基于自适应动态模态分解的间谐波参数检测
Inter Harmonic Parameter Detection Based on Adaptive Dynamic Mode Decomposition
摘要: 电力系统中的间谐波污染问题正在从多个方面危害电力系统的正常运行。针对电力系统中存在间谐波的电压信号分解和参数识别问题,本文提出了自适应动态模态分解法。首先利用本文提出的误差系数法和能量法确定信号输入矩阵的系数;接着利用动态模态分解法分解信号,得到模态分量;最后通过双谱线插值的FFT算法计算瞬时幅值和瞬时频率,确定间谐波分量的参数。经过本文实验验证,此方法能够精确识别分解信号中的间谐波分量,在参数识别时的精度较高,在处理基频偏移、密集分量时的表现较好,且克服了传统方法存在的模态混叠问题,在精度上也高于传统识别算法,同时具有较好的噪声鲁棒性。在搭建实验平台进行实验和检测实际信号时,也体现了很好的实用性。
Abstract: The problem of inter harmonic pollution in the power system is endangering the normal operation of the power system from multiple aspects. This paper proposes an adaptive dynamic mode decomposition method to address the problem of voltage signal decomposition and parameter identification in the presence of interharmonics in the power system. Firstly, the error coefficient method and energy method proposed in this article are used to determine the coefficients of the signal input matrix; then use the dynamic mode decomposition method to decompose the signal and obtain modal components; finally, the instantaneous amplitude and frequency are calculated using the FFT algorithm with double spectral line interpolation to determine the parameters of the interharmonic components. After experimental verification in this article, this method can accurately identify the interharmonic components in decomposed signals, with high accuracy in parameter identification and good performance in dealing with fundamental frequency offset and dense components. It also overcomes the mode mixing problem of traditional methods and has higher accuracy than traditional identification algorithms. At the same time, it has good noise robustness. The practicality of building an experimental platform for conducting experiments and detecting actual signals has also been demonstrated.
文章引用:梁泽宇, 何陈程, 王文波. 基于自适应动态模态分解的间谐波参数检测[J]. 电路与系统, 2026, 15(1): 23-47. https://doi.org/10.12677/ojcs.2026.151003

1. 引言

近些年,随着我国电网系统的不断扩张与进步,居民用电质量得到了显著提高和有效保障[1]。但与此同时,其中的不稳定因素也日益增多,最终导致间谐波污染情况愈加严重[2]。间谐波污染在降低电能使用效率、增加电网损耗的同时,还会电力设备的正常平稳运行,对电力系统的正常运转造成了严重威胁[3] [4]。因此,为了提升电网效率,实现间谐波专项治理,对电力间谐波信号进行精准检测非常重要[5] [6]

目前,国内外学者已对间谐波参数检测进行了深入研究,并根据情况和条件不同,提出了多种间谐波参数检测方法,如傅里叶变换、Teager能量算子法、Hilbert-Huang变换等[7] [8]。但以上信号分解方法抗噪声干扰能力较差,在处理复杂谐波问题,如间谐波、密集谐波时的效果也不尽如人意[9] [10]

文献[11]提出一种改进的快速TLS-ESPRIT算法,此算法优化了传统FFT算法在频谱分辨率方面的不足,且在噪声干扰下能够准确检测谐波和间谐波,但对时变信号的识别以及基频偏移对其影响未被验证。文献[12]将变分模态分解(Variational Mode Decomposition, VMD)运用于谐波检测中,其有效克服了传统经验模态分解(Empirical Mode Decomposition, EMD)中存在虚假分量和模态混叠的问题,并实现了VMD的模态数目自适应,能够同时分析稳态与暂态谐波,具有一定的噪声鲁棒性,但在识别密集型谐波时结果较差。文献[13]提出一种基于经验小波变换的电力系统间谐波检测方法,能够精准检测电网中的高频微弱谐波,但其时间分辨率仍有待提高,同时还有较为明显的端点效应。

动态模态分解(Dynamic Mode Decoposition, DMD)由Peter Schmid在2008年首次提出[14],在动态系统的Koopman算子上发展而来。该方法基于矩阵分解和线性系统理论,通过构建Koopman矩阵来捕捉系统的动态行为,旨在将复杂的流动过程分解为低秩的时空特征,通过特征描述流场的动态行为[15]。DMD首先对数据集进行奇异值分解(SVD),然后求解Koopman矩阵的特征值和特征向量。该方法既有效弥补了传统分解方法易出现模态混叠的缺陷,又有很高的分解精确性。随着DMD理论的不断完善,其应用范围也逐渐扩大。除流体动力学领域外,DMD还被用于分析多元时间序列数据,进行短期未来状态预测,并取得了不错的效果[16]

