基于多物理场耦合仿真的盘式制动器制动性能的影响研究
Research on the Influence of Disk Brakes’ Braking Performance Based on Multi-Physical Field Coupling Simulation
摘要: 制动盘的制动性能受其材料与结构的显著影响。为探究其影响规律并实现性能优化,本研究采用计算流体动力学(CFD)与有限元相结合的仿真方法,构建了高速列车盘式制动器在紧急制动工况下的流–热–固多物理场耦合模型。通过对比努塞尔数理论值与模拟值,验证了模型对流换热系数预测的准确性,为后续分析奠定了基础。基于该模型,系统研究材料因素对制动盘制动性能的影响,选择对比了合金钢、低碳钢和铸铁三种材料制动盘的性能表现。研究发现,合金钢制动盘的综合性能最优,其温度峰值和应力峰值较低碳钢分别低8.7%和9.5%,且达到峰值的时间更早;与铸铁相比,其优势更为明显。此外,研究还发现,当采用挖槽结构时,不同材料制动盘之间的性能差异明显缩小。综上所述,本研究通过多物理场耦合仿真,揭示了材料对制动盘热力分布的影响机制,为制动盘的优化设计提供了理论依据与参考。
Abstract: The braking performance of a brake disc is significantly affected by its material and structure. In order to investigate the influence law and optimize the performance, this study adopts a simulation method combining computational fluid dynamics (CFD) and finite elements to construct a coupled flow-heat-solid multi-physical field model for high-speed train disc brakes under emergency braking conditions. By comparing the theoretical and simulated values of Nussell number, the accuracy of the model’s convective heat transfer coefficient prediction is verified, which lays the foundation for the subsequent analysis. Based on the model, the influence of material factors on the braking performance of brake discs is systematically investigated, and the performance of brake discs made of alloy steel, mild steel and cast iron is compared. It is found that alloy steel brake discs have the best overall performance, with their peak temperature and peak stress values lower than those of mild steel by 8.7% and 9.5% respectively, and reaching the peak value earlier; compared with cast iron, its advantage is more obvious. In addition, it was found that the performance difference between different materials of brake discs was significantly reduced when the grooved structure was used. In summary, this study reveals the influence mechanism of materials on the thermal distribution of brake discs through multi-physics field coupling simulation, which provides a theoretical basis and reference for the optimal design of brake discs.
文章引用:米瑞毫, 李冬娜. 基于多物理场耦合仿真的盘式制动器制动性能的影响研究[J]. 建模与仿真, 2026, 15(2): 85-98. https://doi.org/10.12677/mos.2026.152036

1. 引言

盘式制动器作为高速列车机械制动系统的核心功能部件之一,其性能直接影响列车运行安全与能效[1],而其工作过程中往往涉及复杂的流热固多物理场耦合问题,包括热力耦合、流固耦合等非线性相互作用,这些耦合效应会对制动性能的稳定性、可靠性及服役寿命等方面造成较大影响[2]

针对这一问题,国内外众多学者进行了大量的研究,但其研究侧重点存在着一定差异。国外研究起步较早,主要聚焦于制动盘的热弹性失稳、摩擦材料的热衰退行为及其机理,以及制动过程中的热力耦合数值模拟等方面。Marin等[3]基于非傅立叶换热理论建立瞬态换热数值模型,并采用显式积分算法对制动盘强制对流冷却过程进行分析。通过实验数据与数值模拟结果的对比,有效验证了所建立的传热模型的工程适用性。Jafari等[4]分析了某型通风制动盘在强制对流冷却过程中的三维瞬态换热特性,建立了基于多参考框架模型和湍流闭合方案的旋转流热耦合数值模拟平台。Atkins等[5]基于旋涡动力学理论建立三维数值模型,系统揭示了翅片几何形状诱导的二次流旋涡系统对制动盘局部温度梯度场重构的影响机理。Mingozzi等[6]对某型通风制动盘的散热特性进行流体力学模拟计算,通过构建旋转工况下参数化散热通道流场模型,系统分析不同气流入射角对散热效率的影响。García等[7]对某型通风制动盘的散热性能进行了系统的流场分析。根据计算结果,提出了制动盘两种创新优化方案。Yevtushenko等[8]基于COMSOL软件,建立了盘式制动系统的多物理场耦合数值模型,开发了制动盘旋转制动的螺旋运动有限元离散化算法。系统揭示了制动盘两种结构制动盘的温度场变化规律。Popescu等[9]建立了紧急制动工况下盘式制动器的多物理场耦合仿真模型。研究发现通风盘式结构制动末端温度梯度和热应力比实心盘式低。Waddad等[10]构建了盘式制动系统热耦合的多尺度框架,提出从微观接触特性到宏观结构响应的跨尺度建模方法。通过对紧急制动和连续制动两种典型工况的参数分析,研究发现优化后的摩擦界面形貌可使温度场波动范围减小。Aman等[11]建立了参数化翅片数模型,采用序贯耦合热–力有限元分析方法系统研究了翅片拓扑结构对制动盘热力耦合场的影响机理。

