复合硫源自养反硝化脱氮性能研究
Study on Nitrogen Removal Performance of Composite Sulfur-Based Autotrophic Denitrification
DOI: 10.12677/aep.2026.162016, PDF, HTML, XML,    科研立项经费支持
作者: 韦纯忠:桂林理工大学环境科学与工程学院,广西 桂林;广西北投环保水务集团有限公司,广西 南宁;刘 松, 黄亮亮*:桂林理工大学环境科学与工程学院,广西 桂林;蒋严波:广西北投环保水务集团有限公司,广西 南宁
关键词: 硫铁矿硫磺自养反硝化脱氮性能高通量测序Pyrite Sulfur Autotrophic Denitrification Denitrification Performance High-Throughput Sequencing
摘要: 针对单一硫源自养反硝化启动慢、脱氮效率受限的特点,采用硫铁矿自养反硝化和硫磺自养反硝化耦合的复合硫源自养反硝化,通过批次实验探究硫铁矿/硫磺不同配比的复合硫源自养反硝化系统在不同水力停留时间(HRT)和不同 NO 3 浓度下的脱氮性能。结果表明,相较于单一硫源,硫铁矿:硫磺 = 1:1的脱氮性能较为突出,在HRT = 4 H,进水 NO 3 分别为10 mg/L、20 mg/L、30 mg/L、40 mg/L条件下,硫源比为1:1的自养系统平均去除率分别达到92.6%、92.5%、90.5%、80.7%,主要的优势菌属为norank_f__PHOS-HE36和Ferritrophicum
Abstract: In response to the slow startup and limited nitrogen removal efficiency caused by a single sulfur source in autotrophic denitrification, a composite sulfur source autotrophic denitrification system was developed by coupling iron sulfide mineral autotrophic denitrification with sulfur autotrophic denitrification. Batch experiments were conducted to investigate the denitrification performance of the composite sulfur source autotrophic denitrification system with different ratios of iron sulfide mineral to sulfur under varying hydraulic retention times (HRT)and nitrate ( NO 3 )concentrations. The results showed that, compared to using a single sulfur source, the denitrification performance was more pronounced with a sulfur source ratio of 1:1 (iron sulfide mineral to sulfur). At an HRT of 4 hours and influent nitrate concentrations of 10 mg/L, 20 mg/L, 30 mg/L, and 40 mg/L, the average nitrate removal efficiencies of the autotrophic system with a 1:1 sulfur source ratio reached 92.6%, 92.5%, 90.5%, and 80.7%, respectively. The dominant functional bacteria were identified as norank_f__PHOS-HE36 and Ferritrophicum.
文章引用:韦纯忠, 刘松, 黄亮亮, 蒋严波. 复合硫源自养反硝化脱氮性能研究[J]. 环境保护前沿, 2026, 16(2): 146-157. https://doi.org/10.12677/aep.2026.162016

1. 引言

随着工业的快速发展,水体富营养化问题也逐渐加剧[1]。对于我国城镇污水低C/N的水质特点,由于碳源不足,传统的异养反硝化工艺需要添加额外有机碳源,不仅提高了运行成本,在把控不精确的情况下,还可能会造成一定程度的二次污染[2]。因此,自养反硝化因其无需外加有机碳源、较低的运维成本、污泥产量少的优点,逐渐成为近年来污水脱氮领域的研究热点[3]。其中,硫自养反硝化在处理城镇生化尾水具有广阔的应用前景。

硫自养反硝化工艺,是指在硫自养反硝化菌的作用下,利用无机碳源,以还原性的硫化物作为电子供体,将污水中的 NO x N 作为电子受体被还原成 N 2 ,达到良好的脱氮效果[4]。单质硫S0作为一种相对廉价的化工产品,被普遍运用于生化尾水的硫自养反硝化深度脱氮除磷中[5]。但是,S0反应过程是一个产酸的过程,为了补充自养反硝化菌所需的无机碳源以及补充自养反硝化消耗的碱度,一般会向工艺体系中投加主要成分为碳酸钙的矿物质(石灰石、方解石、珊瑚石、鸡蛋壳等等) [6],其中运用最广泛的工艺是主要是硫磺/石灰石自养反硝化同步脱氮除磷工艺。其化学反应方程式如下[7]

