基于不同类型有机朗肯循环的内燃机余热发电系统性能对比分析
Comparative Analysis of Performance of Internal Combustion Engine Waste Heat Power Generation Systems Based on Different Types of Organic Rankine Cycles
DOI: 10.12677/se.2026.161005, PDF, HTML, XML,   
作者: 王 伟, 吕欣淼, 吴玉庭:北京工业大学机械与能源工程学院,北京;传热与能源利用北京市重点实验室,北京
关键词: 有机朗肯循环内燃机余热发电系统性能对比分析回热Organic Rankine Cycle Internal Combustion Engine Waste Heat Power Generation System Performance Comparison Analysis Regeneration
摘要: 在“双碳目标”战略背景下,开展内燃机余热高效回收技术研究,对推动节能减排、实现能源高效利用具有重要的理论与工程意义。为提升内燃机余热的利用效率,本文针对亚临界有机朗肯循环(ORC)、跨临界ORC及双级ORC三种循环构型开展热力学特性分析,系统探究了工质选型、蒸发温度及热源热量分配量对循环性能的影响规律,旨在为内燃机余热回收系统的技术选型与参数优化提供理论支撑。研究结果表明:亚临界ORC系统可实现与热源的充分换热,当选用R11作为循环工质时,系统最大净功输出可达325.1 kW,最佳热效率为16.11%;跨临界ORC系统具备更高的热效率潜力,以环己烷为工质时,循环最大热效率可达35.46%;双级ORC系统综合性能最优,不仅能够实现与热源的充分换热,还可获得最优净功输出与较高的热效率,其最大净功输出可达523.86 kW,最大热效率为25.7%,展现出更为优异的综合性能与工程应用潜力。
Abstract: Under the strategic background of the “dual carbon goals”, conducting research on efficient recovery technology of waste heat from internal combustion engines holds significant theoretical and engineering importance for promoting energy conservation and emission reduction, as well as achieving efficient energy utilization. To enhance the utilization efficiency of waste heat from internal combustion engines, this paper conducts a thermodynamic characteristic analysis focusing on three cycle configurations: subcritical Organic Rankine Cycle (ORC), transcritical ORC, and two-stage ORC. It systematically explores the influence of working fluid selection, evaporation temperature, and heat source heat distribution on cycle performance, aiming to provide theoretical support for the technical selection and parameter optimization of waste heat recovery systems for internal combustion engines. The research results indicate that the subcritical ORC system can achieve sufficient heat exchange with the heat source. When R11 is selected as the working fluid, the maximum net power output of the system can reach 325.1 kW, with an optimal thermal efficiency of 16.11%. The transcritical ORC system has higher potential for thermal efficiency. When cyclohexane is used as the working fluid, the maximum thermal efficiency of the cycle can reach 35.46%. The two-stage ORC system has the best comprehensive performance, not only achieving sufficient heat exchange with the heat source but also obtaining optimal net power output and high thermal efficiency. Its maximum net power output can reach 523.86 kW, and the maximum thermal efficiency is 25.7%, demonstrating superior comprehensive performance and engineering application potential.
文章引用:王伟, 吕欣淼, 吴玉庭. 基于不同类型有机朗肯循环的内燃机余热发电系统性能对比分析[J]. 可持续能源, 2026, 16(1): 37-51. https://doi.org/10.12677/se.2026.161005

1. 引言

在“双碳目标”的战略指引下,提升化石能源利用效率、降低碳排放是推动能源结构转型与可持续发展的关键方向。内燃机作为汽车、船舶及分布式能源系统等多个领域中应用广泛的重要动力装置,其运行过程会产生大量余热,这些余热通常占燃料总能量的30%~50%,蕴含着显著的节能潜力。因此内燃机余热的高效回收对节能减排具有重要意义。目前内燃机余热回收技术近年来取得了显著进展,从早期的单一循环向多循环协同系统发展,显著提升了能量利用效率。