DMD算法是信号处理中一种较新的时频分析方法,但是原始的DMD算法在时频分析领域仍存在局限性[17]。其输入Koopman矩阵的行数m的选择会很大程度上影响最终的计算结果,如果m选择不好,会出现模态混叠或者过分解的情况。为解决此问题,本文提出了一种优化的DMD算法,此算法可以自适应计算Koopman矩阵参数m,并应用谱线插值FFT求解幅值和频率参数。最终通过实验表明该方法可有效计算正确的m值,且对间谐波实现精确检测[18]

2. 动态模态分解

DMD是一种对低维系统进行分解的方法。该算法起源于Koopman算子,对于含有不同间谐波分量的信号,动态模态分解算法可根据间谐波频率不同将其从原始信号中分解出来。

由于一维信号不能直接应用到DMD算法之中,因此要基于原始信号数据构建多维矩阵作为输入矩阵。本文选择构建信号的Hankel矩阵进行动态模态分解[19]

构造如下信号Hankel矩阵

X=[ x( 1 ) x( 2 ) x( nm ) x( 2 ) x( 3 ) x( nm+1 ) x( m ) x( m+1 ) x( n ) ] (1)

其中,m代表对谐波信号进行叠加的次数,也是Hankel矩阵的列数,为本文主要需要确定参数,其受到谐波信号中包含的分量的个数、分量密集程度以及噪声的影响。DMD可对以上Hankel矩阵进行分解,从而获取信号中的不同间谐波分量。

在时间t内经过采样后重构的间谐波信号矩阵为

X=[ x 1 , x 2 , x 3 ,, x n ] (2)

式中, x 1 , x 2 , x 3 ,, x n 为列向量。在数据集矩阵 X 中,定义采样时刻fg之间的子矩阵为

X f g =[ x f , x f+1 , x f+2 ,, x g ] (3)

设置两个谐波信号子矩阵分别为

X 1 n1 =[ x 1 , x 2 , x 3 ,, x n1 ] (4)

X 2 n =[ x 2 , x 3 , x 4 ,, x n ] (5)

设在信号中不同时间点采样得到的信号数据之间有着某种线性关系,则它们之间的关系可以由映射矩阵A表示为

x i+1 =A x i (6)

设不同时刻采样得到的谐波数据均满足以上关系,则谐波信号的两个子矩阵的关系为

X 2 n =[ x 2 , x 3 , x 4 ,, x n ] =[ A x 1 ,A x 2 ,A x 3 ,,A x n1 ] =A X 1 n1 (7)

在DMD算法中,首先由原始信号矩阵X矩阵构造出两个子矩阵 X 1 n1 X 2 n ,然后通过求解前文提出的映射关系矩阵A来获取间谐波信号的DMD分解模态。

下面对映射矩阵A求解,首先将信号子矩阵 X 1 n1 进行分解为

X 1 n1 =US V T (8)

进一步间谐波信号子矩阵 X 2 n 可表示为

X 2 n =AUS V T (9)

则定义矩阵A

A= X 2 n X 1 n1 ' U T X 2 n V S 1 (10)

具体为

U T X 2 n V S 1 = U T ( AUS V T )V S 1 = U T AU A ˜ (11)

式中, A ˜ A的近似矩阵,其前K个特征值相同。 A ˜ 称为为映射矩阵A的最优低维近似矩阵。下面计算特征向量。

A ˜ W=WΛ (12)

其中 W A ˜ 的特征向量矩阵, Λ 是由特征值 λ i 组成的对角阵,每一个 λ i 都是一个DMD特征值。

为得到DMD分解的模态,首先定义 ϕ 矩阵, ϕ 中每一个列向量 ϕ i 对应一个特征值 λ i

ϕ= X 2 n V S 1 W (13)

结合前文可得

A ϕ i = λ i ϕ i (14)

再由前文给出的递推条件可得第k + 1个分解模态 u k+1

u k+1 =A u k = i c ik A ϕ i = i c ik λ i ϕ i (15)