5 S 0 +6 NO 3 +2 H 2 O5 SO 4 2 +3 N 2 +4 H + (1)

H + + CaCO 3 Ca 2+ + HCO 3 (2)

3 Ca 2+ +2 PO 4 3 Ca 3 ( PO 4 ) 2 (3)

但是,研究发现 Ca 3 ( PO 4 ) 2 的最佳沉淀pH为12,在硫自养反硝化体系中难以达到,因此限制了体系磷酸盐的去除[8]。硫铁矿(主要成分为 FeS 2 )作为地壳中最丰富的矿产之一,因其廉价易得,且可在自养反硝化体系中提供双电子供体,具有很好的应用前景,近年来受到越来越多的关注。

Ruihua Li等[9]开发了硫铁矿自养反硝化滤池,在HRT为24 H时,对城镇厂二级出水的总氮和磷酸盐去除率达到了91%和87%,实现了同步脱氮除磷,但是HRT较长,且反应启动较慢其化学反应式如下[10]

2 FeS 2 +6 NO 3 +4 H 2 O4 SO 4 2 +3 N 2 +2Fe ( OH ) 3 +2 H + (4)

针对单一硫源的自养反硝化启动较慢,脱氮水力停留时间长,以及处理成本较高的问题,本实验旨在探究硫铁矿/硫磺复合自养反硝化在不同HRT、硝酸盐浓度条件下的脱氮性能。

2. 实验材料与方法

2.1. 实验材料

采用粒径2 mm~3 mm的硫铁矿,硫磺粒径为2 mm~4 mm,用10%的盐酸浸泡24 H,去除表面的氧化物,然后用去离子水反复冲洗,待洗液呈中性时,在烘箱中于65℃中完全烘干后,密封保存。

2.2. 试验用水与接种污泥

试验用水采用人工配水,即在自来水中加入一定浓度的 KNO 3 KH 2 PO 3 NaHCO 3 。维持配水pH为7.9~8.4,TP浓度为2 mg/L,分别调节硝酸盐浓度为10 mg/L、20 mg/L、30 mg/L、40 mg/L。实验污泥取至广西防城港某污水厂厌氧池,经沉降后倒去上清液置于100 L塑料桶,加装搅拌机定时搅拌,定期排去上清液,投加药品,驯化周期为60天,药品为 KNO 3 2.16 g/L KH 2 PO 3 0.115 g/L NaHCO 3 ,1.25 g/L; Na 2 S 2 O 3 ,4.5 g/L; Na 2 SO 3 ,0.06 g/L。

2.3. 实验装置与方法

选用500 ml厌氧瓶,进水采用100 Lpvc水桶,外围用遮光保温棉包裹,内部放入加热棒,使温度维持在30℃ ± 1℃。厌氧瓶内分别加入混合均匀的比例为1:0、2:1、1:1、1:2、0:1的硫铁矿与硫磺,标号分别为①、②、③、④、⑤,内部接种50 ml驯化后的污泥,浸泡48 H进行接种,接种完毕后,用蠕动泵接入底部,通入配置好的人工污水,瓶外同样用遮光保温棉覆盖。每隔24 H取样,经0.4 um滤头过滤后对水样的有关指标进行测定,主要测定指标与方法见表1