在众多内燃机余热回收技术中,有机朗肯循环(ORC)因其热效率较高、工艺成熟的优点,被认为是近年主流的技术之一。Schneemann等[1]采用单级亚临界ORC系统回收小型固定式内燃机发电机组的废气余热,工质选用R245fa,在发动机排气温度400℃~500℃、循环蒸发压力2.0~2.5 MPa、蒸发温度120℃~140℃的工况下,系统净功输出可使原机组效率提升7%,循环热效率达10%~12%。Akman M等[2]以R152a为工质,在350℃船用柴油机排温下,设计的跨临界ORC系统可提升整体效率2.5%,年减排CO2 678吨,且膨胀机入口压力对高温适应性敏感。Chen等[3]设计的跨临界ORC在中温发动机废热(400℃~500℃)下的净功率输出比Karlina循环高10%~15%,尤其在低冷凝温度时优势明显。Galindo等[4]在429℃~673℃的汽油发动机条件下,以乙醇为工质对ORC进行了实验和热力学分析,发现实验结果与理论结果之间存在较大差距。从实验和热力学分析中获得的最大循环效率分别为6%和19%。Song等[5]使用双回路ORC系统研究了柴油发动机的余热回收。进行参数分析以评估系统性能。结果表明,双回路ORC系统的最大净功率输出达到111.2 kW,而原发动机功率提高了11.2%。Yang等[6]采用双回路ORC系统来回收六缸CNG发动机的废气能量,冷却剂系统的废热和中冷器排热,在发动机额定条件下可实现23.62 kW的最大净功率输出,热效率在8.79%~10.17%。通过数据可以看出受热源温度波动、工艺要求等多重约束,目前对于内燃机发电系统性能还有进一步的提升空间,现有循环形式与热源特性的匹配度以及工质选择的适配性有待优化。因此,探索新型循环方案是提升余热回收性能的关键。

根据所研究内燃机余热温度相对较高且能量品位特殊的特点,所设计循环系统能够覆盖温区范围越大,所获得可观性能潜力才会越大。基于此,本文在同一热源边界条件下先分析了两类典型的单一循环:亚临界ORC和跨临界ORC。在此基础之上,还分析了双级ORC进一步回收热源出口处的中低温余热。通过对比评估为相应技术选型与场景适配提供理论基础指导,从而提升余热利用整体性能和能源利用效率。

2. 热力学模型

本文以发动机的废气余热作为具体分析案例,且后续循环配置中涉及的热源均以此为统一研究对象,以保证研究逻辑的一致性与分析的针对性。需要说明的是,本文在当前研究阶段暂不将发动机的夹套冷却水余热纳入分析与探讨范畴,后续可根据研究需求进一步拓展该部分余热的相关研究,完善整体分析体系。选取的发动机是12缸4冲程增压天然气中速发动机[7],发动机的主要参数如表1

Table 1. Main parameters of engine

1. 发动机主要参数

主要参数

电力输出

2928

kW

油耗

7002

kW

额定效率

41.8

-

发动机转速

1000

min−1

废气温度

470

排气质量流量

15,673

kg/h

燃烧空气质量流量

15,134

kg/h

发动机夹套冷却水温度

79/90

发动机夹套冷却水流量

90

kg/h

选择合适的有机工质是循环高效运行的核心前提,这是因为有机工质的热物理性质如临界温度、临界压力、比热容、导热系数等直接决定了循环的热力学性能包括循环效率、净功输出等关键指标。同时,工质的热稳定性、环境友好性以及安全性也会对循环系统的长期可靠运行、工程应用可行性产生影响。本文选取几种具有代表性的工质作为研究对象,以临界温度差异为主要区分维度见表2,通过对比各工质的循环性能表现,深入分析工质物性对循环性能的影响规律。

Table 2. Critical parameters, thermal stability thresholds, and environmental characteristics of some working fluids

2. 部分工质的临界参数、热稳定性阈值和环境特性

No.

物质名称

分子式

沸点

临界参数

热稳定性阈值

环境特性

tc [℃]

pc [MPa]

ts [℃]

Ref.

ODP

GWP

1

Benzene

C6H6

80.1

290.2

4.89

>500

[8]

0

20

2

Cyclohexane

C6H12

80.7

280.3

4.07

>400

[9]

0

20

3

R11

CCl3F

23.8

198

4.41

350

NIST

1

4750

4

R123

CHCl2CF3

27.7

183.7

3.67

200

[10]

0

120

5

R245fa

C3H3F5

14.8

154

3.65

300

[11]

0

1030

6

R600a

CH(CH3)3

−11.7

135

3.62

300

[12]

0

3

7

R134a

C2H2F4

−26.2

101.1

4.05

340

[13]

