基于印版–承印物协同作用的柔性版印刷压力计算模型
A Flexographic Printing Pressure Calculation Model Based on the Synergy between Printing Plate and Substrate
摘要: 针对传统柔性版印刷压力计算模型中忽略承印物力学贡献导致计算精度不足的问题,提出了一种基于印版–承印物协同作用的压力计算修正方法。该方法基于赫兹非线性接触理论,将传统的“圆柱–圆柱”接触模型重构为“圆柱–薄板–圆柱”接触模型,创新性地提出了形变量分离法,将接触区域的总形变解耦为印版形变量与承印物形变量。通过引入文克勒地基模型,推导了包含承印物厚度与弹性模量参数的印刷压力解析式,并利用有限元仿真验证了模型的准确性。研究结果表明,尽管PET承印物的形变仅在微纳米级别,但其高弹性模量显著改变了接触区的等效刚度;引入承印物参数后,计算得出的印刷压力较传统模型明显增加。理论计算值与有限元仿真值在变化趋势上保持高度一致,相对误差在合理范围内。该研究揭示了薄承印物对印刷压力的非线性增益机制,为高精密柔性版印刷压力控制系统的设计提供了更精确的理论依据。
Abstract: To address the insufficient calculation accuracy of traditional flexographic printing pressure models caused by ignoring the mechanical contribution of the substrate, a modified pressure calculation method based on the synergy between the printing plate and substrate is proposed. This method, grounded in Hertzian nonlinear contact theory, reconstructs the traditional “cylinder-cylinder” contact model into a “cylinder-thin plate-cylinder” contact model, and innovatively introduces a deformation separation method to decouple the total deformation of the contact area into printing plate deformation and substrate deformation. By incorporating the Winkler foundation model, an analytical formula for printing pressure including parameters of substrate thickness and elastic modulus is derived, and the accuracy of the model is verified through finite element simulation. The results indicate that although the deformation of the PET substrate is only at the micro- to nanometer scale, its high elastic modulus significantly alters the equivalent stiffness of the contact area; after introducing substrate parameters, the calculated printing pressure is notably higher than that from traditional models. The theoretical calculation values are highly consistent with the finite element simulation results in terms of variation trend, and the relative error is within a reasonable range. This study reveals the nonlinear gain mechanism of thin substrates on printing pressure, providing a more accurate theoretical basis for the design of high-precision flexographic printing pressure control systems.
文章引用:黄嘉树. 基于印版–承印物协同作用的柔性版印刷压力计算模型[J]. 机械工程与技术, 2026, 15(1): 82-95. https://doi.org/10.12677/met.2026.151009

1. 引言

当前柔性版印刷具有环保性能优异、适用范围广泛、生产效率高等突出优点,被广泛应用于印刷包装领域并占据主导地位。柔性版印刷压力指印刷过程中促使油墨从柔性印版向承印物表面转移所需的作用力。作为关键性工艺参数,其功能在于实现柔性印版图文元素向承印物表面的均匀转移,印刷压力不均匀会导致印刷在承印物表面的图文失真、色彩不均匀,故保持印刷压力均匀性对生产高质量的印刷产品至关重要,而精确计算印刷压力是保证印刷压力均匀的基础。因此,提高印刷压力计算的精确性具有重要意义。

近年来,国内外学者对印刷压力产生机理和计算方法均进行了研究。Kim等[1]研究了大幅面R2R纳米压印系统静态接触压力不均匀性。Jurkiewicz等[2]研究了胶辊压缩量与接触面压合力的关系。Park等[3]研究了压合的两个滚筒形状和跳动对印刷压力均匀性的影响。Deganello [4]研究了网纹辊网穴体积对印刷压力的影响。杨文等[5]分析了轴承刚度对变刚度滚筒印刷压力的影响。范振宇[6]构建了印版滚筒和压印滚筒的接触力学模型,分析了合压量对印刷压力的影响。徐嘉妮等[7]研究了滚筒径向跳动对柔性版印刷压力的影响。杨文等[8]研究了弹性复合圆柱滚子轴承的刚度,构建了等效刚度对印刷压力影响的数学模型。向磊等[9]基于轴承径向载荷分布理论研究了滚筒刚度对印刷压力的影响。付尧建等[10]以压力中心区域安装的电阻应变压力传感器测量的压力为基础,建立了柔性版印刷压力的计算模型。