Table 1. Main measurement indicators and methods

1. 主要的测定指标与方法

指标

测定方法

SO 4 2

铬酸钡分光光度法

pH

便携式智能酸度计测定

NO 3 N

紫外分光光度法

NO 2 N

N-(1-萘基)-乙二胺分光光度法

NH 4 + N

纳氏试剂分光光度法

TP

钼酸盐分光光度法

TN

碱性过硫酸钾消解紫外分光光度法

3. 结果与分析

3.1. HRT的变化对于自养体系的影响

3.1.1. HRT变化对于pH的影响

本实验初始的HRT为6 H,初始 NO 3 浓度为20 mg/L,TP浓度为2 mg/L。在第三天成功启动硫铁矿与硫磺耦合自养反硝化体系,从图1可以看出,在初始阶段,当HRT为6 H时,相较于其它比例的自养体系,硫铁矿:硫磺为1:0对pH的降低不够明显,随着HRT的缩短,出水pH降幅减缓,即HRT缩短导致体系反应不够充分,微生物的作用效率不够突出。对于pH的平均降低效果为⑤ > ③ > ④ > ② > ①,表明在复合硫源的体系下,硫铁矿中的铁元素与硫磺自养反硝化的产酸过程形成酸碱平衡,H+在体系中被持续中和,对体系的pH有一定的缓冲作用。

Figure 1. Changes in pH of inlet and outlet water at each stage

1. 各阶段进出水pH的变化

3.1.2. HRT变化对于脱氮性能的影响

Figure 2.   NO 3 removal rate at each stage

2. 各阶段   NO 3 去除率

由于硫铁矿与硫磺的体积不同,自养微生物对于两者的利用率也不同,这就导致了每一组的脱氮性能也有所不同。如图2,随着HRT的逐渐减小,脱氮性能在逐渐下降。在HRT为6 H的条件下 NO 3 的去除率分别达到了69.31%,83.63%,88.1%,84.46%,92.26%,硫铁矿:硫磺为0:1时的脱氮效果最好。在逐渐缩短HRT的过程中,对于0:1组的冲击较为明显,当HRT为1 H时, NO 3 去除率仅为43.93%,低于平均水平。在四个HRT阶段,硫铁矿:硫磺为1:1的脱氮效果更好平均去除率分别为88.1%,92.51%,62.65%,57.51%,均高于平均水平。

3.1.3. HRT变化对于 SO 4 2 的影响

图3,在启动初期,由于接种的硫自养反硝化菌活性很高,使得在初始HRT为6 H时,出水的 SO 4 2 浓度很高,五组的出水 SO 4 2 平均浓度分别为143.8 mg/L,170 mg/L,160.5 mg/L,137.5 mg/L,141.3 mg/L。随着HRT的减小,各分组的出水的 SO 4 2 平均浓度逐渐降低,当HRT降至1 H时,出水 SO 4 2 浓度降低至36.3 mg/L,44.8 mg/L,70 mg/L,57.8 mg/L,57.5 mg/L。分析原因如下,一是硫铁矿与硫磺自养反硝化体系是微生物介导的生化反应,缩短HRT使得体系无法充分接触,硫化物氧化不充分,减少了 SO 4 2 的生成;二是HRT的缩短会使流速加快,此过程可能会流失部分附着态微生物,导致体系的氧化反应受到削弱,从而降低了 SO 4 2 的生成。

Figure 3. Changes in SO 4 2 at each stage

3. 各阶段 SO 4 2 的变化

3.1.4. HRT变化对于TP的影响

配置进水TP浓度为2 mg/L,如图4,在开始阶段,HRT为6 H时各体系出水总磷均高于进水,随着HRT的减少,出水TP逐渐降低。是由于初期硫自养反硝化菌处于适应期,部分微生物裂解或代谢发生变化,导致原先细胞内储存的磷释放出来,提高了体系的总磷[11]。对于纯硫磺体系,主要是生物除磷,在后期由于硫自养反硝化菌稳定增值,与体系的聚磷菌、磷吸附菌形成协同群落,在厌氧条件下可吸收可溶性磷存于细胞内,达到了去除TP的效果[12]。而对于含硫铁矿的其他四组体系,如图5,随着硫铁矿的比例降低,Fe离子的含量在逐渐降低,在逐步缩短HRT的同时,反应接触时间也在减少,反应不够充分,导致Fe离子的生成量随着减少。但是除磷效果明显优于纯硫磺体系,铁磷比(Fe:P)由初始的0.42、0.38、0.33、0.30变为0.41、0.35、0.36、0.30,无明显变化,在体系中稳定生成磷酸盐沉淀,达到有效去除总磷。

