南京夏季大气污染物日变化特征分析(与WRF模拟值对比)——以2018-07.20~28为例
Analysis of Diurnal Variation Characteristics of Air Pollutants in Nanjing in Summer (Comparison with WRF Analog)—Taking 2018-07-10~20 as an Example
DOI: 10.12677/orf.2024.145486, PDF, HTML, XML,   
作者: 戚云彤, 黄兴友*, 苑广辉:南京信息工程大学大气物理学院,江苏 南京
关键词: 数值天气预报污染物WRF模型Numerical Weather Prediction Contaminant WRF Model
摘要: 对流层臭氧(O3)主要由氮氧化物(NO)和挥发性有机物(VOCs)经过一系列光化学反应生成,经2018年7月20~28日的南京市大气污染状况的评估,我们发现,采用WRF模型,可以准确地反映出南京夏季的污染物的时空变化趋势,并且可以预计其中的某些成因会影响到南京市的环境质量。研究显示,1) 在过去的6年中,南京市的3种主要的大气污染物(CO、NO2、SO2)的年平均质量浓度依次是800、43.1、13.0 (μg·m3)。南京的臭氧水平比中国其他地区(北京、上海、广州、成都、兰州、武汉)都要高。2) 在2018年,南京市的NO2、SO2和CO的超标情况有所改善,其中,NO2、SO2的平均下降幅度分别是29.1%、38.1%、28.1%。2018年南京夏季的空气质量整体上较为良好,尽管冬季仍有三种污染物的存在,但夏季的空气质量却没有出现明显的变化,而这种情况得益于当地的经济发展和多样化的工业结构。
Abstract: Tropospheric ozone (O3) is mainly generated by nitrogen oxides (NO) and volatile organic compounds (VOCs) through a series of photochemical reactions. After assessing the air pollution status in Nanjing on July 20~28, 2018, we found that the spatiotemporal variation trend of pollutants in Nanjing in summer can be accurately reflected by using WRF model. And it can be expected that some of these causes will affect the environmental quality of Nanjing. The results showed that, 1) In the past six years, the average annual mass concentration of three major atmospheric pollutants (CO, NO2, SO2) in Nanjing was 800, 43.1, 13.0 μg·m3, respectively. The ozone level in Nanjing is higher than that in other parts of China (Beijing, Shanghai, Guangzhou, Chengdu, Lanzhou, Wuhan). 2) In 2018, the exceedability of NO2, SO2 and CO in Nanjing was improved, among which the average decrease rate of NO2 and SO2 was 29.1%, 38.1% and 28.1%, respectively. In 2018, the air quality in Nanjing in summer was generally good, although there were still three kinds of pollutants in winter, there was no significant change in the air quality in summer, which benefited from the local economic development and diversified industrial structure.
文章引用:戚云彤, 黄兴友, 苑广辉. 南京夏季大气污染物日变化特征分析(与WRF模拟值对比)——以2018-07.20~28为例[J]. 运筹与模糊学, 2024, 14(5): 453-467. https://doi.org/10.12677/orf.2024.145486

1. 基本概况

南京市是长三角区域的一个主要的经济发展中枢,2013年开始,南京市就开始实行一系列的污染防治政策,包括控制能源消费和汽油消费,限制汽油的使用,并对汽油进行尾气处理[1]。这些举措使得南京市的PM2.5和PM10的含量都得到了显著的减少,南京市的空气质量也得到了整体的改善。南京市的污染情况令人担忧[2]。自2014年至2016年,PM2.5已经逐渐取代O3,尤其在夏季,O3的排放量更是激增,达到了46%。此外,46%的O3的持续排放也远远超出了SO2,这已经成为影响南京市空气质量的一个严峻挑战。

近年来,随着城镇化的迅猛发展以及工业化的不断推陈出新,机动车辆及其他有机物的排放量急剧上升,使得中国的空气状况变得越来越糟糕。许多城市的空气中的悬浮物含量过多,从而使得空中的雾霾更加明显,同时也会造成二次污染,这些二次污染物会同时危害一方的空气[3] [4],而另一方则会通过光化学反应,使得臭氧污染更加恶化,给人们的身心带来极其不利的后果,从而给生态环境及气象状况带来极其不利的影响[5] [6]。中国的大气环境正在经历巨大的挑战,深入探索和分析空气质量的变化趋势,对于有效控制和改善大气污染至关重要[7]