值得注意的是,上述研究均未系统考虑承印物在接触力学的作用,导致印刷压力计算存在理论偏差。基于赫兹非线性接触理论,以法向力为基础构建接触印刷压力计算模型,该方法通过建立接触区域半宽和法向力之间的关系,揭示法向力和印刷压力之间的关系。结合承印物在印刷过程中产生的微纳米尺寸的形变量,提出了考虑承印物条件下时印刷压力的修正计算方法。本研究的核心创新在于将经典的赫兹接触问题从“圆柱–圆柱”模型修改为“圆柱–薄板–圆柱”模型,将接触区域整体的形变量分离为印版形变量和承印物形变量,由此在理论上将承印物纳入到对印刷压力的力学贡献中。文中研究为印刷压力精确计算提供了一种方法,阐明了印版厚度和承印物对印刷压力的影响。

2. 基于几何关系的基本印刷压力模型

2.1. 接触区域几何关系

在柔性版印刷中,印刷压力的产生基于柔性印版的形变,其产生的结构图如图1所示,图中:柔性印版包裹并被固定在印版滚筒表面,以确保柔性印版和印版滚筒不发生相对滑动,压印滚筒与柔性印版直接接触;压印滚筒位置固定,印版滚筒可在一定范围内活动。在实际工程应用中,压印滚筒印版滚筒的弹性模量远大于柔性印版的弹性模量,故仅将发生在接触区域的柔性印版的形变纳入研究的考虑范围内。

Figure 1. Geometric diagram of the printing pressure contact area

1. 印刷压力接触区域几何关系图

图1所示,设印版滚筒半径为R1、柔性印版厚度为d、承印物厚度为ds、压印滚筒半径为R2、印版滚筒圆心P1和压印滚筒圆心P2的距离(滚筒中心距) L。当 L> R 1 +d+ R 2 时(承印物厚度与滚筒半径和印版厚度相比过小,此处忽略),柔性印版未压缩变形,此时未产生印刷压力;当 L< R 1 +d+ R 2 时,接触区域柔性印版压缩变形,产生印刷压力,在两滚筒中心连线处接触区域产生印版最大形变量λmax,印版接触半宽ηp,承印物接触半宽ηs

基于柔性印版和滚筒间的几何关系,印版接触半宽ηp和两滚筒中心连线处接触区域产生印版最大形变量λmax存在如下关系:

η p = 2 λ max ( R 1 +d ) R 2 R 1 +d+ R 2 (1)

2.2. 经典印刷压力计算方法

根据胡克定律和揭示接触区域几何关系的式(1),可得出:

F= EA η p d [ λ max + η p 2 ( R 1 + R 2 ) 6 R 1 ( R 2 +d ) ] (2)

S=2 η p A (3)

P= F S (4)

其中,F为接触区域法向力、E为柔性印版弹性模量、A为接触区域沿滚筒轴向长度、S为接触区域面积。

因为压强可以更好表示接触区域几何面积与区域受力之间的关系,所以当前印刷行业中多以接触区域的压强表示印刷压力大小。将式(2)和式(3)代入式(4),可得印刷压力P的计算公式[6]

P= η p 2d [ λ max + η p 2 ( R 1 + R 2 ) 6 R 1 ( R 2 +d ) ] (5)

3. 印刷压力模型修正

3.1. 两滚筒间力学分析

在当前印刷包装工程领域,应力σ和沿厚度方向应变ε的非线性关系可通过下列公式表示:

σ= E 1 ε q (6)

式中,E1为产生应变部分材料的弹性模量,针对本研究,即柔性印版的弹性模量;q为材料的无量纲常数,其具体数值可由具体拉伸实验确定,相关测定公式如下:

q= ln σ 2 / σ 1 ln ε 2 / ε 1 (7)

不同的q值使E1对应的模量种类有所不同。在印刷压力研究领域,q的值通常设定为1,在此条件下,E1为柔性印版的杨氏模量(弹性模量)。公式(2)为:

σ= E 1 ε (8)

引入印版的厚度d和柔性印版的形变量λ,公式(4)为:

σ= E 1 λ d (9)

在接触区域中,柔性印版在两滚筒中心连线处取应力最大值。

联立公式(1)和公式(9):

σ max = E 1 η p 2 ( R 1 +d+ R 2 ) 2d( R 1 +d ) R 2 (10)

