基于相场法的混凝土梁断裂性能数值分析
Numerical Analysis of Fracture Performance in Concrete Beams Based on the Phase Field Method
摘要: 混凝土结构作为目前最主要的结构形式之一,其因荷载、环境等因素导致的断裂行为是不可忽视的。鉴于目前对多跨度混凝土梁研究较少,本文将基于相场法对多跨度的混凝土三点弯曲梁断裂性能进行模拟,旨在分析其断裂裂纹扩展及力学响应。首先,对相场法的相场长度尺寸参数l0以及网格划分尺度参数h的敏感性问题,验证了该模型的合理性;然后,对比相场模拟与试验得到的P-CMOD (裂缝张开位移)和裂纹扩展;最后,分析了跨高比与最大荷载Pmax之间的关系。结果表明相场法可以很好地再现混凝土梁的断裂裂纹扩展过程及其力学响应,进而为研究混凝土断裂提供一种新的模拟方法。
Abstract: As one of the most prominent structural forms, the fracture behavior of concrete structures due to loads, environmental factors, and other influences cannot be ignored. Given the limited research on multi-span concrete beams, this paper aims to simulate the fracture performance of multi-span concrete three-point bending beams based on the phase field method, analyzing their crack propagation and mechanical response. First, the sensitivity of the phase field length scale parameter l0 and the mesh size parameter h is examined to validate the model’s reliability. Then, a comparison is made between the phase field simulation results and experimental data on the P-CMOD (crack mouth opening displacement) and crack propagation. Finally, the relationship between the span-to-depth ratio and the maximum load Pmax is analyzed. The results indicate that the phase field method can effectively reproduce the crack propagation process and mechanical response of concrete beams, providing a new simulation method for studying concrete fracture.
文章引用:赵启迪, 李义磊. 基于相场法的混凝土梁断裂性能数值分析[J]. 建模与仿真, 2024, 13(5): 5459-5466. https://doi.org/10.12677/mos.2024.135494

1. 引言

混凝土作为目前最主要的建筑材料之一,广泛应用于土木工程、水利工程和矿业工程等领域。但由于混凝土材料抗拉强度低且易开裂,导致混凝土结构早期失效的工程事故频繁发生。因此,研究混凝土的开裂机理、裂缝扩展以及混凝土在裂缝情况下工作性质的研究就显得尤为重要[1]

目前对于混凝土断裂行为的研究,国内外学者一般会基于试验,理论分析和数值模拟。然而由于混凝土的多相性,其内部结构比较复杂,进而影响混凝土的力学性能。如何有效地研究混凝土的断裂力学性质,是一个永恒的课题[2]。徐道远等[3]采用三点弯曲梁试验对混凝土的断裂能进行了评估,并对不同规格试件的断裂特性进行分析。吴智敏等[4]通过光弹贴片技术与有限元模拟方法对混凝土中的Ⅰ型裂纹进行了分析,结果表明模拟数据与试验结果吻合良好。杨怡等[5]用扩展有限元法对混凝土梁的断裂性能进行了数值研究,并采用真实断裂能GF作为混凝土的参数,对不同缝高比和不同梁宽的混凝土三点弯曲梁的断裂性能进行数值分析。童谷生等[6]认为由于混凝土材料内部结构的复杂性,会导致其主裂缝尖端呈现出微裂区(简称断裂过程区FPZ)。为了探明混凝土损伤、断裂破坏机理,对三点弯曲梁进行试验分析,并借助于数字图像相关(DIC)法对混凝土断裂过程区萌生、扩展和贯穿过程进行监控和测量。然而对于混凝土梁断裂的分析,大部分学者都以跨高比S/D = 4的标准混凝土三点弯曲梁为研究对象。最近,不同跨高比的TPB混凝土梁被用于研究尺寸效应模型[7] [8],并利用数字图像相关(DIC)技术研究FPZ的性质。鉴于此,更有针对性地分析跨度对混凝土断裂参数的影响是必不可少的。

相场法,作为近年来的一种新颖的方法,其在处理材料断裂上有着独特优势。1998年,Francfort和Marigo [9]对Griffith理想脆性断裂进行了变分描述,为脆性断裂相场理论奠定了力学基础。2000年,Bourdin等[10]的研究为这种变分描述提供了数值上可行的正则化方法。作为正则化理论,相场方法无需预设裂纹扩展路径,可以自然地描述和预测裂纹的萌生、扩展,甚至是分叉与交汇[11]。随后Wu等[12]基于热力学定律,提出了统一脆性断裂与准脆性断裂的统一相场法,自此实现材料断裂的统一。