Figure 4. Change in TP at stages

4. 各阶段TP的变化

Figure 5. Change in Fe at stages

5. 各阶段Fe的变化

由上述实验可得,在 NO 3 浓度为20 mg/L,TP浓度为2 mg/L条件下,随着HRT的减少,出水pH减少。而对于TP,由于实验初期会有磷的释放,导致出水TP高于进水,随着实验进程的推进,TP的去除率有明显提高。

在五组对比试验下,在体系为纯硫铁矿时,对于pH的降低影响最小。而在硫铁矿:硫磺为1:1的体系中, NO 3 去除效果最好,并且有较高的 SO 4 2 的生成量,综合下来,当HRT为4 H时,总体效果最好。

3.2. NO 3 浓度的变化对于自养体系的影响

3.2.1. NO 3 变化对pH的影响

基于上述实验结果,本阶段继续探讨 NO 3 浓度变化对于自养体系的影响。如图6,此阶段的初始 NO 3 为10 mg/L,调整TP浓度为20 mg/L,HRT为4 H,维持体系反应温度30℃ ± 1℃。随着 NO 3 浓度的升高,自养体系对于pH的降低程度逐渐增大。这说明当浓度升高时,会抑制反硝化细菌的活性,导致体系的硝氮无法完全还原为N2,使中间产物不断积累(如 NO 2 ),在积累过程会解离释放H+,使体系的pH下降。另一方面当 NO 3 浓度过高时,体系的硫源比例会相对减少,这就导致反硝化过程的电子供体的不足,增强了产酸途径,从而进一步降低了体系的pH。因此在处理较高 NO 3 浓度的污水时,应该适当增加硫铁矿的比例,用以中和体系中的H+,以维持体系的酸碱平衡。

Figure 6. Changes in pH of inlet and outlet water at each stage

6. 各阶段进出水pH的变化

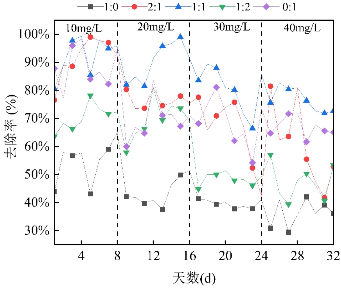
3.2.2. NO 3 变化对脱氮性能的影响

图7,在 NO 3 浓度为10 mg/L时,五组的去除率分别为63.2%、91.1%、91.9%、70.3%、88.4%。当硫铁矿:硫磺为1:1时,去除率最高,在逐步提高 NO 3 浓度至40 mg/L时,体系的总体去除率均有降低,分别达到了39.1%、60.7%、76.6%、47.3%、67.1%,1:1组别的去除率仍是最高。这表明对于该自养体系来说,低浓度的 NO 3 能够使体系硝酸盐浓度与硫铁矿/硫磺的氧化速率达到了动态平衡,硫铁矿氧化释放的Fe3+与硫磺产生的H+起到协同作用,起到缓冲pH的作用,使体系的pH维持在微生物生长的适宜范围[13]。逐步提高 NO 3 时,电子供体无法满足高浓度硝酸盐的还原要求,导致硝酸盐的部分残留,另外,中间产物的积累会对反硝化菌产生毒性,在一定程度上破坏细胞膜结构[13]。所以随着 NO 3 升高,去除率不断下降。