0

1430

2.1. 亚临界ORC

基本的亚临界有机朗肯循环发电系统主要由蒸发器、冷凝器、膨胀机、工质泵及其他辅助设备构成,流程图和温熵图见图1图2。其循环过程描述如下:3→4过程:工质以饱和液体或过冷液体状态进入工质泵,经增压后压力升至循环设定的蒸发压力(低于工质临界压力,满足亚临界要求),温度因压缩略有升高,以高压液态状态流出工质泵并进入蒸发器;4→1过程:高压液态工质在蒸发器内与外界热源换热,吸收热量后逐渐升温、汽化,最终变为饱和蒸汽或微过热蒸汽,完成吸热过程;1→2过程:蒸发器出口的蒸汽进入膨胀机,在机内绝热膨胀做功以驱动发电机发电,工质压力和温度大幅下降,最终以低压乏汽状态排出膨胀机;2→3过程:低压乏汽流入冷凝器,与冷却水换热后释放热量,冷凝为饱和液体或具有一定过冷度的液体;冷凝后的工质重新进入工质泵,回到初始循环状态,完成整个循环。

Figure 1. Configuration of subcritical ORC

1. 亚临界有机朗肯回热循环流程图

Figure 2. T-s chart of subcritical ORC

2. 亚临界有机朗肯循环T-s图

过程1~2为膨胀机做功过程:

W s = m f ( h 1 h 2 )= m f ( h 1 h 2 s ) η s (1)

式中,Ws为膨胀机输出功率,kW;ηs为膨胀机等熵效率;hii点处工质比焓,kJ/kg;mf为循环工质质量流量,kg/s;

无回热器下,过程2~3为有机工质在冷凝器中放热过程:

Q c = m f ( h 2 h 3 ) (2)

式中,Qc为冷凝器中有机工质放热量,kW;

过程3~4为工质泵消耗功率过程:

W p = m f ( h 4 h 3 )= m f ( h 4s h 3 )/ η p (3)

式中,Wp为工质泵的耗功,kW;ηp为泵等熵效率。

无回热器下,过程4~1为有机工质在蒸发器中吸热过程:

Q e = m f ( h 1 h 4 )= c p q m ( t 8 t 9 ) (4)

式中,Qe为蒸发器中有机工质吸热量,kW;qm为排气的质量流量,kg/s;t8t9为排气的进出口温度,K。

有回热器下,其热力学模型为:

T 6 = T 4 +ΔT (5)

m f ( h 7 h 4 )= m f ( h 2 h 6 ) (6)

Q e = m f ( h 1 h 7 ) (7)

系统热效率为:

η th = W net Q e = W s W p Q e = ( h 1 h 2 )( h 4 h 3 ) h 1 h 7 (8)

2.2. 跨临界ORC

(3→4)液态工质经泵压缩,外界对工质做功,工质压力显著升高变成超临界状态,因压缩过程存在耗功与少量摩擦生热,温度也略有上升,为后续蒸发器高效吸热做准备。(4→1)超临界工质在蒸发器内通过连续吸热、无沸腾相变的特性,实现了与宽温域热源的高效匹配,显著提升了循环效率和设备紧凑性。(1→2)高温高压气态工质进入膨胀机膨胀,推动膨胀机转子转动并带动发电机发电。此过程工质对外做功,压力、温度大幅下降,变为低压气态。(2→3)低压工质进入冷凝器,与冷源进行热交换,释放热量并逐步冷凝,最终恢复为液态工质,完成循环闭合,冷源则吸收工质释放的热量,其温熵图见图3

Figure 3. T-s chart of transcritical ORC

3. 跨临界有机朗肯循环T-s图

跨临界ORC系统的流程框架与亚临界ORC基本一致,核心热力计算的公式形式也无显著差异,其核心区别仅在于工质运行状态突破临界压力,以超临界流体参与循环过程,因此关于跨临界ORC的具体流程图与计算公式,在此不再单独展示。

2.3. 双级ORC

部分内燃机废气余热温差跨度大、高位能量密度高,即便搭载回热器的单级ORC系统,换热后热源出口温度仍远高于环境温度,存在大量未回收的中低温余热,直接排放既浪费能源又降低能效。双级ORC系统通过“高位循环 + 低位循环”的分级架构,精准匹配热源温度梯度,先将回热器后仍处于中高温区间的余热通入第一级ORC,用高沸点工质回收高位余热做功,再将经第一级换热后降至中低温区间的余热导入第二级ORC,以低沸点工质捕获低位余热再做功,同时通过两级循环耦合协同,最终实现热源全温度区间充分利用,大幅提升余热回收效率与能源利用率。过程14-15-16-13-14与1-2-3-4-1类似,其流程图和温熵图见图4图5