因此,本文对现有的多跨度混凝土三点弯曲(TPB)梁进行相场法模拟,以此来分析凝土梁断裂过程中裂纹的萌生、扩展和贯穿过程。首先,分析了相场法对于相场长度尺寸参数l0以及网格划分尺度参数h的敏感性问题,验证了该模型的合理性;然后,对比相场模拟与试验得到的P-CMOD (裂缝张开位移)和裂纹扩展,表明了相场法可以很好地模拟TPB混凝土梁力学响应以及裂纹扩展;最后,分析了跨高比与最大荷载Pmax之间的关系,结果表明:(1) 跨高比S/D = 4与最大荷载Pmax进行分析,发现随着构件跨高比S/D的增大,逐渐减小,最大荷载值从10.131 kN降低至3.037 kN;(2) 同时随着跨高比S/D的不断增大,CMOD的临界值CMODc (最大荷载荷载对应处)不断增大(TPB-6除外),CMOD的最大值CMODmax反而不断减小。(3) 将试验所得到的最大荷载平均值与相场模拟所得到的最大荷载的相对误差进行对比,发现除了TPB-2和TPB-5以外,其余组别相对误差均小于10%,验证了本次模拟的合理性。

2. 数值模型

2.1. TPB梁几何尺寸

Figure 1. Geometry of TPB beams

1. TPB梁几何尺寸

TPB梁的几何尺寸及加载形式如图1所示,梁底部左端采用铰支座,右端采用滑动支座。试件长为L,跨度为S,深度长为B,截面高为D。在梁跨中的下部预制缺口,预制缺口长a0 = 60 mm,宽w = 3 mm,跨中上部承受外荷载P (本文模拟采用位移加载方式,即施加1 mm的位移荷载)。试验采取了六种不同尺寸跨高比S/D的混凝土梁,即S/D = 2,2.5,3,4,5,6,每种类型的混凝土梁都做了四组对比试验。编号为TPB-S/D-n (n = 1, 2, 3, 4),例如TPB-3-1表示编号为1,跨高比S/D = 3的TPB混凝土梁试件。

2.2. 材料参数

本文所模拟构件参数均采用文献[13]中的参数,其中断裂能GF与弹性模量E取四组对比试验的平均值,泊松比v取混凝土经验值v = 0.2 (见表1)。

Table 1. Material parameters

1. 材料参数

试件

参数

TPB-2

TPB-2.5

TPB-3

TPB-4

TPB-5

TPB-6

L × D × B (mm3)

375 × 150 × 100

475 × 150 × 100

550 × 150 × 100

750 × 150 × 100

950 × 150 × 100

1100 × 150 × 100

S (mm)

300

375

450

600

750

900

a0 (mm)

60

GF (N/m)

163.637

166.403

152.725

164.790

165.640

172.509

E (Gpa)

40.380

36.314

39.902

35.310

29.573

31.511

鉴于试验中仅测得混凝土抗压强度fcu = 49.89 Mpa,而未给出抗拉强度的值,因此根据公式(1)来确定混凝土抗拉强度ft [14]

f t =0.395 f cu 0.55 (1)

得到抗拉强度ft = 3.39 Mpa。

2.3. 相场法数值模拟实现

本文去相场长度尺寸参数l0 = 3 m,为了验证该相场长度尺寸参数的合理性,以及分析相场模型对尺寸效应的敏感性问题,以TPB-3为例,对相场长度尺寸参数l0以及网格划分尺度参数h进行讨论。

2.3.1. 模型建立

模型网格划分如图2所示。对于可能发生裂纹扩展的区域,设置网格尺寸h = 0.6 mm (5 h),其他区域可不用设置太小,以增加运算效率。单元类型设置为温度–位移耦合的平面应力单元(CPS4T),将构件划分为16,027个离散单元。

Figure 2. Mesh division

2. 网格划分

2.3.2. 尺寸效应的敏感性分析

为了分析相场长度尺寸参数l0的敏感性问题,设置相场长度尺寸参数l0:3 mm、5 mm、9 mm,其他条件不变(如图3(a));为了分析网格划分尺度参数h的敏感性问题,固定相场长度尺寸参数l0 =3 mm不变,设置网格尺寸参数h:1/8l0、1/5l0、1/3l0 (如图3(b))。结果表明:网格尺寸参数h和相场长度尺寸参数l0对TPB混凝土梁断裂的力学响应基本没有影响。