其中 c ik 为第k个分解模态的第i个时间点时的值。

定义DMD分解的初始向量 b 。其值取决于 X 1 n1 向量的列向量,公式为

b = ϕ x 1 (16)

X k = A k1 X 1 ,可推出第k个分解模态为

u k = i A k1 ϕ i b i = i λ i k-1 ϕ i b i =ϕ Λ k1 b (17)

值得注意的是,由于DMD的算法特性,其会将一个间谐波分量模态分解为两个相同模态,所以需要将相同模态两两相加获取正确的分解模态。

3. 基于参数优化DMD的间谐波参数检测

电力系统中的含间谐波信号模型可表示为

u( n )= m=1 m A m cos( 2πn f m + φ m ) (18)

式中 A m f m φ m 分别为间谐波分量的幅值、频率和相位。

3.1. 不同m值对DMD分解性能的影响

DMD对谐波和间谐波信号具有良好的分解效果。但其分解效果受Hankel矩阵参数的影响较大。如果Hankel矩阵m值设置过大或过小,则会导致分解结果出现较大误差。

Figure 1. DMD decomposition results at m = 10

1. m = 10时的DMD分解结果

Figure 2. DMD decomposition results at m = 20

2. m = 20时的DMD分解结果

由DMD理论分析可知,在求解信号的映射矩阵A的过程中,需要对子矩阵 X 1 n1 进行奇异值分解,并对分解出的奇异值由大到小进行排列,最终选取前K个奇异值及相应的奇异向量进行后续运算。其中,大奇异值代表有用的信号分量,而较小的奇异值可视为信号的干扰分量。算法中,K值的最终结果取决于Hankel矩阵m值,因此正确选择m值至关重要。

为更直观地说明,给定信号如下所示

f( t )=0.486cos( 30πt )+0.304sin( 10πt ) (19)

同时向信号中加入SNR = 80的噪声。m取不同值时,对该信号进行DMD分解,分解结果如图1图2所示。

图1可知, m=10 时,分解信号不是正常的平稳信号,说明m过小,信号不能被完全分解; m=20 时,信号被完全分解为4个平稳信号,所以m值不同,得到的结果分解差异很大。

3.2. 基于残差能量值优化参数m

由DMD算法原理可知,在处理信号前需预先将信号数据处理为Hankel矩阵的形式,但受实际情况的限制,Hankel矩阵的列数m通常难以准确设定。m过大或过小都可能导致DMD无法正常分解信号。考虑到范数可用于度量信号能量[20],定义误差系数e作为指标,其表达式为

e= i=i N ( f( i )U( i ) ) 2 i=1 N f ( i ) 2 (20)

其中Uk个分解模态加和形成的重构信号,f为原始信号。定义误差系数e的阈值为 μ ,经计算以及文献查询,本文实验中,取的 μ 值为0.001。

同时由于DMD分解后需将相同信号相加对应原始信号分量,对DMD分解结果根据能量值进行排序,方便后续计算。

有实验发现,仅根据损失系数e来确定的m值会存在m值选取偏大的情况,因此,本文提出能量差法来弥补这一缺陷。首先根据损失系数e确定模态最大分解个数 m max ,并计算原始信号的能量值E,逐步求取模态分解个数为k时的累加能量 E m ( m=1,2,, m max ) ,然后将E E k 作差并求取绝对值得到能量差值。采样率和采样点数相同的两个信号的能量差越小,说明两个信号越相似。因此,选取能量差最小的k值作为模态分解个数K。当能量差值相同时,选取较小的k值为最佳模态分解个数

3.3. 基于插值加窗FFT的信号参数识别

本文利用双谱线插值FFT对分解信号的参数进行识别,以解决传统FFT存在栅栏效应和频谱泄露问题[21] [22]

首先进行信号加窗,此处选择Haning窗,窗函数公式如下

v( n )=0.5[ 1cos( 2πn M+1 ) ],1nM (21)

对信号 u( n ) 加窗后函数如下所示

y( n )=u( n )v( n ) (22)

对信号 y( n ) 进行离散傅里叶变换可得

U( k )= n=0 N1 y( n ) e j 2π N kn (23)

设傅里叶变换后频谱峰值点为 k m ,其两侧的谱线所在点分别为 k m+1 k m1 。这两条谱线的幅值分别为 U( k m+1 ) U( k m1 ) 。则定义频率偏移量 φ 公式如下:

φ= | U( k m+1 ) || U( k m1 ) | 2| U( k m ) || U( k m+1 ) || U( k m1 ) | (24)

则间谐波信号频率的修正公式为:

f=( k m +φ ) f s N (25)

接着定义间谐波信号幅值的修正公式为:

A= | U( k m+1 ) |+| U( k m1 ) | 2 + | U( k m+1 ) || U( k m1 ) | 2 cos( π( f f s ( m1 ) ) ) (26)

3.4. 基于Hilbert变换的暂态信号定位算法

由于DMD算法在分解暂态信号时有明显劣势,于是本文提出了一种暂态信号幅值时变点的定位算法,来对暂态信号进行预处理。首先利用Hilbert变换绘制信号的瞬时幅值曲线 a i ( t ) 。Hilbert变换公式如下

y( t )= 1 π + x( t ) tτ dτ (27)

其中 x( t ) 为一实值函数,构建复解析函数为

z( t )=x( t )+jy( t ) (28)

瞬时幅值函数 a( t ) 可表示为

a( t )= x ( t ) 2 +y ( t ) 2 (29)

由于在暂态谐波分量的谐波扰动的起始点处,其瞬时幅值发生阶跃跳变,因此可对 a i ( t ) 求取差分,根据 da/ dt 中的显著极值即可定位扰动起止的具体时刻。由于 a i ( t ) 在扰动起止瞬间以外的时刻内存在微小波动,导致 da/ dt 中除显著极值外还存在多个微小极值,故设置阈值 T=0.15max( | da/ dt | ) ,将差分结果中绝对值小于T的赋值为0,以确保能够准确提取暂态信号的时变点,即间谐波扰动起止的具体时刻。

3.5. 本文谐波参数检测算法的流程

本文提出的自适应动态模态分解(Adaptive Dynamic Mode Decomposition, ADMD)对于稳态简谐波信号具体实现步骤如下,流程图如图3所示。

1) 初始化m为1。

2) 令 m=m+1 ,进行DMD分解。

3) 计算误差系数e

4) 重复步骤(2)和步骤(3)直至误差系数e小于设定的阀值 μ 1 ,得到 m max

5) 计算 m= m max 时的DMD分解结果,得到分解模态。

6) 对分解出的模态分量分别进行双谱线插值FFT检测,得到分解模态的参数。

Figure 3. Flowchart of the ADMD algorithm

3. ADMD算法流程图

对于暂态间谐波信号,在进行信号分解前,首先进行时变端点的定位。步骤如下对原始:

1) 信号进行Hilbert变换提取瞬时幅值曲线;

2) 对结果提取结果进行差分计算;

3) 取差分后的结果的极值点便是时变端点;

4) 根据检测的端点将原信号切割,分别进行ADMD分解并检测频率和幅值。

4. 仿真分析

4.1. 稳态间谐波分析

我们采用如下多分量间谐波信号对本文所提算法进行验证,其参数信息如式所示。采样频率fs = 8192 Hz,t = 0.5。

u 1 ( t )=123.1cos( 1502πt )+78.2cos( 922πt )+13cos( 1262πt ) +10.8cos( 83.22πt )+6.5cos( 502πt )+2.1cos( 202πt ) (30)

对信号进行ADMD分解,得到12个模态如图,根据DMD分解特性,将能量值相邻两模态相加,得到分解模态。同时得到随着m值变化,误差系数e的变化如图4,可知 m=37 时误差系数达到阈值以下,则将 m=37 选作Hankel矩阵构建的最优值。不同分解方法的分解结果如下,在进VMD分解时,依旧采用本文参数选取方式对分解信号数量进行选取,经过计算,选取 m=8 为VMD信号分解个数,下面对信号进行分解,分解结果如图5~7所示。

图5可知,EMD算法从原信号中提取出10个模态分量,但其中每个IMF分量中都存在模态混叠现象,无法将间谐波信号充分分解,也无法对分解信号的参数进行准确计算。反观VMD和本文提出的ADMD算法在进行信号分解时未出现模态混叠的问题,可以将信号充分分解,并识别参数,下面将VMD和ADMD的分解精度进行对比。结果如表1表2所示。