近年来,由于人类活动对城市环境的影响不断增加,加之地区间的恶劣天气,导致当地的空气质量日益恶化[8]。早在年初,各地的空气质量监测站都公布了当地的大气污染物的小时平均浓度数据,并且出现了一系列有助于改善当地污染状况的研究成果,其中以京津冀、长三角、珠三角以及成渝地区[9]的情况最为突出。徐冉等人通过对北京秋冬两季的大气污染物浓度及其与气团的交互作用的深入探索[10],得出结论:冬季的重度污染比秋季更加严重。舒卓智等[11]人在云贵高原地区的调查中,发现近地面O3的含量正在持续增加。陈优良等[12]人则在长三角地区的调查中揭示,经济繁荣地区的臭氧含量更高。徐鹏等[13]人对重庆北碚区的大气污染进行深入探索,结果显示,季节变化会对污染物的含量及其与天气因子的联系产生显著的影响。王爱平等[14]人在2020年的疫情中[15] [16],对南京的空气质量进行了详细的调查,并对其进行了有效的改善。研究表明,通过进行适当的碳排放控制,可以有效改善当前的大气状况。而且,通过研究当前地域的空气污染物的持续变化趋势[17] [18],可以更好地了解和控制未来的污染来源,从而更加科学合理地管控和控制。

近年来,针对南京地区夏季污染物的研究较少,同时具有个例性研究的文章更是屈指可数,这些文章大多选取的时间是雷暴日、台风天的天气现象进行研究[19] [20],然而选取大气污染物SO2、NO2、CO等,并且精确到小时、分钟的污染物含量监测[21] [22],并进行与模拟值对比的这项工作是有所欠缺的。现阶段可以得到的模拟结果选取的范围都太过宽泛,例如李[23]等选取的VOCs的含量是整个重庆地区,与本文选取的南京浦口的某一个站点形成了鲜明的对比;郭[24]等只对南京地区的空气质量特征进行了笼统的分析,没有指出主要污染物及其变化特征,没有预测变化趋势,具有局限性。

因此,本文选取具有代表性的夏季时间(7.10~20),研究期间有正常的降雨等现象,在时间上,本文选取的年份是2018年,此年度是南京污染物在近五年中(2018~2023)含量最低的一年,因此对南京夏季大气污染物的变化趋势预测以及污染物的治理具有重要研究意义。

2. 材料与方法

2.1. 数据选取

为了解南京南京市O3发生与前体物和HO收支间的联系,本课题研究选择了南京南京市2018年7月20日至28日的观测数据,利用WRF模式对其作为模拟南京地区的VOCs小时观测数据,探讨VOCs的日夜变化,对南京南京市发生的敏感性做出判断。本调查VOCs采集地址设在南京北郊区域的南京信息工程大学,采样点3~6 km区域内有炼钢厂和石油化工厂等区域。VOCs的观察利用大气VOCs吸收浓缩在线监测网络(AC-GCMS1000)完成检测,结果显示,一共含有108种物质,时间分辨率为1 h。采集过程中O3,NO和CO的观察均利用国家赛默飞世尔科技有限公司研制的大气污染环境监测分析仪,一般天气资料(环境温度、压力和相应湿度条件)来自南京信息工程大学校园内CAWSD600自动台站。

模拟污染物分析选取:NO2,CO,SO2

2.2. WRF-Chem

WRF-Chem全称Weather Research and Forecasting model coupled to Chemistry。它是由美国大气研究中心(NCAR)、美国太平洋西北国家实验室(PNNL)以及美国国家海洋及大气管理局(NOAA)共同开发的区域大气动力–化学耦合模式。