Figure 3. Size effect analysis

3. 尺寸效应分析

3. 模拟结果分析

3.1. P-CMOD

图4为部分试件不同跨高比S/D试件的相场模拟结果与试验结果P-CMOD曲线对比图。模拟曲线与试验曲线的形状及变化规律基本吻合,材料在受力过程中表现出三个主要的损伤阶段:首先,线性增长阶段。在加载初期,混凝土试样的变形非常微小,裂缝的扩展几乎可以忽略,试样主要表现为弹性状态;其次,非线性增长阶段,当荷载达到一定水平后,试样中的预制裂缝开始扩展;最后,非线性下降阶段,荷载超过最大荷载后,裂纹迅速扩展,最终导致材料断裂,承载能力完全丧失。

Figure 4. P-CMOD curves

4. P-CMOD曲线

当混凝土材料处于弹性变形阶段时,材料不会发生损伤,构件的P-CMOD曲线呈现线性上升趋势;在材料进入损伤发展阶段后,荷载不断增加,弹性模量逐渐降低,导致梁构件的开口位移显著增加,曲线表现为非线性上升;而当混凝土材料达到峰值荷载后,构件截面的有效荷载减少,荷载–开口位移曲线出现下降段。

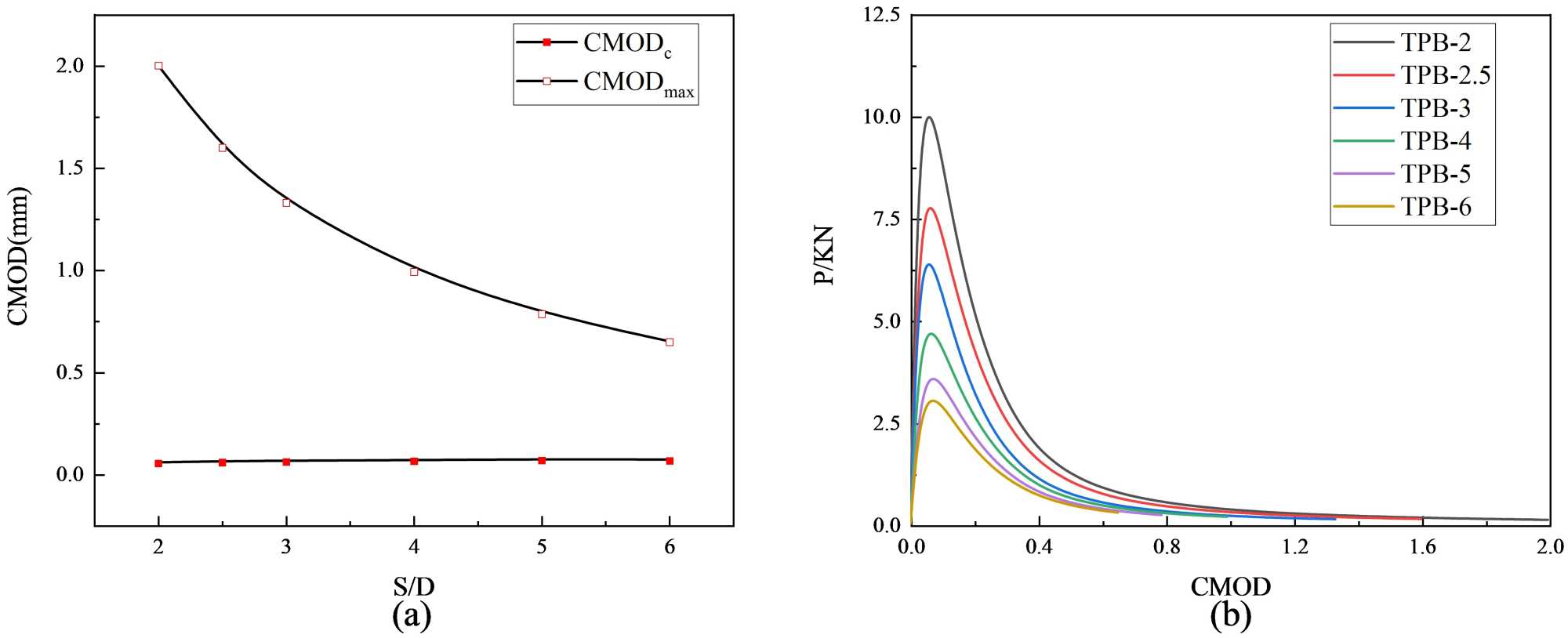
同时根据表2图5,不难发现随着跨高比S/D的增大,CMOD的临界值CMODc (最大荷载荷载对应处)除了TPB-6以外的试件,都不断增大;CMOD的最大值CMODmax反而不断减小。同时,P-CMOD的斜率以及P-CMOD所围成的面积不断减小。

