案在车载辅助电源领域具有较高的工程应用价值。

NOTES

*通讯作者。

参考文献

[1] 董雨坤, 刘俊峰, 周浩, 等. 一种应用于车载辅助电源的DC-DC变换器[J]. 电源学报, 2024, 22(4): 20-28.
[2] 荀荷惠, 沈汉鑫, 苏坚坚, 等. 基于PWM + PFM控制的两级DC-DC变换器效率优化[J]. 电源技术, 2022, 46(2): 197-200.
[3] Cui, J., Liu, Z., Zhang, J. and Ma, Y. (2024) Design of DC/DC Power Supply Based on Dual Loop Fixed Frequency Control Strategy. 2024 6th Asia Energy and Electrical Engineering Symposium (AEEES), Chengdu, 28-31 March 2024, 152-156. [Google Scholar] [CrossRef
[4] 周国华, 邱森林, 张小兵. 宽增益高效率级联式四开关Buck-Boost LLC变换器[J]. 电工技术学报, 2024, 39(4): 1103-1115.
[5] Zhao, Y., Liu, F. and Ruan, X. (2025) An Adaptive Duty Cycle Compensation Scheme for Bridge-Arm Reused Buck-Boost + LLC Converter. 2025 IEEE 15th International Conference on Power Electronics and Drive Systems (PEDS), Penang, 21-24 July 2025, 1-5. [Google Scholar] [CrossRef
[6] 张士顺. 车载两级式Buck-LLC变换器研究[D]: [硕士学位论文]. 南京: 南京理工大学, 2023.
[7] 韩锟, 马晓慧, 李蔚. 飞跨电容型三电平Buck变换器双闭环控制研究[J]. 铁道科学与工程学报, 2025, 22(2): 829-840.
[8] 杨佳祺. 数字控制两级式DC/DC谐振变换器研制[D]: [硕士学位论文]. 重庆: 重庆理工大学, 2025.
[9] 李劲晖, 贲洪奇, 朱俊函, 等. 一种组合式宽输入高效率DC-DC变换器[J]. 电机与控制学报, 2024, 28(3): 13-23.
[10] 马学东. 光储充放系统储能侧双向DC-DC变换器及其控制策略研究[D]: [硕士学位论文]. 柳州: 广西科技大学, 2025.