Figure 7. NO 3 removal rate at each stage

7. 各阶段 NO 3 去除率

3.2.3. NO 3 变化对 SO 4 2 的影响

Figure 8. Changes in SO 4 2 at each stage

8. 各阶段 SO 4 2 的变化

根据硫自养反硝化反应核心方程式(1.1S + 1 .0NO 3 + 0.76H2O + 0.4CO2 + 0 .08NH 4 + →0.08C5H7O2N + 0.5N2 + 1 .1SO 4 2 + 1.28H+)可知,理论上每消耗1 mol的硝酸盐氮会生成1.1 mol的硫酸根[14],因此,在硫源充足、微生物活性正常的情况下,提升总氮会显著增加硫酸根生成量。如图8,在进水总氮为10 mg/L时,各分组出水 SO 4 2 为58.3 mg/L、74.3 mg/L、81.8 mg/L、63.8 mg/L和78 mg/L,此时各组别的平均硝酸盐去除量分别为6.32 mg/L、9.11 mg/L、9.19 mg/L、7.03 mg/L、8.84 mg/L,硝酸盐去除量与硫酸根生成量的摩尔比分别为1:5.95、1:5.27、1:5.74、1:5.86、1:5.70。将总氮提升至40 mg/L时,出水 SO 4 2 显著提升,分别提升至98.5 mg/L、120.6 mg/L、181.8 mg/L、110.9 mg/L和141.6 mg/L,此时各组别的平均硝酸盐去除量分别为15.64 mg/L、24.28 mg/L、30.64 mg/L、18.92 mg/L、26.84 mg/L硝酸盐去除量与硫酸根生成量的摩尔比分别为1:4.07、1:3.21、1:3.83、1:3.78、1:3.41,提升总氮浓度能够增大两者之间的比例,更接近理论值。 SO 4 2 的平均生成量与 NO 3 的去除率成正比,根据生成量的关系,能够直观体现出自养反硝化的强弱。

3.2.4. NO 3 变化对TP的影响

Figure 9. Change in TP at stages

9. 各阶段TP的变化

Figure 10. Change in Fe at stages

10. 各阶段Fe的变化

图9,在初始阶段,硝酸盐浓度较低,反硝化过程会刺激硫自养微生物的活性,加速硫铁矿中Fe3+的释放以及硫磺的生物转化,生成磷酸盐沉淀,对于纯硫磺体系,由于主要是生物除磷,因此在微生物活性最高时达到最佳去除率。此外,对于含有硫铁矿的体系,如图10,在合理范围内提升硝酸盐浓度能够有效提升Fe离子生成量,但是浓度过高,便会抑制Fe离子生成,平均的Fe:P由开始的0.48、0.43、0.45、0.49降低为0.45、0.38、0.36、0.29,抑制了磷酸盐的生成,当硝酸盐浓度提升时,厌氧区的硝态氮浓度较高,反硝化菌会优先利用硝态氮作为电子受体进行反硝化反应,从而抑制聚磷菌的释磷过程[15],两者共同作用下,导致TP去除率总体呈现出逐渐减小的趋势。

3.3. 微生物菌群结构分析

微生物的群落结构可以反映不同分类水平下自养体系中微生物种类的相对丰度,对系统功能分析具有重要意义。如图11可以看出,门水平相对丰度最高的4个菌门分别是变形菌门(Pseudomonadota)、惰杆菌门(Ignavibacteriota)、绿弯菌门(Chloroflexota)、热脱硫杆菌门(Thermodesulfobacteriota),各占样品微生物总量36.05%、33.28%、10.34%和7.42%,这4个门之和占总样品微生物总量的87.09%。有研究表明,变形菌门和惰杆菌门的丰度能够有效体现出自养反硝化脱氮效果[16]。其中,拟杆菌门(Bacteroidota)所含有的一定数量相关细菌也参与到硫自养反硝化过程,丰富度为2.74%。