国内研究近年来进展显著,重点关注列车制动盘的热力学特性、结构优化设计与性能测试,以及材料性能研究等方面,并取得了一系列具有工程应用价值的研究成果[12]。李和平等[13]基于多工况实验试验和数值模拟建模的研究方法,系统分析了盘式制动器的载荷传递机理、摩擦副材料热力学特性和热承载极限等关键参数。张涛等[14]基于非线性热弹性理论和序贯耦合数值模拟方法,建立了CRH3型350km/h高速动车组轮式制动盘的三维热–机耦合有限元模型。研究结果为高速列车制动系统的设计标准和散热结构的优化提供了关键的理论支持。杨强等[15]采用多尺度表征技术系统研究了制动盘材料表面形貌特征与摩擦学性能的相关机理,并基于分形理论建立了制动盘的三维缺陷模型。研究结果为高可靠性制动盘材料的微观结构优化设计和工业生产过程质量控制标准的制定提供理论支持和实验依据。左建勇等[16]基于动态网格更新方法构建了流固耦合数值模拟平台,研究制动盘泵风功率对列车牵引功率的影响。研究结果表明冷却肋结构气动优化设计准则的建立具有重要的工程应用价值。

综上所述,针对流热固多物理场耦合对制动盘制动性能的影响仍需要进一步研究,本研究基于流热固多物理场耦合模型,探究了材料与结构两个因素对制动盘制动性能的影响,研究成果为进一步提高列车制动的安全性提供参考。

2. 计算模型与计算方法

2.1. 列车制动过程中计算模型建立

列车制动是一个非常复杂的运动学过程,需要涉及到制动界面的摩擦生热,制动界面接触过程中应力变化以及制动界面与外部流场的热量交换等方面。因此应该建立制动过程中所需要的相关数学模型。

温度场计算数学模型:

Q( r,z,t )={ ημp( t )v( t ) d 0 (1)

摩擦热功率密度 Q( r,z,t ) 由制动压力和制动速度决定,其中: μ 为摩擦系数; p( t ) 为随便时间变化的接触压力; v(t) 为制动盘和制动片之间的相对速度; d 为摩擦层厚度; η 为热分配系数。

应力场计算数学模型:

应变–位移几何方程:

rr = u r , θθ = u r , zz = ω z ,= 1 2 ( u z + ω r ) (2)

其中 u(r,z) ω(r,z) 分别为径向和轴向位移。

热弹性本构方程:

σ ij = E 1+v ( ij + v 12v ) EαΔT 12v δ ij (3)

其中, E 为弹性模量; ν 为泊松比; α 为热膨胀系数; ΔT=T( r,z,t ) T ref 为室温下的自由膨胀量。

流场计算数学模型:

对制动盘流场特性进行研究,需要系统构建基于流体动力学原理的理论分析框架。流动控制方程体系由三大守恒定律构成:质量守恒方程,动量守恒方程,能量守恒方程[17]。对上述方程进行详细推导可得方程组如下所示:

{ ρ t +( ρV )=0 ( ρV ) t +( ρVV )=ρf+P ρ c p DT Dt = Dp Dt +( kT )+ρq+( PV )( P )V+pV p=ρRT (4)