Figure 4. Steady-state signal error coefficient variation

4. 稳态信号误差系数变化

Table 1. Steady state harmonic frequency detection results

1. 稳态谐波频率检测结果

理论频率

ADMD检测相对误差/%

VMD检测相对误差/%

150

2.01E−02

1.25

92

1.97E−02

2.36

126

1.99E−02

2.45

83.2

2.05E−02

1.98

50

2.05E−02

3.01

20

2.01E−02

2.56

Table 2. Steady state harmonic assignment detection results

2. 稳态谐波赋值检测结果

理论频率

ADMD检测相对误差/%

VMD检测相对误差/%

123.1

6.34E−08

2.56E−05

78.2

3.65E−08

3.79E−06

13

1.13E−11

4.88E−05

10.8

1.51E−08

2.66E−04

6.5

6.21E−08

5.36E−05

2.1

1.67E−11

2.33E−06

Figure 5. EMD algorithm decomposition results

5. EMD算法分解结果

Figure 6. VMD algorithm decomposition results

6. VMD算法分解结果

Figure 7. ADMD algorithm decomposition results

7. ADMD算法分解结果

4.2. 噪声鲁棒性检测

Figure 8. ADMD algorithm decomposition results when SNR = 30

8. SNR = 30时ADMD算法分解结果

分别对原始信号添加信噪比为0 dB、30 dB、40 dB的噪声,并分别对加噪信号进行ADMD分解。在信噪比30 dB的环境下ADMD分解结果如图8所示,表3表4分别为对原信号增加不同程度噪声后分解模态的参数检测结果。

图8可知,当信噪比低至30 dB时,DMD仍然可以从原始信号中提取出模态分量,且未出现分量中存在模态混叠和噪声过大等问题,分解结果良好。这也与DMD分解中自带的SVD截断算法滤除了分解结果中的噪音分量有关。

Table 3. Detection results of steady-state harmonic frequency with added noise

3. 加噪稳态谐波频率检测结果

理论频率

频率相对误差/%

无噪声

SNR = 40

SNR = 30

150

2.01E−02

6.02E−02

0.301

92

1.97E−02

6.11E−02

0.298

126

1.99E−02

6.05E−02

0.318

83.2

2.05E−02

6.03E−02

0.221

50

2.01E−02

6.02E−02

0.309

20

2.01E−02

6.02E−02

0.278

Table 4. Detection results of steady-state harmonic amplitude with added noise

4. 加噪稳态谐波幅值检测结果

理论幅值

频率相对误差/%

无噪声

SNR = 40

SNR = 30

123.1

6.34E−08

3.42E−04

1.38E−03

78.2

3.65E−08

4.81E−04

2.14E−03

13

1.13E−11

6.56E−04

1.64E−02

10.8

1.51E−08

1.51E−03

9.94E−03

6.5

6.21E−08

1.92E−03

7.63E−03

2.1

1.67E−11

6.10E−03

1.38E−02

表3表4的相对误差检测结果,本文提出的方法在检验加噪信号的参数时结果良好,具有较好的噪声鲁棒性。在无噪声情况频率误差均低于0.03%,幅值误差均低于6.5E−08%;引入噪声后仍然有良好的检测精度,30 dB信噪比下频率相对误差均在0.3%左右,幅值相对误差均低于0.02%。不同信噪比下各次谐波的识别误差如图9图10所示。

Figure 9. Relative frequency detection error of each harmonic under different signal-to-noise ratios

9. 不同信噪比下各次谐波的频率检测相对误差

Figure 10. Relative error in amplitude detection of each harmonic under different signal-to-noise ratios

10. 不同信噪比下各次谐波的幅值检测相对误差

4.3. 密集间谐波检测

传统的信号分解方法常常无法准确检测间谐波信号中的密集成份,易出现模态混叠和分解不充分等问题。接下来,我们利用如下信号来进行密集间谐波检测实验,测试本文方法在密集间谐波情况下的检测和分解性能,并于传统VMD,EMD方法进行对比。

u 2 ( t )=0.146cos( 502πt )+0.284cos( 50.12πt )+0.126cos( 602πt ) (31)