WRF-Chem模式拥有完整的WRF模式功能,此外化学部分包括大气传输(平流输送、对流和垂直扩散)过程,气相/液相化学过程,气溶胶过程,干/湿沉降过程以及光化学过程等,结合实际的排放源,模式可以对大气污染物的生消,物种间化学反应,气流输送等问题进行研究,还可以对未来空气质量进行预报。

WRF-Chem模式是基于气象过程和化学过程同时发生相互耦合的大气化学模式理念而设计的,化学过程和气象过程使用相同的网格分辨率,相同的水平和垂直坐标系,相同的物理参数化方案,两部分完全耦合。气象过程的计算结果为化学过程提供了实时的气象场,反过来化学过程的计算结果也能立刻反馈回气象过程,对气象因子的计算产生影响。

MEGAN和排放源数据获取成功,但模拟结果不好(得到的数据非常小),因此采用服务器中dqks的已有排放源数据。

本次模拟过程的模拟区域的中心经纬度为119.0˚E,31.5˚N。设置水平分辨率为27 km,网格数设置为100*100,嵌套层数设置为一层。

3. 观测与模拟结果

3.1. 观测结果

本研究选取的几个参数分别为:NO2,SO2,CO;选择采样时间为2018年7月的20~28日。在南京地区的采样过程中,SO2、CO、NO2的体积分数的平均值表明,当空气中的氧气浓度超标时,这些物质的体积分数都会比正常情况下高,这表明氧气浓度的增加与前体物质的体积分数有着密切的联系。不同的前体物质的体积分数水平和组成可能会影响氧气浓度的变化,从而影响氧气浓度的升高,并且影响光化学反应的进程。通过对5种污染物的模拟和实际观测,我们可以清楚地看出它们之间的差异。

研究表明,不管是O3超标日还是非O3超标日,空气污染物的日夜变化都会对人们的健康产生重要影响。这种日夜循环的变化可以揭示出污染物排放、化学过程和气象条件之间的相互作用,从而为我们提供有价值的信息。此外,研究发现,O3与其前体物质的日变化趋势与O3的日变化趋势相反,这一发现为我们更好地了解空气质量提供了重要的线索。在早晚高峰期间,O3前体物的体积分数会显著提升,这主要是由于交通排放量的增加所引起的;而当太阳落山时,O3前体物的体积分数会降至最低,这主要是由于下午边界层的高度上升以及光化学反应的加剧所致。下午时刻,O3的体积分数达到最高点,这主要是太阳辐射、温度、光化学反应以及加强的强度所导致的。

对模拟值的检验方面,我们选取了以下方法(python)进行计算:

计算平均偏差(Mean Deviation,但通常不是均值之差,而是每个观测值与均值之差的绝对值之和的平均)

mean_deviation = np.mean(np.abs(df['观测值'] - df['观测值'].mean()) - np.abs(df['模拟值'] - df['模拟值'].mean()))

# 计算相关系数

correlation_coefficient = df['观测值'].corr(df['模拟值'])

# 计算均方误差(Mean Squared Error, MSE 或 MB)

mse = np.mean((df['观测值'] - df['模拟值'])**2)

# 计算IOA(Index of Agreement,这里假设IOA = 1 - Σ(预测值-观测值)^2 / Σ(预测值-均值)^2 + Σ(观测值-均值)^2)

ioa = 1 - np.sum((df['模拟值'] - df['观测值'])**2) / (np.sum((df['模拟值'] - df['模拟值'].mean())**2) + np.sum((df['观测值'] - df['观测值'].mean())**2))

# 计算GE(Gain Efficiency,这里假设GE = Σ(观测值 * 模拟值) / Σ(观测值^2))

ge = np.sum(df['观测值'] * df['模拟值']) / np.sum(df['观测值']**2)

# 计算根均方误差(Root Mean Squared Error, RMSE)

rmse = np.sqrt(mse)

R= n( xy )( x )( y ) [ n x 2 ( x ) 2 ][ n y 2 ( y ) 2 ] MB= n IOA=1 | | | | + | | GE=exp( 1 n ln( / ) )1 RMSE= 1 n ( ) 2