对流换热系数结果验证

图1显示了努塞尔数理论计算与模拟计算结果的对比情况,二者随制动时间的变化趋势基本吻合。在紧急制动初期,列车速度较高时,理论值与模拟值之间的差异较为明显;随着列车速度下降,差异逐渐缩小并趋于一致。当列车以200 km/h初速制动时,误差最大,约为9.7%。随着制动过程持续,该偏差不断减小,至制动结束前已接近零。通过对比努塞尔数理论值与模拟值,本文所建立的流热固耦合模型具有较高精度,能够准确反映通风制动盘的对流换热规律。因此,该模型可用于进一步研究流场中制动盘的瞬态耦合场特性,为制动盘的热力学性能分析与优化设计提供较为可靠的理论依据。

Figure 1. Comparison chart of theoretical calculation and simulation calculation results of Nuessel number

1. 努塞尔数理论计算与模拟计算结果对比图

2.2. 盘式制动器数值计算模型建立

固体域模型

本文对高速列车通风盘式制动器进行了系统的研究,制动盘相关参数如表1所示。

Table 1. Geometric parameters of brake discs and brake pads

1. 制动盘与制动闸片几何参数

参数

数值

车轮半径Rw

430 mm

制动盘外径Rout

340 mm

制动盘内径Rin

180 mm

制动片外径

320 mm

制动片内径

170 mm

在三维模型构建阶段,利用SolidWorks三维建模软件建立几何模型。为了提高数值模拟效率和优化网格质量,基于核心作用机制假设,即制动过程的热力场变化主要受摩擦副接触行为支配,对复杂制动系统进行多层次特征简化:保留摩擦盘和双盘作为核心传热部件,去掉盘毂、圆角、螺栓等非关键连接结构,省略其他辅助部件的几何结构。通过上述简化处理,最终构建了普通结构制动盘–制动片模型和挖槽结构制动盘–制动片模型,结果如图2图3所示。这些模型在保留关键几何和功能特征的同时,有效避免了复杂结构带来的计算瓶颈,为进一步研究通风盘式制动器的热力耦合性能和流场特性提供了可靠的几何基础。

Figure 2. Grooveless structure brake disc-brake pad geometric model diagram

2. 无槽结构制动盘–制动闸片几何模型图

Figure 3. Groove structure brake disc-brake pad geometric model diagram

3. 挖槽结构制动盘–制动闸片几何模型图

流体域模型

本文研究重点分析了制动盘制动过程中周围流场的分布变化规律和制动盘表面对流换热系数。为了准确模拟制动盘周围的流场,需要考虑制动盘的实际结构尺寸和现场安装条件,构建匹配的外部空气域。经过综合分析计算,最终确定外部空气域尺寸为1.2 m × 1.2 m × 3 m。在流场数值模拟中,采用理想气体状态方程来表征大气环境中空气介质的特性,构建了多物理边界条件系统:速度入口边界模拟来流速度分布,压力出口边界代表开域流动特性,两侧开域边界模拟车厢内空气自由流动特性,固定壁面边界对应车体底部与地面的约束,最终建立的流体域模型如图4所示。

本文建立了列车制动动力学的两阶段运动学模型:初始制动阶段采用等速边界条件,后续阶段采用动态网格技术实现速度参数的连续衰减。这种多边界协同建模方法有效地还原了制动系统与外部环境之间的能量交换机制。第一阶段为制动盘加速阶段,使速度达到预设值;第二阶段为制动减速阶段,制动盘根据列车制动确定的角速度–时间关系进行减速,直至速度降为零。

Figure 4. Three-dimensional model of the flow field domain

4. 流场域三维模型

参数设置

流场域设置为空气,其主要参数如表2所示[18],制动盘由合金钢制成,制动闸片由铜基粉末冶金材料制成,其主要材料参数如表3所示[19]

Table 2. Air medium parameters

2. 空气介质参数

参数名称

数值

动力黏度

1.983 × 105 Pa∙s

导热系数

0.023 W/(m∙k)

比气体常数

287 J (kg∙k)

恒压热容

1005 J (kg∙k)

Table 3. Material parameters of alloy steel brake discs and brake pads

3. 合金钢制动盘与制动闸片材料参数

材料参数

制动盘

制动闸片

材料名称

合金钢

铜基粉末冶金

密度/(kg/m3)