Table 5. Frequency detection results of dense interharmonics

5. 密集间谐波的频率检测结果

理论频率

ADMD检测

相对误差/%

VMD检测

相对误差/%

EMD检测

相对误差/%

50

3.22E−04

0.216

10.42

50.1

3.61E−04

0.377

12.86

60

3.10E−04

0.208

11.21

Table 6. Amplitude detection results of dense interharmonics

6. 密集间谐波的幅值检测结果

理论幅值

ADMD检测

相对误差/%

VMD检测

相对误差/%

EMD检测

相对误差/%

0.416

3.04E−12

0.587

15.83

0.284

8.88E−10

0.537

16.22

0.126

4.22E−10

0.601

14.29

表5表6可知,本文在处理含密集间谐波的电力信号时,保持了较高的准确性。且本文方法与其他信号检测方法不同,能准确提取密集成份,无论是频率还是幅值,相对误差较低。

4.4. 时变间谐波分析

设置时变间谐波信号如下

u 4 ( t )={ sin( 50πt ) 0t0.1 sin( 50πt )+0.25sin( 100πt )+0.5sin( 150πt ) 0.1<t0.2 sin( 50πt )+0.4sin( 210πt ) 0.2<t0.35 sin( 50πt )+0.6sin( 300πt ) 0.35<t0.5 (33)

同时在时变信号中加入50 Hz的白噪声。

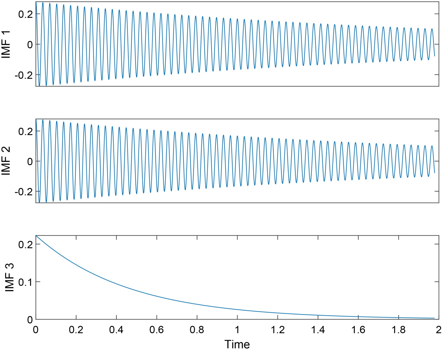
对信号进行处理提取时变点,图中(a)为原始信号,首先对信号进行Hilbert变换,绘制信号的瞬时幅值曲线,结果如图(b)所示。然后对图(b)结果进行差分计算,提取时变时刻值,图(c)为一阶差分结果,图(d)为四阶差分结果,可见一阶差分效果较差,无法直接提取时变时刻值,四阶差分结果较好,可提取时变时刻值,提取结果分别为0.999 s、0.199 s、0.351 s,可见结果较为准确。

定位后根据定位点对信号进行切割,分成四个信号,分别进行ADMD分解,得到的分解结果和识别结果如图11图12表7所示。

Figure 11. The time-varying time positioning process of time-varying signals

11. 时变信号的时变时刻定位过程

Table 7. Frequency and amplitude detection results of time-varying harmonic signals

7. 时变间谐波信号的频率、幅值检测结果

谐波次数

理论频率

频率相对误差/%

理论幅值

幅值相对误差/%

0~0.1 s

157.08

1.73E−02

1

6.89E−13

0.1~0.2 s

157.08

1.98E−02

1

2.76E−13

314.16

1.42E−02

0.2

1.92E−12

471.24

3.62E−02

0.4

3.12E−12

0.2~0.35 s

157.08

2.41E−02

1

6.22E−13

628.32

3.65E−02

0.7

4.74E−13

0.35~0.5 s

157.08

5.68E−02

1

7.19E−13

942.48

3.23E−02

0.5

8.41E−13

Figure 12. ADMD decomposition results of time-varying signals

12. 时变信号的ADMD分解结果

5. 电力系统间谐波检测分析

5.1. 实验平台的谐波分析

为验证本文提出的基于自适应动态模态分解的间谐波检测方法在实际应用时的有效性,搭建如如图13的用于间谐波检测的实验平台。

Figure 13. Inter harmonic parameter detection experimental platform

13. 间谐波参数检测实验平台

Table 8. Experimental platform frequency measurement results

8. 实验平台频率实测结果

成分

频率/V

频率相对误差/%

VMD

ADMD

1st

52.3

0.212

1.05E−03

3rd

156.9

0.411

6.47E−02

5th

261.5

0.185

7.75E−02

9th

470.7

0.513

8.60E−02

间谐波1

220.9

0.915

9.15E−02

间谐波2

309.6

0.656

6.56 E−02

间谐波3

396.7

0.291

7.66E−02

实验过程中,首先利用信号发生器IT6322A产生间谐波信号,其由频率为52.3 Hz的基波、3、5、9次谐波以及频率为220.9、309.6、396.7 Hz的3个间谐波组成。然后选用Tektronix TDS1072C示波器实现监测信号波形,接着设置信号调理电路对信号进行调理,后面利用STM32F103控制16位8通道同步采样芯片AD7606-BSTZ采集信号,实际采样频率设置为6 kHz,并将采样数据传输给上位机进行处理,从而实现非稳态电力间谐波的检测。VMD方法与自适应动态模态分解的间谐波检测方法的实际测量结果如表8表9所示。