3.1.1. NO2的分布及“观测–模拟”对比

图1为NO2污染分布图,我们可以看出南京所处地区NO2污染较少,我们知道光照强度和风速等大气条件对于NO2浓度的影响是复杂的,不仅受到光化学反应、扩散和输送等过程的影响,还与环境中其他污染物的存在有关。光化学反应是NO2浓度升高的主要原因之一。在阳光下,NO2会发生光解反应,产生O3和NO。这些反应通常发生在大气中层或高层,因此当太阳辐射强度增加时,可以促进这些光化学反应,从而导致NO2浓度升高。此外,NO2浓度还受到大气稳定度的影响。在稳定的大气条件下,空气往往难以向上扩散,导致污染物积累在低层大气中,从而使NO2浓度升高。然而,在非稳定的大气条件下,空气容易向上运动,从而将污染物扩散到更高的空间,并且可能会带来新的污染源,从而使NO2浓度降低。光照强度和风速等因素对于NO2浓度的影响是相互作用的,并且还受到环境中其他污染物的影响。因此,在实际应用中,需要综合考虑多个因素对NO2浓度的影响,并进行全面分析和评估。

Figure 1. Distribution of NO2 (observed value) from 0:00 to 3:00 on July 20, 2018

1. 2018.7.20 0:00~3:00 NO2分布图(观测值)

图2是多日NO2模拟值与观测值的对比。

图3分析可得,在城市和工业区域,二氧化氮浓度通常呈现出明显的日变化规律,即白天高、晚上低。这是由于白天交通流量大、工业生产活动频繁,加之光照强度高,导致NO2排放量增加;而晚上交通流量减少、工业生产活动降低,此外还有地面温度降低和较弱的风速等因素作用,使得NO2的浓度逐渐下降。

Figure 2. Comparison of simulated and actual NO2 values from July 10~20, 2018

2. 2018.7.10~20 NO2模拟值与实际值对比图

氮氧化物排放来自内燃机。但这些发动机中发生的是化石燃料中的碳氢化合物与空气(80%是氮气)的高温反应。NOx排放也有自然来源,例如野火、雷击,但大气中绝大多数NO2是由人类活动造成的。在道路车辆是NOx主要来源的地区,高峰交通时段的NO2浓度通常较高,例如下面的NO2,AQI所示的工作日下午5点左右。如图4模拟结果与实际观测值相比具有一致性;结合O3变化图可知,白天臭氧(O3)浓度增加,而NO2浓度减少。这是因为NO2在阳光下会转化为NOx。下午6点后,由于没有阳光将NO2转化回NO,NO2浓度逐渐升高。

图4是观测值与模拟值的第一次对比,我们发现在WRF参数的设置上出现了一些问题,导入NCL脚本绘图时没有计入后续数据,所以产生了较大误差,在更改之后我们进行了重新绘图,并对数据进行了筛选,获得了上述结果,拟合性较好。

Figure 3. Direct view of the actual and simulated NO2 values from July 10~15, 2018

3. 2018.7.10~15 NO2实际值、模拟值直观图

Figure 4. Comparison between simulated NO2 values and actual NO2 values on July 10~20, 2018