循环总净功W1

W 1 = m f [ ( h 1 h 2 )( h 4 h 3 )+( h 14 h 15 )( h 13 h 16 ) ] (9)

循环总热效率η1

η 1 = W 1 c p q m ( t 8 t 12 ) (10)

Figure 4. Configuration of two-stage ORC

4. 双级有机朗肯循环流程图

Figure 5. T-s chart of two-stage ORC

5. 双级有机朗肯循环T-s图

在上述模型的基础上,设置循环的初始条件见表3

Table 3. Key operating parameter table of two-stage ORC

3. 双级有机朗肯循环关键工况参数表

参数

膨胀机1进口温度

400~700 K

续表

膨胀机1进口压力

10 MPa

膨胀机2进口温度

320~425 K

冷凝器1,2冷凝温度

308 K

膨胀机1,2的等熵效率

0.7

工质泵1,2的等熵效率

0.8

高温回路气气换热器夹点温差

30 K

低温回路气气换热器夹点温差

15 K

气液换热器夹点温差

10 K

为了使循环的热力学模型简单,适当简化模型并采用以下假设:

1) 工质在循环过程中处于稳定流动状态;

2) 忽略工质在管道及换热器中的压力损失;

3) 透平、冷却器等的等熵效率不随系统工况变化而变化;

4) 忽略系统各组件与外界环境的热交换散热。

2.4. 模型验证

为验证本模型的准确性,参照Baik等[13]的文献研究开展校验:选用与文献一致的R125作为工质,采用相同的跨临界回热有机朗肯循环参数,将本文模型的计算结果与文献结果进行对比,具体数据如表4所示。对比发现,本文模型结果与文献结果的误差 ≤ 5%。经分析,该误差主要源于计算软件版本差异,软件内置相关参数有所不同,此误差属于可接受范围。由此可见,本文所建立的模型具备良好可靠性,其计算精度能够满足后续研究的计算要求。

Table 4. Comparison table of calculation results

4. 计算结果对比表

参数

Ref. [13]

本文

误差(%)

工质质量流量(kg/s)

0.042

0.040

4.76

工质泵耗功功率(W)

128.0

123.0

3.91

膨胀机功率(W)

458.8

453.3

1.20

循环热效率(ηt)

0.068

0.071

2.82

循环净功输出(W)

330.8

330.3

0.15

3. 有机朗肯循环性能分析

3.1. 亚临界ORC最大净功和最佳热效率

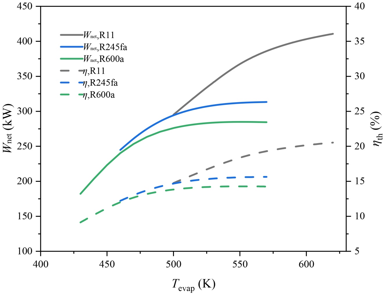
本研究针对亚临界有机朗肯循环系统,筛选出临界温度介于400 K~620 K区间的代表性工质(R11, R123, R245fa, R600a)开展性能研究,分析工况设定如下:热源温度恒定为743 K,工质质量流量与冷凝温度保持稳定,且保证系统与热源间充分换热,即热源出口温度与工质泵出口温度的差值控制为预设窄点温差(30 K)。图6图7展示了不同蒸发温度下各工质循环净功和热效率的变化。结果表明当工质选用R11时,此时循环性能最好,净功为325.1 kW,热效率为16.11%。单一工质性能规律表明,系统全程换热温差显著高于预设窄点温差,蒸发温度提升可显著优化循环性能。具体表现为净输出功率的提升与热效率的改善;不同工质的循环特性对比结果显示,工质临界温度对循环性能具有关键影响。临界温度更高的工质可适配更高的蒸发温度区间(ts, R11 > ts, R123 > ts, R245fa > ts, R600a),能够优化循环系统与热源间的温度匹配特性,有效降低换热过程中的不可逆损失,从而提升循环热效率。

Figure 6. Variation of cycle net power of different working fluids with evaporation temperature (subcritical ORC)

6. 不同蒸发温度下各工质循环净功的变化(亚临界ORC)

Figure 7. Variation of thermal efficiency of different working fluids with evaporation temperature (subcritical ORC)

7. 不同蒸发温度下各工质循环热效率的变化(亚临界ORC)