7850

5250

弹性模量/(GPa)

210

180

泊松比

0.31

0.3

比热容/(J/kg∙k)

462

550

热导率/(W/m∙k)

48

30

热膨胀系数/(1/k)

1.28 × 105

1.5 × 106

表面发射率

0.28

0.8

3. 制动盘环境流场分析

3.1. 制动盘环境流场速度分布

为了进一步探索不同散热面对流换热特性,本研究采用分区分析方法,将与制动盘和空气接触的主要散热面划分为四个特征区:流道表面;外圆面;内圆面;摩擦面。图5将制动盘主要散热区表面进行了详细分区。

Figure 5. The main heat dissipation surface of the brake disc

5. 制动盘主要散热表面

Figure 6. Speed map of the friction surface of the brake disc

6. 制动盘摩擦面速度云图

图6可以看出,制动盘摩擦面在t = 0.1 s时的最大流速为66 m/s,比流道表面要大,这说明对制动盘表面实施沟槽结构优化设计,可以改善制动盘的散热性能。这是由于制动盘表面的几何沟槽能够有效引导气流路径,在旋转工况下产生强制对流效应。根据Navier-Stokes方程来进行分析,挖槽结构一方面通过增大有效散热表面积,另一方面通过破坏热边界层连续性来促进热量耗散来增强近壁面区域湍流强度,从而提升对流换热系数。此外,该结构特征还能形成定向气流通道,提高加速局部流速,进而提高单位时间内的热对流交换效率。

3.2. 制动盘环境流场压力分布

仿真云图7表明,制动盘周围区域呈现出明显的压力梯度变化特征,表现为:

(1) 迎风侧正压积累区:制动盘迎风侧正压积累特性显著,最大正压值为1.71 kPa,最大负压值为−0.677 kPa。这种现象的形成原因可归结为:当高速气流向制动盘前缘移动时,由于物体表面的阻挡作用形成阻滞效应,导致气流的动能转化为压力能,进而在制动盘表面产生较大的气动阻力,最终使该区域的压力明显增加。

(2) 流道内的负压区:这是由于流道中的气流加速,导致压力降低。

Figure 7. Pressure contour map of the flow channel surface of the brake disc

7. 制动盘流道表面压力云图

Figure 8. Pressure distribution map of the friction surface of the brake disc

8. 制动盘摩擦面压力云图

分析图8可知,制动盘背风区呈现明显的负压分布特征,最大负压值达到−0.761 kPa。这种负压分布使制动盘在旋转过程中形成明显的内外径压差,产生强烈的吸力作用。即空气介质通过制动盘内径区的进气口进入流道区域,沿着散热筋之间的通风通道流动,并与制动盘壁面有充分的热交换,最后在离心力场的驱动下从外径出口排出。压力差驱动的强制对流机制显著增强了制动盘的散热性能,对抑制制动过程中的温度升高具有积极作用。这种现象主要是由于制动盘前方高速气体堵塞,将其动能转化为压力能,从而在迎风侧形成局部高压区。同时,制动盘迎风面与背风面压差呈现明显增大趋势,进一步强化了压差阻力效应。这种压力分布反映了制动盘流道表面和外圆面对周围流场的显著影响。

4. 制动盘热力耦合分析

本节基于上文建立的流热固耦合仿真模型,采用有限元分析的方法,系统研究合金钢、低碳钢和铸铁材料三种材料制动盘在流场作用下的温度场分布、热应力变化及其对制动性能的影响机制。通过对比分析不同材料和结构的制动盘热力耦合分布规律,旨在为制动盘的高效选材与结构优化设计提供参考依据,从而提升制动系统的整体性能与可靠性。为了更方便直观地观察;两种不同结构制动盘的温度和应力变化过程,研究提取了制动盘摩擦面的三个关键点:A (0.14882, 0.1955, 0.079)、B (0.1532, 0.2016, 0.079)、C (0.162, 0.2153, 0.079),如图9所示。