Table 9. Experimental platform amplitude measurement results

9. 实验平台幅值实测结果

成分

幅值/V

幅值相对误差/%

VMD

ADMD

1st

220

0.088

4.92E−09

3rd

156

0.069

4.12E−09

5th

76

0.198

1.86E−06

9th

29

0.063

8.53E−09

间谐波1

59

0.071

2.85E−07

间谐波2

68

0.045

6.97E−08

间谐波3

97

0.021

3.36E−09

表8表9可知,在谐波和间谐波存在的情况下,VMD的参数检测结果误差较大。而本文提出的方法在对基波、谐波、间谐波进行参数估计时误差小,对幅值的测量相对误差 ≤ 1.86E−06%,频率测量相对误差 ≤ 9.15E−02%,实测结果表明本文方法可有效实现间谐波的准确检测。

5.2. 实际信号的谐波分析

本部分在对实际谐波信号进行分析时,选择参考文献[23]中提供的电弧炉信号进行分析,电弧炉在实际运行中会产生畸变电流和多次谐波,对电力系统稳定性造成严重冲击。我们截取1 s的电弧炉信号进行分析,信号如图14所示。

Figure 14. Electric arc furnace signal

14. 电弧炉信号

下面分别利用EMD,VMD,ADMD 3种方法对电弧炉信号进行分解。结果如图15~17所示。

Figure 15. EMD decomposition results of electric arc furnace signals

15. 电弧炉信号的EMD分解结果

Figure 16. VMD decomposition results of electric arc furnace signals

16. 电弧炉信号的VMD分解结果

Figure 17. ADMD decomposition results of electric arc furnace signals

17. 电弧炉信号的ADMD分解结果

由分解结果可知,EEMD的分解结果较差,其结果中出现了模态混叠现象,不能进一步提取出信号参数。而VMD和DMD的分解结果中将电弧炉信号完全分解,可对分量的参数进行提取。利用前文提到的谱线插值傅里叶变换计算VMD,DMD提取的各谐波分量的特征信息,其中VMD选择分解结果的最后3个分量进行识别。检测结果如表10所示。

Table 10. Electric arc furnace signal detection results

10. 电弧炉信号检测结果

方法

频率

频率相对误差/%

幅值

幅值相对误差/%

VMD

47.995

4.011

105.287

5.281

120.987

3.213

72.928

4.188

23.997

4.015

70.262

17.112

ADMD

49.995

9.68e−03

99.991

9.46e−03

124.987

1.04e−02

70.088

0.135

24.998

1.17e−03

60.093

0.178

表10可知,电弧炉信号中含有25、50和125 Hz的间谐波分量,且在检测误差方面,不论是频率和幅值,ADMD检测的相对误差均低于VMD,体现了ADMD,在检测实际信号时的优越性。

6. 结论

本文提出了一种参数自适应的动态模态分解算法,并将其应用于间谐波参数检测之中,经过理论分析与仿真验证得出以下结论:

(1) ADMD算法能够自适应地确定Hankel矩阵的m值,并从间谐波信号中准确提取出各个间谐波分量,有效避免了传统方法存在的模态分量混叠问题。

(2) 本文方法不仅具有较高的幅值和频率检测精度,在处理含有密集间谐波的信号时有较好的分解和检测性能。

(3) 本文算法有着较好的噪声鲁棒性,在噪声干扰下仍能对幅值、频率保持较高的分解精度,且在噪声下的检测精度高于EMD、VMD等传统方法。

(4) 本文提出的暂态信号定位算法能够有效的对暂态信号进行预处理,并且处理后的信号能够被ADMD算法准确分解和识别,弥补了传统DMD算法暂态信号分解难的问题。

同时,由本文实验结果可知,ADMD对频率的检测精度略低于幅值检测精度,因此本算法的时间分辨率仍有提升空间,同时,ADMD对时变信号的分解精准度也需要改善,这些都是今后值得深入研究的课题。