3.2. 跨临界ORC最大净功和最佳热效率

在跨临界ORC系统中,鉴于有机工质临界压力鲜有超过10 MPa的特性,本研究将所有受试工质的蒸发压力统一设定为10 MPa。在此基础上逐步提升蒸发温度,直至蒸发器内的最小换热温差达到30 K时停止升温,此时系统仍可实现对热源热量的充分吸收。需特别说明的是,R123因热稳定性阈值较低,未纳入本跨临界循环工况的研究范畴;而R245fa与R600a两种工质,在蒸发温度升至前述最大限值之前便会发生热分解反应,因此本研究将其热分解温度界定为蒸发温度的上限边界条件。如图8所示,R11仍然具有最好的性能表现,净功为419.7 kW,热效率为21.1%。更高的ηth值意味着在从废气中回收的相同热量下,可以获得更多的净功率输出。

Figure 8. Variation of cycle net power and thermal efficiency of different working fluids with evaporation temperatures (transcritical ORC)

8. 不同蒸发温度下各工质循环净功和热效率的变化(跨临界ORC)

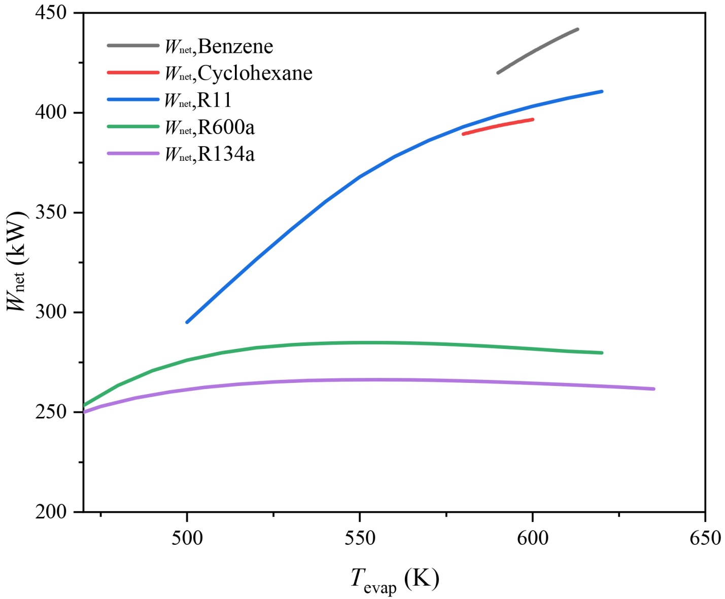
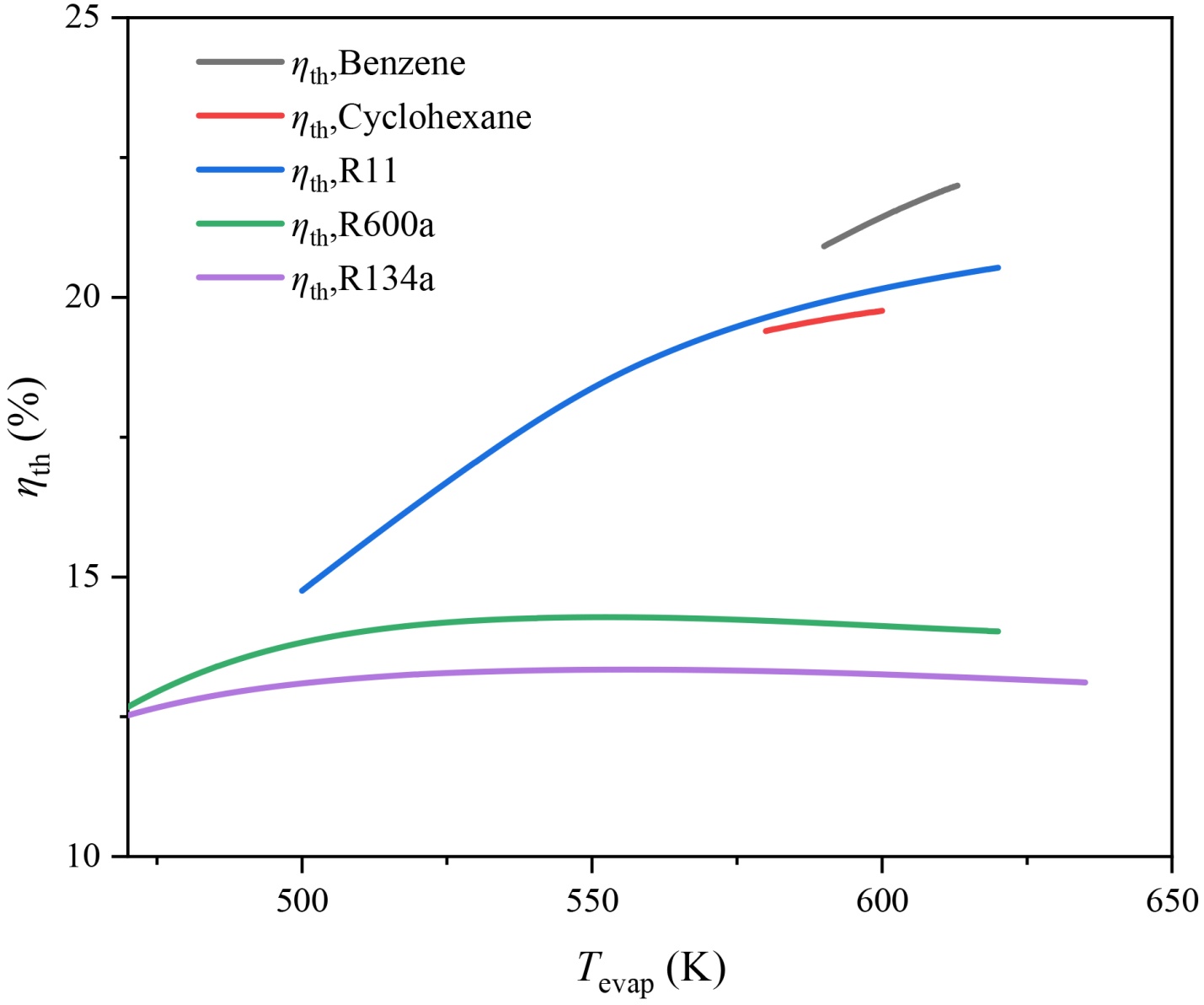
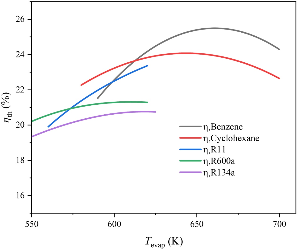
针对前述工质与热源温度匹配性仍存在提升空间的问题,本研究进一步拓展工质临界温度研究区间至370 K~570 K,选取苯、环己烷、R11等工质,探究跨临界ORC系统中,受临界参数与热稳定性约束条件下,工质净输出功率与热效率随蒸发温度的演变规律。图9图10展示了不同工质循环净功和热效率随蒸发温度的变化。实验结果表明,苯作为循环工质时表现出最优性能,其最大净输出功率可达441.8 kW,对应最大热效率为22%。