赫兹非线性接触理论是经典的接触力学理论,主要适用于光滑表面、小变形、各向同性材料的弹性接触问题。印刷压力接触区域符合赫兹弹性接触理论的条件。根据赫兹弹性接触理论,在线接触的情况下,最大应力σmax和线接触法向力FN存在如下关系:

F N = σ max 2 R * πA E * (11)

式中,E*是等效弹性模量,R*是接触区域的等效曲率半径,其计算公式如下:

1 E * = 1 μ 1 2 E 1 + 1 μ 2 2 E 2 (12)

1 R * = 1 R 1 +d + 1 R 2 (13)

式中,E2为压印滚筒弹性模量。

联立式(10)和式(11),可建立法向力FN和接触区域半宽ηp之间的关系,二者关系如下:

F N = π η p 4 R * E 1 2 ( R 1 +d+ R 2 ) 2 A 4 R 2 2 E * ( R 1 +d ) 2 d 2 (14)

根据赫兹非线性接触理论,压印滚筒和柔性印版的接触可以视为2个圆柱体接触,二者接触产生的接触区域可看成一个近似边长分别为A和2η的长方形接触区域:

Figure 2. Schematic diagram of the normal force between rollers

2. 滚筒间法向力示意图

根据图2,接触区域面积和法向力之间的关系为:

P= F N 2ηA (15)

联立公式(14)和公式(15),可得出两滚筒间压力的模型公式:

P= π 8 R 3 E 1 2 η 3 ( R 1 +d+ R 2 ) 2 R 2 2 E 3 ( R 1 +d ) 2 d 2 (16)

3.2. 承印物应力

针对本文的研究对象,符合薄板厚度远小于两圆柱体半径的条件,故可视为“圆柱体–薄板–圆柱体”的模型。根据赫兹非线性接触理论,可构建模型:

η s = 2 R * λ max ln( 4 R * η S ) 1 2 (17)

σ avg = E * η s π R * (18)

式中,σavg为承印物平均应力;ηs为承印物的接触半宽。

根据文克勒地基模型公式,承印物的形变量λsub和其应力的关系为:

λ sub = σ avg d s E S (19)

式中,dS为承印物的厚度;ES为承印物的弹性模量。

3.3. 接触区域总印刷压力计算

将印刷压力接触区域的总形变量λtotal分割为印版形变量λmax和承印物形变量λsub可得出:

λ total = λ max + λ sub (20)

在平衡状态下,印版的应力σmax和承印物应力σavg在物理上是相等的,根据公式(19)并提取公因式,可得到系统总应力计算公式:

σ total = λ total d E 1 + d s E s (21)

基于线接触的接触区域的总法向力 F N total

F N total = σ total 2 R * πA E * (22)

则纳入承印物后接触区域印刷压力Ptotal的计算公式:

P total = σ total 2 R * π 2 η p E * (23)

4. 印刷压力模型计算参数设置

为了验证修正后的印刷模型的准确性,首先将修正过后印刷压力计算的模型与未修正印刷压力的模型进行对比、考虑承印物的模型和忽略承印物的模型进行对比。此次分析均设置的参数来源于美国杜邦公司的赛丽FAST热敏柔性印版。

4.1. 柔性印版参数

Table 1. Flexographic printing plate parameters

1. 柔性印版参数

柔性印版厚度d (mm)

邵氏硬度(ShA)

弹性模量E1 (MPa)

泊松比

1.14

75

3.84

0.38

1.70

66

4.63

0.38

2.54

59

3.48

0.38

2.72

59

3.48

0.38

当前柔性印版制造商对于柔性印版参数中的硬度多以邵氏硬度(ShA)表示,邵氏硬度和弹性模量(MPa)之间可使用换算公式进行计算。在常温25℃条件下,邵氏硬度小于100ShA时,换算公式如下:

E 1 = 15.75+2.15ShA 100ShA (24)

计算中设置的柔性版的参数见表1

印版的形变量过大会导致印刷压力过大,网点严重扩大、图像失真、油墨铺展不均匀等印品质量问题。对印版甚至柔性版印刷机其他部件带来不可逆损伤:印版寿命缩短、印版永久性变形、增加网纹辊磨损等问题。故实际生产过程中薄印版的印版形变量的范围在印版厚度的5%以内,针对四组印版,λmax分别在0.057 mm、0.085 mm、0.127 mm、0.136 mm以内。