4. 2018.7.10~20 NO2模拟值与实际值对比图

3.1.2. CO的分布及“观测–模拟”对比

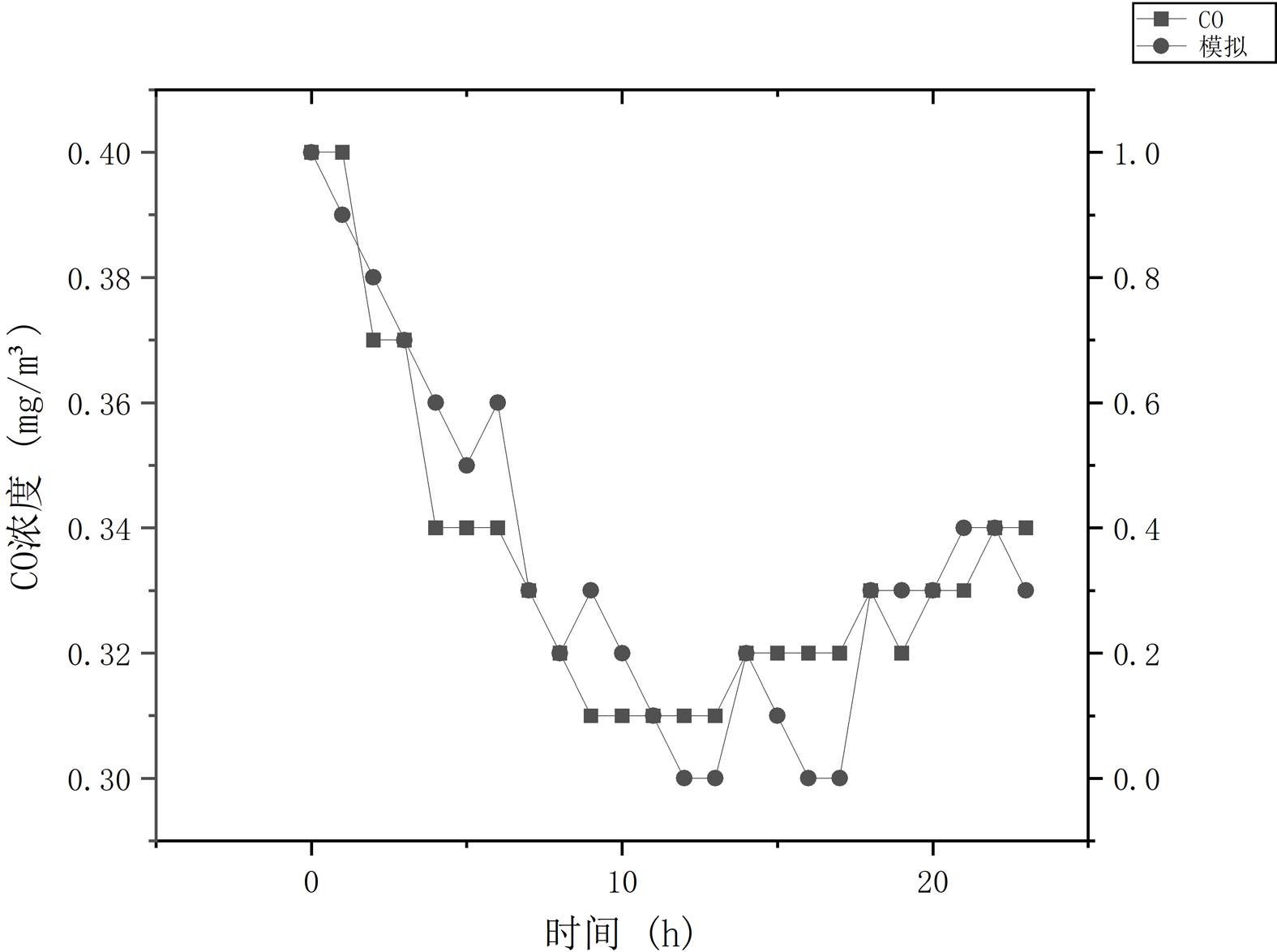
图5可以看出,CO的浓度在2018.7.20~28日期间处于较低水平,表明它并非主要污染物,而是几个重点污染区域集中在工业发达地区。研究表明,86%的CO排放量来自汽车,而且随着车速的增加,一氧化碳排放量也会相应减少。为了更好地说明这一点,我们将多日的CO模拟数据与实际数据进行了对比,如图6所示。

图7图8以及图9可知,根据O3日的数据,CO的浓度先是有所减少,然后又开始慢慢回落,最后又开始回落,直至12~13日,CO的浓度基本保持稳定,但随后又开始有所增加,这表明,当O3日的污染物超标时,CO的含量会随之减少,但当O3日污染物超标时,CO的含量又会开始增加,这表明,CO日污染物和CO的含量存在正相关的关系。当O3浓度达到一定水平时,它的产量会大幅提升,尽管它的消耗能力也很强,但是它的净产量是没有达到规定浓度时的1.6倍,这会导致O3的浓度升高。另外,中午时段的高温和强烈的辐射会促进O3的产生。