图12可知,系统中主要优势菌属为硫自养反硝化菌属(norank_f__PHOS-HE36)、铁氧化菌属(Ferritrophicum)、硫杆菌属(Thiobacillus)、厌氧绳菌属(Anaerolineaceae)、硫酸盐还原菌属(Desulfatirhabdium)和红环菌属(Rhodocyclaceae),其所占样品微生物总量比例分别为33.11%、12.69%、11.61%、5.56%、5.33%和3.55%。硫自养反硝化菌属与硫杆菌属相对丰度占比较高,在硫自养反硝化体系中占有重要作用,而铁氧化菌属是进行铁自养反硝化的主要功能菌属,这表明在反应器下,硫自养反硝化为主导,铁自养反硝化反应为辅,两者协同作用。厌氧绳菌属是Fe (Ⅱ)氧化过程的关键微生物,其丰度增加会促进Fe(Ⅱ)氧化,并在有机质作用下形成更高水平的低结晶态铁氧化物[17]。硫酸盐还原菌属是一类以乳酸或丙酮酸等有机物作为电子供体,在厌氧状态下,将水中硫酸盐、硫代硫酸盐作为电子受体还原为H2S,能有效去除水中的硫酸盐[18]

Figure 11. Relative abundance plot at the phylum level

11. 门水平相对丰度图

Figure 12. Relative abundance diagram of the genus level

12. 属水平相对丰度图

4. 结论

以硫铁矿和硫磺不同比例为硫源的耦合自养反硝化脱氮系统,在处理低C/N污水表现出良好的性能。

(1) 随着体系HRT的减少,各组的整体脱氮性能也在逐渐降低,硫源比为1:1的组别平均去除率最高,在HRT为4 H时, NO 3 去除率达到92.51%。复合硫源体系的pH维持在单一硫源体系范围内,对pH具有一定的缓冲作用, SO 4 2 的生成量逐渐减少,硫源1:1的平均生成量最高,与脱氮效果成正比,HRT的变化对TP去除率的影响不明显,随着反应进行,TP去除率逐渐升高。

(2) 随着 NO 3 浓度的升高,体系pH的降低幅度逐渐增大,复合硫源的pH稳定在单一硫源之间,进一步验证了复合硫源对于pH的缓冲效果。 NO 3 去除率逐渐降低,1:1体系的平均去除率仍是最高,在 NO 3 浓度为10 mg/L时,平均去除率达到了91.9%。体系 SO 4 2 的生成量逐渐升高,硫源1:1的平均生成量最高,与脱氮效果成正比。TP的去除率随着 NO 3 的升高逐渐降低。

(3) 高通量测序表明,门水平上的主要贡献者为变形菌门、惰杆菌门、绿弯菌门和热脱硫杆菌门,占到总量的87.09%。属水平上,硫自养反硝化菌属(norank_f__PHOS-HE36)为主导,占到33.11%,铁氧化菌属(Ferritrophicum)为辅,占到12.69%。