4.2. 承印物参数

PET薄膜当前最大应用市场为软包装复合材料,具有优良的综合效能,在软包装及其其他领域的应用愈发广泛。本研究分析的柔性印版在柔性版印刷领域根据厚度可归类为薄印版,实际的印刷生产工程中承印物的材料是厚度ds = 0.1 mm的PET薄膜。

PET薄膜的弹性模量常温下为2000~4000 MPa,随着温度升高弹性模量会非线性减小,本研究针对常温25℃条件下分析,承印物PET薄膜弹性模量Es值选取2668 MPa [11]

5. 印刷压力模型计算结果与验证

5.1. 修正与未修正的结果对比

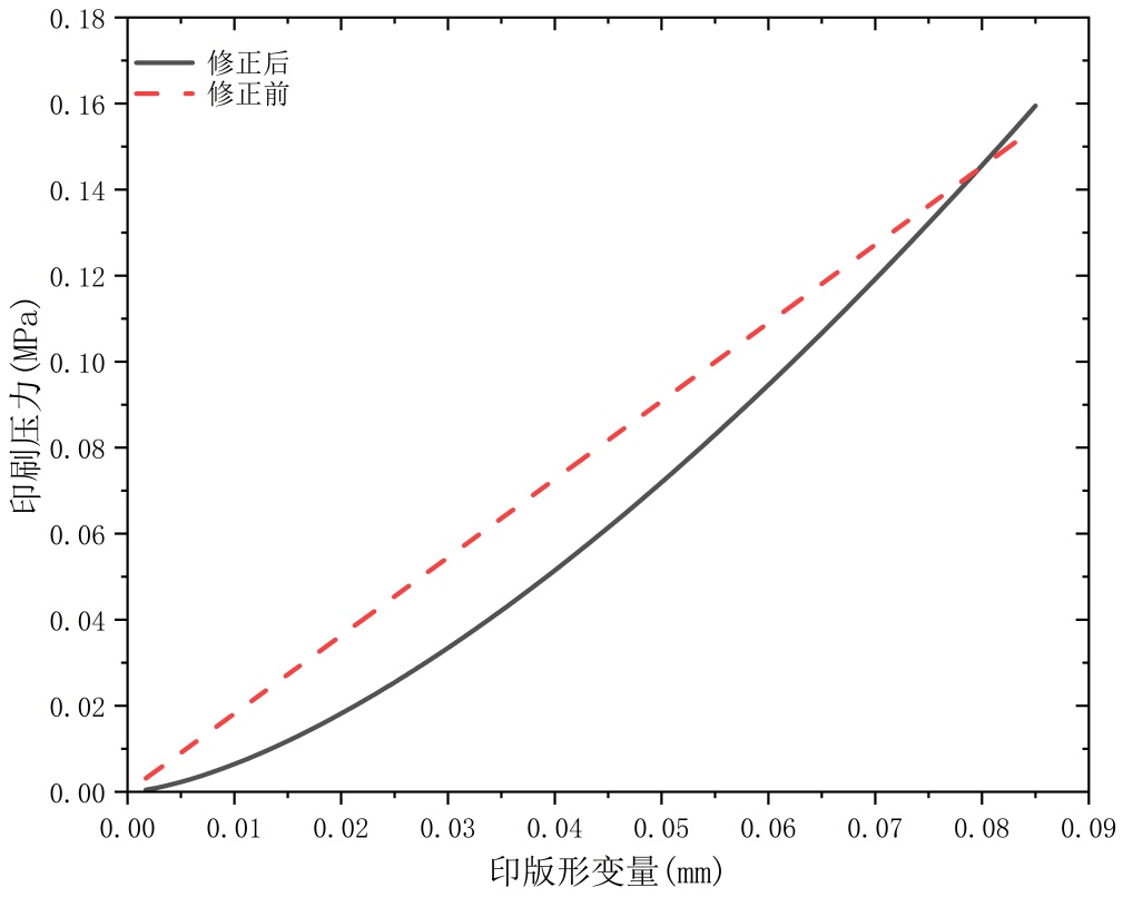
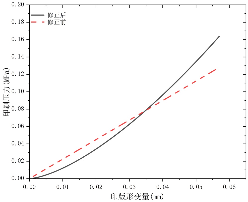
在理想情况下,印刷压力与印版形变量呈现正比线性关系,经过修正模型的计算后可发现实际中印刷压力与印版形变量为正比非线性关系,计算结果见图3