对于临界温度较高的工质而言,其在蒸发器内可实现更高的蒸发参数,进而增大工质比焓降与膨胀功。在此过程中,比焓降的提升幅度显著超过工质质量流量的衰减幅度,因此系统性能随蒸发温度的升高呈现持续提升的趋势。与之相反,R134a、R600a等工质随蒸发温度升高,比焓降提升与质量流量衰减这两个影响功率输出的核心因素之间的作用梯度逐渐缩小;当蒸发温度升高至某一阈值后,质量流量衰减的负向作用占据主导地位,导致系统净输出功率呈现先升高后降低的变化特征。在系统与热源充分换热的前提下,热效率的变化趋势与净输出功率保持一致。

当在循环配置中加入回热器后,对系统的净功输出影响很小,主要影响其热效率的大小,由于对热源的吸热量逐步减少,热效率会大幅度提高。由图11可以得到,当工质为环己烷时,最大热效率为35.46%。

Figure 9. Variation of cycle net power of different working fluids with evaporation temperature (transcritical ORC)

9. 不同工质循环净功随蒸发温度的变化(跨临界ORC)

Figure 10. Variation of thermal efficiency of different working fluids with evaporation temperature (transcritical ORC)

10. 不同工质循环热效率随蒸发温度的变化(跨临界ORC)

Figure 11. Variation of cycle thermal efficiency of different working fluids with evaporation temperature under regenerative condition (transcritical ORC)

11. 带回热下各工质循环热效率随蒸发温度的变化(跨临界ORC)