Figure 5. CO distribution from July 10~20, 2018 (observed value)

5. 2018.7.10~20 CO分布图(观测值)

Figure 6. Comparison of simulated and actual CO values from July 10~20, 2018

6. 2018.7.10~20 CO模拟值与实际值对比图

Figure 7. Comparison between simulated and actual CO values on July 10~15, 2018

7. 2018.7.10~15 CO模拟值与实际值对比图

Figure 8. Direct view of actual and simulated CO values from July 10~15, 2018

8. 2018.7.10~15 CO实际值、模拟值直观图

Figure 9. Comparison between simulated and actual CO values on July 10~20, 2018

9. 2018.7.10~20 CO模拟值与实际值对比图

3.1.3. SO2的分布及“观测–模拟”对比

SO2污染一般有下列3个原因:(1) 含硫能源(如煤和原油)的焚毁;含硫制氢天然气井操作中硫制氢的焚烧污染;(2) 含硫矿物(尤其是含硫较多的有色金属矿石)的冶炼;(3) 化学工业、炼油和硫酸厂等的生产。

二氧化硫污染是一种严重的环境问题,SO2主要有三个不同的来源:(1) 硫化工行业的废气。(2) 采用各种工业技术和装备,对大部分原材料进行加工和制造,从而产生巨量的二氧化硫。(3) 焚烧木材时产生的二氧化硫,这些废物大部分来自于化学废物和其他物质。此外,由于大部分二氧化硫来自于化学物质,例如原油和煤气,因此,对环境影响也是不可忽略的。煤矿的储存量仅为煤矿的20%~25%,而且,这84%的煤矿是通过火力发电站和炼焦石油化工等企业进行燃煤的,这些企业的二氧化硫排放超过了整个自然环境的85%,给我们带来了极为恶劣的空气质量。

图10是SO2的环境污染分布图,我们从中可以看出重点污染地区呈带状分布,中心集中在国内中部偏东,中国就是煤炭资源为重要资源的大国,煤炭资源出口量居全球首位,而高硫煤的储备占煤炭资源总储量的20%~25%。环境污染分布与重点工业区的分布基本重合,焚烧煤气造成的二氧化硫污染来源大致有三个方面:一是生活污染,包含进食或取暖时锅炉燃油向大气环境排出的危害废气;二是工业生产环境污染,包含火力开发、钢材和彩色金属冶炼;三是交通污染,包含机动车、通航器、列车、船只等运输排出的废气。

南京地区SO2模拟值与观测值的相关性对比图如图11所示,我们可以看出在前半段拟合性较差,在后半段趋势有一定相似度,造成这样的原因可能是在WRF后处理时有一些数据的筛选出现问题导致误差较大,同时选取的时间段SO2并不是主要污染物,所以结论并不具有代表性。

3.2. 污染物空间分布特征

南京市的大气污染物的空间分布,特别是CO、NO2、SO2的比例几乎相当。在玄武、秦淮、建邺、鼓楼以及雨花台这些市辖区,PM2.5的浓度比平常更加显著,而且随着季节的更替,这些比例的差异也会越来越小。这主要归功于该市的人口稠密以及交通拥挤,使得机动车及家庭活动的尾气中含有更多的微小颗粒物;另外,由于市内植被覆盖率偏低,容易形成扬尘,特别是冬季的宁静天气,这也有助于PM2.5的传播,从而导致PM2.5的积聚。经过分析发现,在城市地带,由于人口稠密、交通便利、绿化率更高,使得污染源的污染水平明显更加严重。

Figure 10. SO2 distribution map (observed value) July 10~20, 2018

10. 2018.7.10~20 SO2分布图(观测值)

Figure 11. Comparison between simulated and actual SO2 values on July 10~20, 2018