图3展示了四种不同厚度规格(1.14 mm、1.70 mm、2.54 mm及2.72 mm)柔性印版在模型修正前后的印刷压力随形变量变化的对比曲线。由图可知,在所有厚度参数下,印刷压力均随印版形变量的增加而呈上升趋势。与文献(6)报告的曲线相比,修正后的模型呈非线性增长趋势。具体而言,在印版厚度为1.14 mm,形变量大于0.0348 mm时,本研究得到的印刷压力值高出约10%~35%,且曲线更加陡峭;印版厚度为1.70 mm,形变量大于0.0798 mm时,本文得到的印刷压力值高出约1%~3%。印版厚度为2.54 mm和2.70 mm时,本研究得到的印刷压力值均低于文献(6)报告的经典曲线。该差异主要源于两方面:一是本文模型通过赫兹理论引入了泊松比的影响;二是基于线接触进行法向力计算。

(a) 1.14 mm柔性印版 (b) 1.70 mm柔性印版

(c) 2.54 mm柔性印版 (d) 2.72 mm柔性印版

Figure 3. Comparison of printing pressure under different parameters (before/after model correction)

3. 不同参数下印刷压力对比(模型修正前/后)

5.2. 同弹性模量下印刷压力

在柔性印刷版制造柔性印版过程中,多生产相同硬度但厚度有显著差异的柔性印版,选取相同的弹性模量和不同的柔性印版厚度作为计算条件符合实际生产情况。

在印版弹性模量相同条件下,不同厚度的印版印刷压力曲线如图4所示:

Figure 4. Printing pressure with different plate thicknesses for plates having the same elastic modulus

4. 弹性模量相同印版厚度不同印刷压力

图4结果可以看出,保持两印版形变量相同情况下,2.54 mm厚度印版对应的印刷压力值均大于2.72 mm。

5.3. 承印物对印刷压力影响

因承印物厚度远小于接触区域等效半径且形变量较小,当前印刷压力研究机理中通常忽略承印物对印刷压力的影响。虽承印物形变量极小,但其会改变接触区域力学状态,对印刷压力产生一定影响。

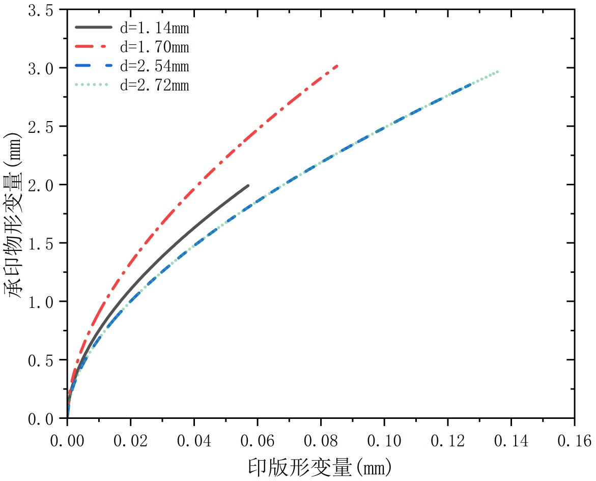
Figure 5. Substrate deformation

5. 承印物形变量

图5可知,承印物形变量与印版弹性模量有关,在印版形变量相同的情况下,弹性模量值较大的印版对应的承印物有更大形变量。因2.54 mm和2.72 mm印版的弹性模量相同,故二者对应的印版形变量曲线几乎重合。从数据整体可看出,承印物形变量的值均较小,最大形变量仅为3 nm左右,远小于接触区域的曲率半径。

(a) 1.14 mm柔性印版 (b) 1.70 mm柔性印版

(c) 2.54 mm柔性印版 (d) 2.72 mm柔性印版

Figure 6. Comparison of printing pressure under different plate parameters (with/without substrate)

6. 不同印版参数下印刷压力对比(有/无承印物)

图6可知,在所有测试的厚度规格中,红色虚线与黑色实线在呈现出极高程度的重合。这表明在理想的力学串联接触模型中,引入一层厚度为0.1 mm、弹性模量为2668 MPa的PET承印物,并未改变印刷压力随形变量变化的总体趋势。且无论是有/无承印物的模型,印刷压力均随印版形变量的增加呈非线性递增。