致 谢

感谢韦纯忠老师、黄亮亮老师、蒋严波老师倾力相助,提供足够完善的实验条件,感谢师兄弟的互相帮助:韦愿、冉琪、冯星灿、甘润杰、陈春生、李浩。此致,敬意。

基金项目

广西重点研发计划(桂科AB25069511)。

NOTES

*通讯作者。

参考文献

[1] 李明礼, 高彦宁, 黄丹, 等. 强化型硫铁矿自养反硝化工艺深度处理城市二沉尾水研究[J]. 大连理工大学学报, 2023, 63(5): 454-462.
[2] 车向前, 林娜, 金新民, 等. 异养硝化好氧反硝化菌的研究方法及脱氮增强策略研究进展[J]. 中国环境科学, 2025, 45(12): 6617-6630.
[3] Liu, Y., Wang, H., Sun, Y., Cheng, H., Lu, S. and Wang, A. (2023) Application of the Sulfur-Siderite Composite Filler: A Case Study of Augmented Performance and Synergistic Mechanism for Low C/N Wastewater Treatment in Constructed Wetland. Chemical Engineering Journal, 475, Article ID: 146376. [Google Scholar] [CrossRef
[4] 张献旭, 胡晓玲, 张俐, 等. HRT对硫/菱铁矿自养反硝化系统运行性能的影响[J]. 工业水处理, 2022, 42(11): 177-183.
[5] 刘其松, 隆添翼, 彭震, 等. 硫磺-铁碳复合填料配比对反硝化脱氮的影响探究[J]. 水处理技术, 2025, 51(3): 141-146.
[6] Sun, Y., Zhu, L., Zheng, K., Qian, Z., Cheng, H., Zhang, X., et al. (2024) Thermodynamic Inhibition of Microbial Sulfur Disproportionation in a Multisubunit Designed Sulfur-Siderite Packed Bioreactor. Environmental Science & Technology, 58, 4193-4203. [Google Scholar] [CrossRef] [PubMed]
[7] 苑振华, 刘光明, 陈启斌, 等. 生物炭对硫自养反硝化人工湿地深度净化污水厂尾水的影响[J]. 环境工程技术学报, 2025, 15(2): 559-571.
[8] 王卫. 磁黄铁矿-硫磺协同自养反硝化深度同步脱氮除磷行为与机理研究[D]: [硕士学位论文]. 南京: 南京大学, 2019.
[9] Li, R., Niu, J., Zhan, X. and Liu, B. (2013) Simultaneous Removal of Nitrogen and Phosphorus from Wastewater by Means of Fes-Based Autotrophic Denitrification. Water Science and Technology, 67, 2761-2767. [Google Scholar] [CrossRef] [PubMed]
[10] 江优优, 涂辉, 王婷, 等. 硫自养反硝化脱氮滤池在处理焦化废水中的应用[J]. 环境工程学报, 2025, 19(5): 1259-1270.
[11] 陈秀娟, 陈鹏, 李东, 等. 硫自养反硝化技术及应用研究进展[J]. 中国给水排水, 2025, 41(8): 22-31.
[12] Sun, J., Li, H., Dong, H., Liu, L., Zhou, C., Du, Z., et al. (2025) Magnetite-Augmented Sulfur-Siderite Autotrophic Denitrification: Deep Nitrogen Removal at Ultra-Low HRT from Lab to Pilot Scale. Water Research, 284, Article ID: 124034. [Google Scholar] [CrossRef] [PubMed]
[13] Pu, J., Feng, C., Liu, Y., Li, R., Kong, Z., Chen, N., et al. (2014) Pyrite-Based Autotrophic Denitrification for Remediation of Nitrate Contaminated Groundwater. Bioresource Technology, 173, 117-123. [Google Scholar] [CrossRef] [PubMed]
[14] 朱泽龙, 王琴. 改良型Bardenpho工艺处理生活污水的效果分析[J]. 煤炭与化工, 2016, 39(12): 143-147.
[15] 荀卫兵, 王伯仁, 冉炜, 等. 不同施肥制度对南方旱地红壤微生物组结构和功能影响研究进展[J]. 农业资源与环境学报, 2021, 38(4): 537-544+532.
[16] 李金城, 陆祖贤, 井含佳, 等. 硫铁矿/菱铁矿复合矿源自养反硝化脱氮除磷性能[J]. 广西科学, 2024, 31(4): 788-796.
[17] Wang, S., Dai, B., Wang, Z., et al. (2025) S0 Powder as Biofilm Carrier and Electron Donor Enhances Autotrophic Nitrogen Removal in Sulfur-Driven Partial Denitrification Coupled with Anammox. Bioresource Technology, 442, Article ID: 133707.
[18] Qi, R., Tang, M. and Chen, Y. (2025) Direct Interspecies Transfer Modulated Chromium(VI) Reduction by Coculture Inorganic SOB-SRB. Journal of Environmental Chemical Engineering, 13, Article ID: 115931. [Google Scholar] [CrossRef