11. 2018.7.10~20 SO2模拟值与实际值对比图

经过季节性的研究,我们发现,冬季会出现更严重的PM2.5污染,且这种情况会持续很长一段时期。1月份则是PM2.5的浓度值达到最高值的月份。通过研究可以得出,PM2.5的潜在来源主要位于南京的西南、东、北三个方向,安徽省的WPSCF值超过0.7,江苏省的北部、山东省的WPSCF值介乎0.6~0.7之间。此外,数据还显示,PM2.5的排放量会随着季节的改变而有所增加。近年来,江苏省(特别是苏南地区)的经济迅猛增长,使得江苏省不断提高排放标准,并且采取了更严格的环保措施,从而使得江苏省的PM2.5浓度达到了国家规定的最高水平,而安徽省的PM2.5浓度也达到了90 μg·m−3,显著高于江苏省的平均水平。此外,冬季的植物凋零也使得安徽省的PM2.5浓度显著增高,进一步恶化了江苏省的PM2.5浓度,给南京市带来了更多的PM2.5危害。气团活动可能导致空气中的悬浮微生物,江苏省的北部以及山东省的某些地方可能是重灾区。

4. 结论与误差分析

由实验可知,几种污染物的日变化特征与WRF-Chem模拟结果基本一致,因此我们可以得出结论:

1) 研究期间,CO、NO2、SO2、平均质量浓度分别为800、43.1、13.0 μg·m−3

2) 从2015年到2020年,南京地区的细颗粒物潜在源区域较为聚集,其中安徽省是最重要的,而江苏省、山东省的WPSCF水平均高达0.7以上,其他地区的WPSCF水平也处于较高水平,这些因素共同导致了南京地区1月份的大气污染物的输送,严重损害了当地的环境质量。

3) 在城市和工业区域,二氧化氮浓度通常呈现出白天高、晚上低的日变化规律。这是由于白天交通流量大、工业生产活动频繁,加之光照强度高,导致NO2排放量增加;而晚上交通流量减少、工业生产活动降低,此外还有地面温度降低和较弱的风速等因素作用,使得NO2的浓度逐渐下降。

造成误差的主要原因有:网格(dx, dy)过大导致结果不准确。所选取的观测站点并不是距离模拟区域中心最近的站点。物理参数化方案选择不当,O3、NO2、CO、SO2等污染物易受到光化学反应的影响得到的结果不稳定以及边界条件和初始条件不准确。