3.3. 双级ORC最大净功和最佳热效率

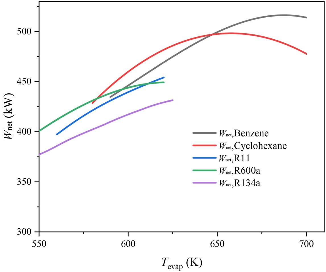
图12图13展示了顶循环采用不同工质和底循环工质为R245fa的系统性能随顶循环蒸发温度的变化。系统性能与顶循环采用的工质紧密相关,顶循环性能占主导地位。由于引入底循环后,在两个子循环的综合作用下系统最佳工况点和TRORC最佳工况点并不相同。此时系统性能最好的依然是苯组合,此时最大净功为520.9 kW,最大热效率为25.5%。

Figure 12. Variation of total net power with evaporation temperature of top cycle (two-stage ORC)

12. 总循环净功随顶循环蒸发温度下的变化(双级ORC)

Figure 13. Variation of total thermal efficiency with evaporation temperature of top cycle (two-stage ORC)

13. 总循环热效率随顶循环蒸发温度下的变化(双级ORC)

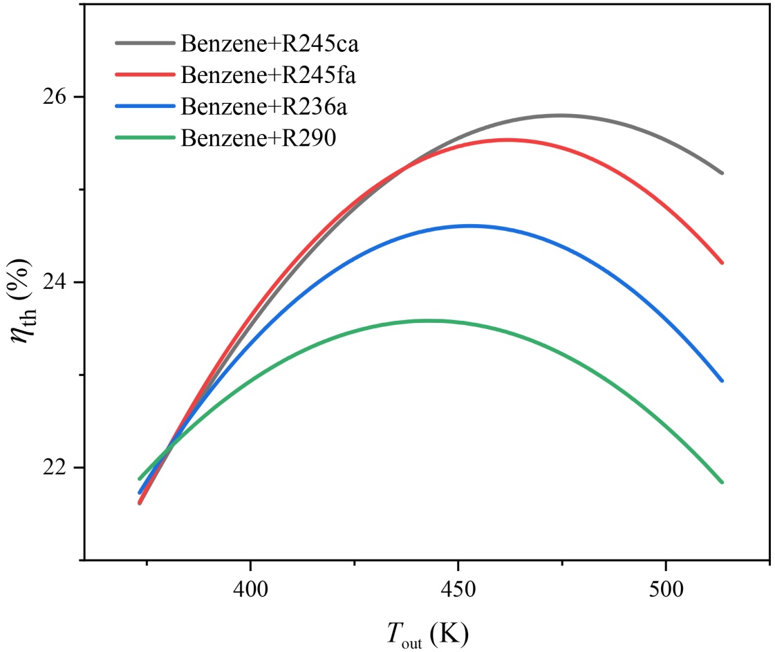
图14图15展示了顶循环为苯和底循环工质为R245ca、R245fa、R236fa、R290的净功输出和热效率随顶循环热源出口温度的变化。数据表明,在一定温限范围内,底循环更换临界参数更高的有机工质,余热回收性能更高。当工质为R245ca时,最大净功为523.86 kW,最大热效率为25.7%。

Figure 14. Variation of total net power with thermal source outlet temperature of top cycle (two-stage ORC)

14. 总循环净功随顶循环热源出口温度的变化(双级ORC)

Figure 15. Variation of total thermal efficiency with thermal source outlet temperature of top cycle (two-stage ORC)

15. 总循环热效率随顶循环热源出口温度的变化(双级ORC)

4. 结论

本研究基于提高内燃机的热功转换系统的性能的目的,重点评估了各个有机朗肯循环在同一热源驱动下的技术潜力,得出以下结论:

1) 在亚临界ORC系统中,工质R11因临界温度与热源温度(743.15 K)匹配性最优,其循环最大净功输出可达325.1 kW,最佳热效率为16.11%。研究表明,工质临界参数与热源温度的匹配程度是决定循环性能的关键因素。

2) 在跨临界ORC系统中,工质R11的循环性能较亚临界工况进一步提升,最大净功输出与最佳热效率分别达到419.7 kW和21.1%;当采用苯作为工质时,循环最大净功输出可提升至441.8 kW,对应最大热效率为22%,但受限于热稳定性和膨胀比约束,实际工程应用中需要进行权衡。