Table 2. Average printing pressure increase

2. 平均印刷压力增加幅度

柔性印版厚度d (mm)

弹性模量E1 (MPa)

平均印刷压力增加幅度

1.14

3.84

0.14%

1.70

4.63

0.17%

2.54

3.48

0.13%

2.72

3.48

0.13%

表2所示,考虑承印物后,不同参数的柔性印版的平均印刷压力增大了0.13%至0.17%,分析后认为是这意味着在理想的力学串联模型中,虽然引入一层比印版硬得多的PET承印物,但是PET弹性模量仍远小于铝合金,对系统整体刚度的影响微乎其微,并未显著改变接触区域的印刷压力整体值。

5.4. 有限元分析

5.4.1. 网格划分

为了验证修正后的印刷压力模型计算的准确性,对1.14 mm、1.70 mm、2.54 mm、2.72 mm四种不同厚度的印版分别进行纳入承印物的有限元仿真。

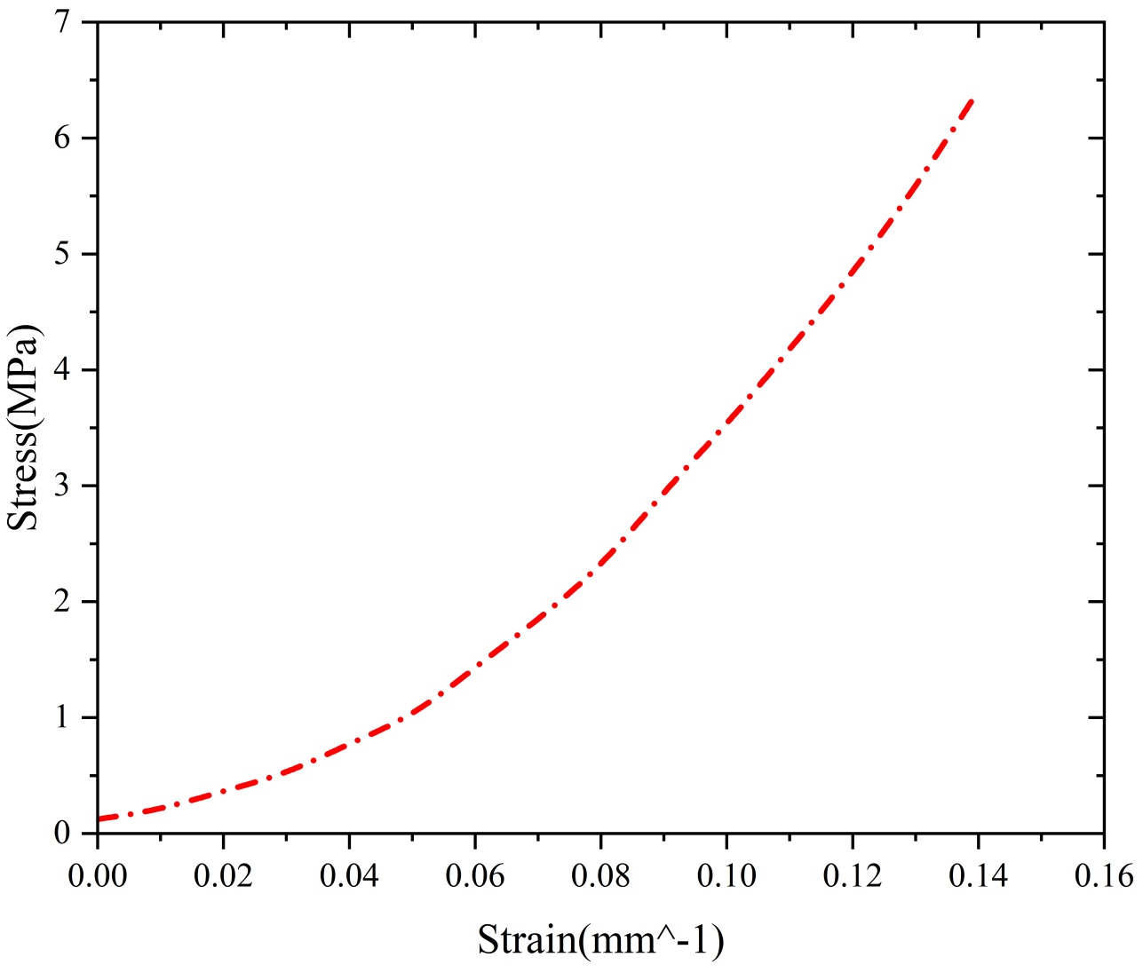
将三维模型导入到ANSYS Workbench中,使用瞬态模块,为两滚筒、承印物和柔性印版分别设置添加材料属性。铝合金因具有质量轻、强度高和易加工的优点,实际印刷行业应用中滚筒材质采用铝合金较多;承印物材料为PET;柔性印版材质为感光树脂板,本文采用自定义弹性体,设定如图7单轴压缩的应力–应变曲线[12]