Figure 9. Position diagram of points A, B and C on the brake disc surface

9. 制动盘面A、B、C三点位置图

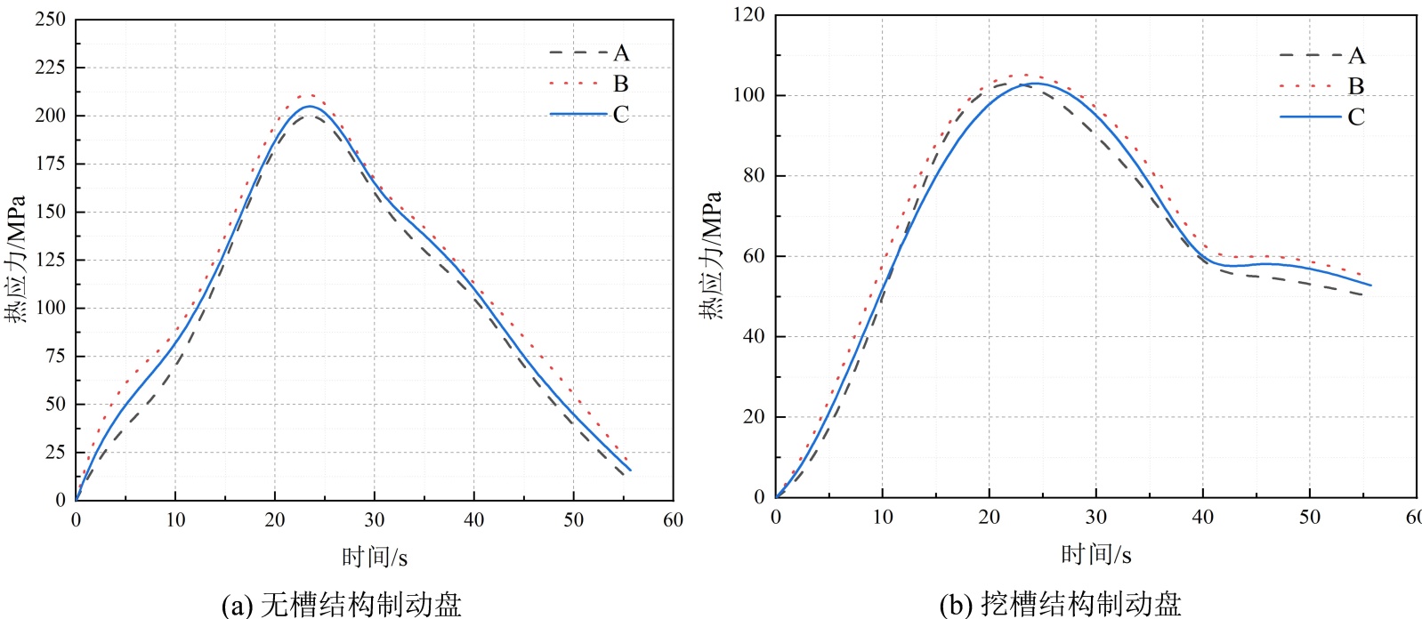
4.1. 不同结构制动盘热力耦合分析

本小节主要研究两种不同结构制动盘的热力耦合分布规律,制动盘选用同种材料(合金钢),制动片均选用铜基粉末冶金材料。研究制动盘摩擦面三个关键点(A, B, C)在整个制动过程中温度和应力随时间的变化趋势并进行对比分析,如图10所示。

Figure 10. Temperature change curves of different structural brake discs A, B, and C

10. 不同结构制动盘A、B、C三点温度变化曲线图

Figure 11. Stress variation curves of different structural brake discs A, B, and C

11. 不同结构制动盘A、B、C三点应力变化曲线图

基于上述结果,对不同结构制动盘的温度和应力峰值进行总结,如表4所示。

对同种合金钢材料的不同结构制动盘进行热力分布对比分析,根据表4数据,普通无槽结构制动盘的温度峰值较挖槽结构制动盘高出39.4%,应力峰值高出50%。分析表明,挖槽结构制动盘通过表面凹槽设计,能有效抑制摩擦面的温度与应力峰值,在提升散热效率方面具有明显优势。其原因在于:挖槽结构显著增大了对流换热面积,增强了空气的湍流扰动,从而加快了散热过程;同时,优化的沟槽布置能够引导气流形成定向循环,进一步提升局部流场的换热强度。该结构不仅可在紧急制动时减缓温升速率,还能通过抑制热流集中显著缓解热衰减效应,提高制动系统的稳定性与热安全裕度,对延长制动盘使用寿命具有重要工程意义。