NOTES

*通讯作者。

参考文献

[1] Yu, J., Li, J., Liang, C., Gong, C., Zhu, B. and Tang, Q. (2025) A Harmonic Analysis Method for Power Systems Based on Double Frequency-Shift Filtering. Measurement, 249, Article ID: 117030. [Google Scholar] [CrossRef
[2] 刘远达, 梁成斌, 杨明, 等. 基于Nuttall窗压缩感知的谐波和间谐波检测方法[J]. 电子测量技术, 2025, 26(29): 1-10.
[3] 周航, 郭成. 基于ISGMD与TLS-ESPRIT的谐波/间谐波检测方法[J]. 电源学报, 2025, 43(36): 1-13.
[4] 吴建章, 梅飞, 陈畅, 等. 基于经验小波变换的电力系统谐波检测方法[J]. 电力系统保护与控制, 2020, 48(6): 136-143.
[5] 商立群, 许海洋, 臧鹏, 等. 基于DFT和群组谐波能量回收理论的谐波与间谐波检测算法[J]. 电力系统保护与控制, 2022, 50(15): 91-98.
[6] 王天行, 舒勤. 基于apFFT和带约束条件的最小二乘拟合的间谐波检测算法[J]. 四川电力技术, 2023, 46(2): 76-83.
[7] 刘士绮, 王雅静, 梅宇, 等. 基于ELMD-SVD和Prony的谐波间谐波检测方法[J]. 电气传动, 2022, 52(13): 48-55.
[8] 肖勇, 李博, 尹家悦, 等. 基于小波变换和小波包变换的间谐波检测[J]. 智慧电力, 2022, 50(1): 101-107+114.
[9] 孙名扬, 王艳, 顾叮咚, 等. 基于改进频谱叠加算法的多间谐波检测方法[J]. 电网与清洁能源, 2022, 38(3): 1-7+15.
[10] 施瑶, 王雅静, 崔京楷, 等. 基于VMD-WPT和Prony算法的谐波间谐波检测[J]. 电气传动, 2021, 51(22): 3-7+21.
[11] 王铀程, 陈蓉, 杨勇. 基于改进TLS-ESPRIT与自卷积窗的谐波与间谐波检测算法[J]. 电力系统保护与控制, 2023, 51(17): 159-168.
[12] 郑晓娇, 王斌, 李卜娟, 等. 基于参数优化变分模态分解的间谐波检测[J]. 电力系统保护与控制, 2022, 50(11): 71-80.
[13] Germano, G., Phelan, E.C., Marazzina, D., et al. (2025) Solution of Wiener-Hopf and Fredholm Integral Equations by Fast Hilbert and Fourier Transforms. IMA Journal of Applied Mathematics, 90, 370-401. [Google Scholar] [CrossRef
[14] Schmid, P. and Sesterhenn, J. (2008) Dynamic Mode Decomposition of Numerical and Experimental Data. American Physical Society.
[15] Alassaf, A. and Fan, L. (2019) Dynamic Mode Decomposition in Various Power System Applications. 2019 North American Power Symposium (NAPS), Wichita, 13-15 October 2019, 1-6. [Google Scholar] [CrossRef
[16] Kutz, J.N., Brunton, S.L., Brunton, B.W., et al. (2016) Dynamic Mode Decomposition (Data-Driven Modeling of Complex Systems). Society for Industrial and Applied Mathematics.
[17] Dylewsky, D., Barajas-Solano, D., Ma, T., et al. (2020) Dynamic Mode Decomposition for Forecasting and Analysis of Power Grid Load Data.
[18] 李俊卿, 胡晓东, 耿继亚, 等. 基于DMD和改进胶囊网络的变工况轴承故障诊断方法[J]. 电机与控制学报, 2023, 27(11): 48-57.
[19] 边文婷. 基于动态模态分解的间谐波闪变参数检测与闪变值计算方法研究[D]: [硕士学位论文]. 长沙: 湖南大学, 2020.
[20] 张民谣, 高云鹏, 吴聪, 等. 基于自适应变分模式分解的非稳态电压闪变包络参数检测[J]. 电工技术学报, 2021, 36(3): 599-608.
[21] 古庭赟, 高云鹏, 吴聪, 等. 基于改进能量算子和六项余弦窗频谱校正的电压闪变包络参数检测[J]. 电力系统保护与控制, 2019, 47(23): 44-51.
[22] 祁超, 米小兵, 陈力, 等. 基于能量算子与Kaiser窗的电压闪变参数检测[J]. 电气自动化, 2024, 46(2): 51-53+58.
[23] Qi, C., Mi, X.B., Chen, L., et al. (2024) Voltage Flicker Parameter Detection Based on Energy Operator and Kaiser Window. Electrical Automation, 46, 51-53+58.