Figure 7. Stress-strain curve of elastomer under uniaxial compression

7. 弹性体单轴压缩应变–应力曲线图

有限元模型属性如表3所示。

Table 3. List of 3D model parameters

3. 三维模型参数表

序号

参数名称

参数值

1

铝合金密度

2770 kg/m3

2

铝合金弹性模量

71 GPa

3

铝合金泊松比

0.33

4

弹性体密度

1250 kg/m3

5

弹性体弹性模量

3.48 MPa

6

弹性体泊松比

0.38

7

滚筒长度

250 mm

8

PET密度

1339 kg/m3

9

PET弹性模量

2668 MPa

10

PET泊松比

0.3887

网格划分是有限元分析处理前的重要一步,网格的质量会显著影响计算结果精度。在兼顾计算精度和算力的情况下,印版滚筒、柔性印版和承印物采用六面体网格划分方式,印版滚筒网格尺寸为8 mm,柔性印版和承印物沿厚度方向网格分别划分为2层和3层,其余面网格尺寸为2.5 mm;压印滚筒采用正四面体网格划分方式,接触面网格尺寸为2.5 mm,其余面网格尺寸为8 mm。网格划分后如图8所示,共440,551个节点,228,165个单元。

Figure 8. Mesh generation

8. 网格划分

5.4.2. 设置边界条件

实际印刷生产过程中,压印滚筒通过轴承固定在印刷机墙板,可绕轴心转动。印版滚筒可沿滚筒底座的滑轨滑动,改变两滚筒的中心距,实现印刷压力的调节。柔性印版被固定在印版滚筒表面。根据滚筒合压状态实际条件确定的边界条件如下。

压印滚筒两端设置固定支撑;印版滚筒两端施加远程位移,位移量从0 mm至印版厚度的5%,线性逐渐增大;柔性印版和印版滚筒接触类型设置为绑定;承印物和柔性印版及压印滚筒接触类型设置为摩擦,摩擦系数0.3。

5.4.3. 结果分析

图9中,黑色线框显示位变形的模型。由图9可知,在设置边界条件并求解后,柔性印版产生了一定量的形变,位于压印滚筒和两滚筒之间的承印物由于弹性模量远大于柔性印版产生形变极小。区域颜色的深浅代表区域应力大小,在两滚筒中心连线与接触区域交点处颜色最深为红色,沿接触区域宽度方向两侧颜色逐渐变浅,故在两滚筒中心连线与接触区域交点处取得最大值,应力沿接触区域宽度方向两侧逐渐减小。

Figure 9. Cross-sectional stress contour of the contact area

9. 接触区域截面应力云图

(a) 1.14 mm柔性印版 (b) 1.70 mm柔性印版

(c) 2.54 mm柔性印版 (d) 2.72 mm柔性印版

Figure 10. Comparison of theoretically calculated and finite element simulated values of printing pressure

10. 印刷压力的理论计算值与有限元仿真值对比

观察图10曲线可知,在各组印版参数下,随着印版形变量的增加,印刷压力呈现显著的单调递增趋势。在初始阶段,仿真值与理论值高度重合,表明在低形变区域模型具有极高的吻合度。随着形变量的进一步增大,两条曲线略有分离,仿真值略高于理论计算值,但总体趋势依然保持一致。分析认为,这种偏差主要源于有限元仿真中设置更复杂的边界摩擦条件(摩擦系数为0.3)、考量了材料的大变形非线性效应以及测定压缩应力—应变曲线时的偏差,而理论解析式在简化模型时对部分因素进行了理想化处理。