Table 4. Statistics of temperature and stress peaks of different structural brake discs

4. 不同结构制动盘的温度和应力峰值统计

峰值

普通结构制动盘

挖槽结构制动盘

合金钢材料温度峰值

277℃

168℃

合金钢材料应力峰值

211 MPa

105 MPa

4.2. 不同材料制动盘热力耦合分析

Figure 12. Temperature variation maps of brake discs made of different materials at different times

12. 不同材料制动盘不同时刻温度变化云图

本小节主要研究不同材料制动盘的热力耦合分布规律,制动盘选用不同材料,制动片均选用铜基粉末冶金材料。图12研究了提取制动盘制动过程中三个关键时刻的温度场分布,分别为10 s、30 s左右(温度峰值时刻)和55.7 s (制动结束时刻);图13研究了提取制动盘制动过程中三个关键时刻的应力场分布,分别为10 s、23 s左右(应力峰值时刻)和55.7 s (制动结束时刻)。

Figure 13. Stress variation maps of brake discs made of different materials at different times

13. 不同材料制动盘不同时刻应力变化云图

针对铸铁、低碳钢和合金钢三种不同材料制成的制动盘,根据有限元仿真结果,分别得到了三种制动盘在制动过程中的温度云图和应力云图。通过对仿真数据的深入分析,发现虽然三种材料的热物理力学性能存在显著差异,但挖槽结构制动盘的温度场和应力场分布特征表现出高度的一致性。具体而言,三种材料的峰值温差和应力差差别不大。这一现象说明,制动盘的挖槽结构设计在一定程度上减弱了材料本身的性能差异对制动盘热力耦合行为的影响,从而使制动盘的整体性能对材料选择的依赖性相对较低。这一特点为制动盘的选材提供了更大的灵活性,在满足基本性能要求的前提下,可考虑成本、加工等其他因素,优化选材方案。

5. 结论

本文通过建立制动盘周围流场数值计算模型并围绕流场作用下不同材料制动盘热力耦合场分布规律展开系统分析研究,得到如下主要结论:

(1) 列车制动时,制动盘流道表面流场速度分布呈现显著的空间非均匀性,在制动初期,尾迹现象迅速形成,并沿气流方向往上游区域扩展。随着流动逐渐趋于稳定,湍流得到充分发展,尾迹扩展范围不再向上游延伸,空间分布范围和形态特征仍然清晰可辨。但其在整个制动过程中尾迹现象几乎一致,只有流速的变化,这说明尾迹现象与周围流体之间存在着显著的耦合效应,二者之间的能量交换和动量传递过程表现出较强的动力学特性。

(2) 对制动盘表面实施沟槽结构优化设计,可以改善制动盘的散热性能。这是由于制动盘表面的几何沟槽能够有效引导气流路径,在旋转工况下产生强制对流效应。此外,还能形成定向气流通道,提高加速局部流速,进而提高单位时间内的热对流交换效率。

(3) 制动盘的挖槽结构设计在一定程度上减弱了不同材料的性能差异对制动盘热力耦合行为的影响,从而使制动盘的整体性能对材料选择的依赖性相对较低,从而为制动盘的选材提供了更大的灵活性,在满足基本性能要求的前提下,可考虑成本、加工等其他因素,优化选材方案。