NOTES

*通讯作者。

参考文献

[1] 贾龙, 葛茂发, 徐永福, 等. 大气臭氧化学研究进展[J]. 化学进展, 2006, 18(11): 1565-1574.
[2] 刘建, 吴兑, 范绍佳, 等. 前体物与气象因子对珠江三角洲臭氧污染的影响[J]. 中国环境科学, 2017, 37(3): 813-820.
[3] 吴志军, 王志立, 张强, 等. 气候协同的区域空气质量精细化调控战略研究[J]. 中国工程科学, 2022, 24(6): 164-172.
[4] 杨鹏, 朱彬, 高晋徽, 一次以南京为中心的夏季PM2.5污染岛污染事件的数值模拟[J], 中国环境科学, 2016, 36(2): 321-330.
[5] Akbarzadeh, M.A., Khaheshi, I., Sharifi, A., Yousefi, N., Naderian, M., Namazi, M.H., et al. (2018) The Association between Exposure to Air Pollutants Including PM10, PM2.5, Ozone, Carbon Monoxide, Sulfur Dioxide, and Nitrogen Dioxide Concentration and the Relative Risk of Developing STEMI: A Case-Crossover Design. Environmental Research, 161, 299-303. [Google Scholar] [CrossRef] [PubMed]
[6] 裴成磊, 谢雨彤, 陈希, 等. 广州市冬季一次典型臭氧污染过程分析[J]. 环境科学, 2022, 43(10): 4305-4315.
[7] An, J., Zhu, B., Wang, H., Li, Y., Lin, X. and Yang, H. (2014) Characteristics and Source Apportionment of VOCs Measured in an Industrial Area of Nanjing, Yangtze River Delta, China. Atmospheric Environment, 97, 206-214. [Google Scholar] [CrossRef
[8] Liu, X., Guo, H., Zeng, L., Lyu, X., Wang, Y., Zeren, Y., et al. (2021) Photochemical Ozone Pollution in Five Chinese Megacities in Summer 2018. Science of the Total Environment, 801, Article ID: 149603. [Google Scholar] [CrossRef] [PubMed]
[9] Lyu, X., Wang, N., Guo, H., Xue, L., Jiang, F., Zeren, Y., et al. (2019) Causes of a Continuous Summertime O3 Pollution Event in Jinan, a Central City in the North China Plain. Atmospheric Chemistry and Physics, 19, 3025-3042. [Google Scholar] [CrossRef
[10] 赵修齐, 治蓁, 彭欣, 吴子伯. 南京市主要大气污染物健康风险评价[J]. 环保科技, 2023, 29(1): 21-26.
[11] Zong, R., Yang, X., Wen, L., Xu, C., Zhu, Y., Chen, T., et al. (2018) Strong Ozone Production at a Rural Site in the North China Plain: Mixed Effects of Urban Plumes and Biogenic Emissions. Journal of Environmental Sciences, 71, 261-270. [Google Scholar] [CrossRef] [PubMed]
[12] 刘文文, 方莉, 郭秀锐, 等. 京津冀地区典型印刷企业VOCs排放特征及臭氧生成潜势分析[J]. 环境科学, 2019, 40(9): 3942-3948.
[13] Carter, W.P.L. (1994) Development of Ozone Reactivity Scales for Volatile Organic Compounds. Air & Waste, 44, 881-899. [Google Scholar] [CrossRef
[14] 曾沛. 武汉城区夏季大气臭氧污染特征及生成机制[D]: [博士学位论文]. 武汉: 武汉大学, 2019.
[15] Ling, Z.H., Guo, H., Zheng, J.Y., Louie, P.K.K., Cheng, H.R., Jiang, F., et al. (2013) Establishing a Conceptual Model for Photochemical Ozone Pollution in Subtropical Hong Kong. Atmospheric Environment, 76, 208-220. [Google Scholar] [CrossRef] [PubMed]
[16] Zhao, Y., Chen, L., Li, K., Han, L., Zhang, X., Wu, X., et al. (2020) Atmospheric Ozone Chemistry and Control Strategies in Hangzhou, China: Application of a 0-D Box Model. Atmospheric Research, 246, Article ID: 105109. [Google Scholar] [CrossRef
[17] 蔡沅辰, 丁峰, 朱志锋, 等. 南京市空气质量预报效果评估及误差分析[J]. 环境监控与预警, 2023, 15(2): 28-32, 39.
[18] 刁一伟, 王红磊, 沈利娟, 等. 2015-2021年南京市大气污染特征及污染个例研究[J]. 环境科学研究, 2023, 36(2): 260-272.
[19] 李陵, 李振亮, 方维凯, 等. 重庆市主要工业源VOCs组分排放清单及其臭氧生成潜势[J]. 环境科学, 2022, 43(4): 1756-1765.
[20] Lu, X.C., Chen, N., Wang, Y.H., et al. (2017) Radical Budget and Ozone Chemistry during Autumn in the Atmosphere of an Urban Site in Central China. Journal of Geophysical Research: Atmospheres, 122, 3672-3685.
[21] Lu, X., Chen, N., Wang, Y., Cao, W., Zhu, B., Yao, T., et al. (2017) Radical Budget and Ozone Chemistry during Autumn in the Atmosphere of an Urban Site in Central China. Journal of Geophysical Research: Atmospheres, 122, 3672-3685. [Google Scholar] [CrossRef
[22] 郭庆皓, 陈魁. 南京环境空气质量特征及变化分析[J]. 南京信息工程大学学报(自然科学版), 2022, 14(3): 294-303.
[23] 李洁, 董晶晶, 孙思思. 南京市城区和郊区PM2.5中碳质组分特征差异及来源分析[J]. 环境监控与预警, 2024, 16(1): 18-23, 79.
[24] 何月, 绳梦雅, 雷莉萍, 等. 长三角地区大气NO2和CO2浓度的时空变化及驱动因子分析[J]. 中国环境科学, 2022, 42(8): 3544-3553.