6. 结语

本研究通过建立基于赫兹接触法向力关系的数值计算模型,将接触区域的变形量分离为两个部分,系统分析了柔性印版厚度、柔性印版的弹性模量和承印物对印刷压力的影响规律。具体结论如下:

(1) 当柔性印版厚度和弹性模量均相同时,印刷压力和印版形变量的变化趋势与文献(6)的结论有所不同。分析认为,考虑了泊松比以及赫兹接触应力与法向力的关系,而这在先前的研究中被忽略。这一差异揭示了泊松比和法向力对印刷压力的非线性变化的影响。

(2) 数值计算结果表明,在保持印版弹性模量和形变量相同的条件下,印版厚度与印刷压力呈负相关,即较薄的印版会产生较大的印刷压力。这一规律提示在高速、高精度的薄版印刷工艺中,需更加精细地控制压印深度以避免压力过载。

(3) 本研究发现,尽管PET承印物(弹性模量约2668 MPa)比柔性印版硬得多,但在“印版–承印物”的串联力学系统中,高模量的薄膜主要起到压力传递作用,对系统总等效刚度的提升极为有限。计算数据显示,引入承印物后,印刷压力的理论增幅仅为0.13%至0.17%。这一结论从物理本质上揭示了薄承印物对印刷压力的作用机理,证明了在理论计算中,承印物带来的刚度增益是微量级的。ANSYS有限元仿真结果与理论计算值在变化趋势上保持高度一致,相对误差处在合理区间范围内,证明了该修正方法为印刷压力控制提供了可靠的数值依据。

综上所述,本研究建立了更符合物理实际的印刷压力计算模型。未来的工作将致力于将本模型与温度变化、印刷速度及界面粗糙度等更多动态因素相结合,进一步提升模型在复杂工况下的运算精度。

参考文献

[1] Kim, G.E., Kim, H., Woo, K., Kang, Y., Lee, S., Jeon, Y., et al. (2021) Uniform Pressing Mechanism in Large-Area Roll-to-Roll Nanoimprint Lithography Process. Applied Sciences, 11, Article No. 9571. [Google Scholar] [CrossRef
[2] Jurkiewicz, A. and Pyryev, Y. (2013) Relationship in between Compression of the Rollers and Contact Area Width and the Clamp Force. Challenges of Modern Technology, 4, 31-36.
[3] Park, J., Kim, Y., Lee, B., Kim, H. and Oh, D. (2020) Contact Printing Pressure Uniformization Control System in Roll-to-Roll Process Using 2-DOF Individual Drive System. ASME 2020 29th Conference on Information Storage and Processing Systems, 24-25 June 2020, 1-8. [Google Scholar] [CrossRef
[4] Deganello, D., Cherry, J.A., Gethin, D.T. and Claypole, T.C. (2012) Impact of Metered Ink Volume on Reel-to-Reel Flexographic Printed Conductive Networks for Enhanced Thin Film Conductivity. Thin Solid Films, 520, 2233-2237. [Google Scholar] [CrossRef
[5] 杨文, 余江鸿, 姚齐水, 童忠文. 新型滚动轴承结构参数对印刷压力的影响[J]. 包装工程, 2022, 43(17): 123-129.
[6] 范振宇. 柔性版与承印物接触状态对印刷质量影响研究[D]: [硕士学位论文]. 北京: 北京印刷学院, 2023.
[7] 徐嘉妮, 袁英才, 李艳, 等. 滚筒跳动对柔性版印刷质量的影响[J]. 包装工程, 2022, 43(9): 264-269.
[8] 杨文, 颜伟, 余江鸿, 等. 新型滚动轴承结构参数对印刷压力的影响[J]. 包装工程, 2022, 43(17): 123-129.
[9] 向磊, 姚齐水, 李超, 等. 基于正交试验的新型印刷滚筒结构优化[J]. 包装工程, 2019, 40(7): 210-216.
[10] 付尧建, 钱军浩. 基于柔性版最大印刷压力的数字模型研究[J]. 包装工程, 2013, 34(17): 113-116.
[11] 赵兴水. 具有温度相关弹性模量的印刷PET薄膜振动特性研究[D]: [硕士学位论文]. 西安: 西安理工大学, 2024.
[12] 袁英才, 刘德喜, 徐嘉妮, 等. 柔性版印刷机印刷压力与合压量关系研究[J]. 北京印刷学院学报, 2020, 28(4): 147-150.