3) 在含回热装置的单级ORC系统中,由于回热过程对热源吸热量的逐步减少,循环热效率得到显著提升;其中以环己烷为工质时,循环最大热效率可达35.46%,较无回热工况实现显著提升,但该工况下系统无法充分吸收热源释放的热量,存在热源能量利用不充分的问题。

4) 在双级ORC系统中,系统整体性能与顶循环工质的选型密切相关,且顶循环对系统性能起主要作用。当顶循环采用苯、底循环采用R245ca作为工质组合时,系统最大净功输出可达523.86 kW,最大热效率为25.7%。双级ORC系统不仅能够实现与热源的充分换热,还可同时获得最优净功输出与较高的热效率,展现出更优的综合性能和潜力。

参考文献

[1] Schneemann, K.J., Lavernia, A.C., Groll, E., et al. (2018) Micro-Scale Waste Heat Recovery from Stationary Internal Combustion Engines by Sub-Critical Organic Rankine Cycle Utilizing Scroll Machinery. West Lafayette: Purdue University.
[2] Akman, M. and Ergin, S. (2020) Thermo-Environmental Analysis and Performance Optimisation of Transcritical Organic Rankine Cycle System for Waste Heat Recovery of a Marine Diesel Engine. Ships and Offshore Structures, 16, 1104-1113. [Google Scholar] [CrossRef
[3] Yue, C., Han, D., Pu, W. and He, W. (2015) Comparative Analysis of a Bottoming Transcritical ORC and a Kalina Cycle for Engine Exhaust Heat Recovery. Energy Conversion and Management, 89, 764-774. [Google Scholar] [CrossRef
[4] Galindo, J., Ruiz, S., Dolz, V., Royo-Pascual, L., Haller, R., Nicolas, B., et al. (2015) Experimental and Thermodynamic Analysis of a Bottoming Organic Rankine Cycle (ORC) of Gasoline Engine Using Swash-Plate Expander. Energy Conversion and Management, 103, 519-532. [Google Scholar] [CrossRef
[5] Song, J. and Gu, C. (2015) Parametric Analysis of a Dual Loop Organic Rankine Cycle (ORC) System for Engine Waste Heat Recovery. Energy Conversion and Management, 105, 995-1005. [Google Scholar] [CrossRef
[6] Yang, F., Zhang, H., Yu, Z., Wang, E., Meng, F., Liu, H., et al. (2017) Parametric Optimization and Heat Transfer Analysis of a Dual Loop ORC (Organic Rankine Cycle) System for CNG Engine Waste Heat Recovery. Energy, 118, 753-775. [Google Scholar] [CrossRef
[7] Vaja, I. and Gambarotta, A. (2010) Internal Combustion Engine (ICE) Bottoming with Organic Rankine Cycles (ORCs). Energy, 35, 1084-1093. [Google Scholar] [CrossRef
[8] Cetin, S. and Tincer, T. (2008) Thermal Stability and Decomposition Mechanism of Poly(p-Acryloyloxybenzoic Acid) and Poly(p-Methacryloyloxybenzoic Acid) and Their Graft Copolymers with Polypropylene, Part II. Journal of Applied Polymer Science, 108, 473-482. [Google Scholar] [CrossRef
[9] Wang, H.X., Liu, J.Y. and Ren, L.Y. (2021) Thermal Stability Measurement and Selection of Working Fluids for the Organic Rankine Cycle. Journal of Tianjin University (Science and Technology), 54, 585-592.
[10] Dai, X., Shi, L., An, Q. and Qian, W. (2018) Thermal Stability of Some Hydrofluorocarbons as Supercritical Orcs Working Fluids. Applied Thermal Engineering, 128, 1095-1101. [Google Scholar] [CrossRef
[11] Angelino, G. and Invernizzi, C. (2003) Experimental Investigation on the Thermal Stability of Some New Zero ODP Refrigerants. International Journal of Refrigeration, 26, 51-58. [Google Scholar] [CrossRef
[12] Dai, X., Shi, L., An, Q. and Qian, W. (2016) Screening of Hydrocarbons as Supercritical Orcs Working Fluids by Thermal Stability. Energy Conversion and Management, 126, 632-637. [Google Scholar] [CrossRef
[13] Baik, Y., Kim, M., Chang, K.C. and Kim, S.J. (2011) Power-Based Performance Comparison between Carbon Dioxide and R125 Transcritical Cycles for a Low-Grade Heat Source. Applied Energy, 88, 892-898. [Google Scholar] [CrossRef