Table 2. CMODc and CMODmax values for different specimens

2. 不同试件CMODc、CMODmax

TPB-2

TPB-2.5

TPB-3

TPB-4

TPB-5

TPB-6

CMODc (mm)

0.0559

0.0604

0.0632

0.0663

0.0705

0.0689

CMODmax (mm)

2.0018

1.5995

1.3314

0.9929

0.7870

0.6498

Figure 5. CMODc and CMODmax values for different specimens

5. 不同试件CMODc、CMODmax

3.2. 裂纹扩展

图6为试验与相场模拟裂纹扩展对比图(以TPB-3为例),可以看出相场模拟可以很好地再现TPB混凝土梁的裂纹扩展。裂纹从预制缺口处开始发生扩展,并逐渐向加载点进行扩展,一直扩展到梁的上表面。然后,由于混凝土是一种由水、骨料、胶凝材料等成分组成的多相复合材料。在试验中,其断裂行为具有随机性,而本文是基于混凝土在均质材料条件下进行模拟分析的,因此在扩展路径上与试验有所差距,不会像试验得到的那样存在太多的曲折偏转。对于本文其他试件,所得结果与TPB-3类似,因此将不再赘述。

Figure 6. Crack propagation.

6. 裂纹扩展

3.3. 不同跨高比S/D对最大荷载的影响

图7对比了不同跨高比S/D试件对应的最大荷载Pmax图7(a)分析了相场模拟与四组对比试验结果,图7(b)探究了跨高比S/D与最大荷载Pmax的关系。结果表明,相场法模拟得到的最大荷载,与试验结果基本吻合,验证了相场法分析TPB混凝土,在不同跨高比S/D断裂时力学响应的合理性;同时随着跨高比S/D的增大,最大荷载Pmax逐渐减小,最大荷载值从10.131 kN降低至3.037 kN。通过数据拟合得到S/DPmax的关系式

y=21.863 x 1.15 (2)

Figure 7. The Pmax of specimens with different S/D ratios

7. 不同S/D试件的Pmax

表3对比了试验所得到的最大荷载平均值与相场模拟所得到的最大荷载的相对误差( ×100% ),可以发现除了TPB-2和TPB-5以外,其余组别相对误差均小于10%。

Table 3. Pmax comparison

3. Pmax对比

TPB-2

TPB-2.5

TPB-3

TPB-4

TPB-5

TPB-6

试件1 (KN)

11.087

8.635

7.300

4.850

2.701

2.654

试件2 (KN)

11.856

8.017

6.799

4.520

2.931

2.567

试件3 (KN)

12.098

7.967

6.718

4.879

3.426

2.954

试件4 (KN)

10.191

8.102

6.166

4.352

3.799

2.777

平均值 (KN)

11.308

8.180

6.746

4.650

3.214

2.738

相场模拟(KN)

10.131

7.820

6.390

4.690

3.576

3.037

平均值与相场模拟误差

10.4%

4.6%

5.6%

-0.8%

10.1%

-9.8%

4. 结论

鉴于目前对TPB混凝土梁断裂的分析,大部分都以跨高比S/D = 4的标准混凝土三点弯曲梁为研究对象。本文基于相场法并对现有多跨度试验文献进行相场法模拟分析,得出以下结论:

(1) 对相场法的两大尺寸效应:相场长度尺寸参数l0以及网格划分尺度参数h的敏感性问题进行分析,分析结果表明:相场法所得到的荷载位移曲线,基本不受相场长度尺寸参数l0以及网格划分尺度参数h的影响。