参考文献

[1] 李继山. 高速列车合金锻钢制动盘寿命评估研究[D]: [博士学位论文]. 北京: 铁道部科学研究院, 2006.
[2] 霍伟. 高速动车制动盘盘面裂纹扩展寿命评估方法研究[J]. 轨道交通材料, 2024, 3(4): 46-50.
[3] Marin, F.B. and Marin, M. (2021) CFD Modeling of Aerodynamic Car Brake Cooling System. The Annals of Dunarea de Jos University of Galati. Fascicle IX, Metallurgy and Materials Science, 44, 44-47. [Google Scholar] [CrossRef
[4] Jafari, R., Erkılıç, K.T., Tekin, O., Akyüz, R. and Gürer, M. (2022) Experimental and Numerical Study of Turbulent Flow and Thermal Behavior of Automotive Brake Disc under Repetitive Braking. Proceedings of the Institution of Mechanical Engineers, Part D: Journal of Automobile Engineering, 236, 1092-1100. [Google Scholar] [CrossRef
[5] Atkins, M.D., Kienhöfer, F.W., Lu, T.J., Chang, S. and Kim, T. (2021) The Role of Secondary Flows and Separation in Convective Heat Transfer in a Rotating Radial Vane Brake Disk. Journal of Heat Transfer, 143, Article 081801. [Google Scholar] [CrossRef
[6] Mingozzi, F., Verdin, P.G., Gucci, L. and Tirovic, M. (2022) CFD and Experimental Study of Heat Dissipation from an Anti-Coning, Pin Vented, Inboard Mounted Brake Disc. Proceedings of the Institution of Mechanical Engineers, Part D: Journal of Automobile Engineering, 237, 3133-3145. [Google Scholar] [CrossRef
[7] García-León, R.A., Afanador-García, N. and Gómez-Camperos, J.A. (2021) Numerical Study of Heat Transfer and Speed Air Flow on Performance of an Auto-Ventilated Disc Brake. Fluids, 6, Article 160. [Google Scholar] [CrossRef
[8] Yevtushenko, A., Kuciej, M., Grzes, P. and Wasilewski, P. (2021) Comparative Analysis of Temperature Fields in Railway Solid and Ventilated Brake Discs. Materials, 14, Article 7804. [Google Scholar] [CrossRef] [PubMed]
[9] Popescu, F.D., Radu, S.M., Andraș, A., Brînaș, I., Budilică, D.I. and Popescu, V. (2022) Comparative Analysis of Mine Shaft Hoisting Systems’ Brake Temperature Using Finite Element Analysis (FEA). Materials, 15, Article 3363. [Google Scholar] [CrossRef] [PubMed]
[10] Waddad, Y., Magnier, V., Dufrénoy, P. and De Saxcé, G. (2019) Multiscale Thermomechanical Modeling of Frictional Contact Problems Considering Wear—Application to a Pin-On-Disc System. Wear, 426, 1399-1409. [Google Scholar] [CrossRef
[11] Aman, N.K. and Mondal, S. (2021) Thermo-Mechanical Behavior of the Disc Brake for Varying the Number of Vanes. Automotive Science and Engineering, 11, 3701-3719.
[12] 陈锋, 王春江, 周岱. 流固耦合理论与算法评述[J]. 空间结构, 2012, 18(4): 55-63.
[13] 李和平, 林祜亭. 高速列车基础制动系统的设计研究[J]. 中国铁道科学, 2003, 24(2): 8-13.
[14] 张涛, 王梦昕, 丁亚琦, 等. 动车制动盘温度场和热应力场的耦合分析[J]. 兰州交通大学学报, 2011, 30(6): 119-122.
[15] 杨强. 列车制动盘温度场和应力场仿真与分析[D]: [硕士学位论文]. 北京: 北京交通大学, 2009.
[16] 左建勇, 罗卓军. 高速列车制动盘泵风效应分析[J]. 交通运输工程学报, 2014, 14(2): 34-40+74.
[17] Raj, K., Ramsai, R., Mathew, J. and Soniya, G. (2014) Numerical Investigation of Fluid Flow and Heat Transfer Characteristics on the Aerodynamics of Ventilated Disc Brake Rotor Using CFD. Thermal Science, 18, 667-675. [Google Scholar] [CrossRef
[18] Incropera, F.P., DeWitt, D.P., Bergman, T.L. and Lavine, A.S. (1996) Fundamentals of Heat and Mass Transfer. Vol. 6, Wiley.
[19] 周奇. 流固热耦合作用下高速列车盘式制动器振动特性分析[D]: [硕士学位论文]. 大连: 大连交通大学, 2023.