(2) 对比相场模拟与试验得到的P-CMOD (裂缝张开位移)和裂纹扩展,表明了相场法可以很好地模拟TPB混凝土梁力学响应以及裂纹扩展。同时TPB混凝土梁的P-CMOD曲线均可分为线性上升、非线上升与非线性下降三个阶段。在线性增长阶段,混凝土试样的变形非常微小,裂缝的扩展几乎可以忽略,试样主要表现为弹性状态;在非线性增长阶段,荷载达到一定水平,试样中的预制裂缝开始扩展;在非线性下降阶段,荷载超过最大荷载后,裂纹迅速扩展,最终导致混凝土梁断裂,承载能力完全丧失。

(3) 将试验所得到的最大荷载平均值与相场模拟所得到的最大荷载的相对误差进行对比,发现除了TPB-2和TPB-5以外,其余组别相对误差均小于10%,验证了本次模拟的合理性。

(4) TPB混凝土梁的最大荷载Pmax,随着构件跨高比S/D的增大,逐渐减小,最大荷载值从10.131 kN降低至3.037 kN。同时随着跨高比S/D的不断增大,CMOD的临界值CMODc (最大荷载荷载对应处)不断增大(TPB-6除外),CMOD的最大值CMODmax反而不断减小。

参考文献

[1] 吴渝玲, 马建斌. 基于扩展有限元的混凝土梁断裂破坏仿真研究[J]. 混凝土与水泥制品, 2019(1): 73-78.
[2] 邱强安. 混凝土CCNBD型圆盘试件混合型断裂参数数值模拟研究[J]. 公路工程, 2017, 42(4): 290-293.
[3] 徐道远, 符晓陵, 祖全民. 混凝土三点弯曲梁断裂能的测试研究[J]. 河海大学学报, 1989(2): 50-56.
[4] 吴智敏, 徐世烺, 刘佳毅. 光弹贴片法研究混凝土裂缝扩展过程及双K断裂参数的尺寸效应[J]. 水利学报, 2001(4): 34-39.
[5] 杨怡, 雷志鹏, 王玉爽, 等. 基于扩展有限元法的混凝土梁断裂性能数值分析[J]. 混凝土, 2018(4): 39-45.
[6] 童谷生, 鲁艳超, 涂远鑫. 含直裂缝混凝土梁断裂过程区试验研究与分析[J]. 混凝土, 2018(9): 45-49.
[7] Carloni, C., Cusatis, G., Salviato, M., Le, J., Hoover, C.G. and Bažant, Z.P. (2019) Critical Comparison of the Boundary Effect Model with Cohesive Crack Model and Size Effect Law. Engineering Fracture Mechanics, 215, 193-210.
https://doi.org/10.1016/j.engfracmech.2019.04.036
[8] Khalilpour, S., BaniAsad, E. and Dehestani, M. (2019) A Review on Concrete Fracture Energy and Effective Parameters. Cement and Concrete Research, 120, 294-321.
https://doi.org/10.1016/j.cemconres.2019.03.013
[9] Francfort, G.A. and Marigo, J.J. (1998) Revisiting Brittle Fracture as an Energy Minimization Problem. Journal of the Mechanics and Physics of Solids, 46, 1319-1342.
https://doi.org/10.1016/s0022-5096(98)00034-9
[10] Bourdin, B., Francfort, G.A. and Marigo, J. (2000) Numerical Experiments in Revisited Brittle Fracture. Journal of the Mechanics and Physics of Solids, 48, 797-826.
https://doi.org/10.1016/s0022-5096(99)00028-9
[11] Li, X. and Xu, Y. (2022) Phase Field Modeling Scheme with Mesostructure for Crack Propagation in Concrete Composite. International Journal of Solids and Structures, 234, Article ID: 111259.
https://doi.org/10.1016/j.ijsolstr.2021.111259
[12] Wu, J. (2017) A Unified Phase-Field Theory for the Mechanics of Damage and Quasi-Brittle Failure. Journal of the Mechanics and Physics of Solids, 103, 72-99.
https://doi.org/10.1016/j.jmps.2017.03.015
[13] Yin, Y., Qiao, Y. and Hu, S. (2020) Determining Concrete Fracture Parameters Using Three-Point Bending Beams with Various Specimen Spans. Theoretical and Applied Fracture Mechanics, 107, Article ID: 102465.
https://doi.org/10.1016/j.tafmec.2019.102465
[14] Guan, J., Hu, X. and Li, Q. (2016) In-Depth Analysis of Notched 3-P-B Concrete Fracture. Engineering Fracture Mechanics, 165, 57-71.
https://doi.org/10.1016/j.engfracmech.2016.08.020