基于微观机理的5083合金高温流变本构方程
Micro-Mechanism-Based Constitutive Model for High Temperature Deformation of 5083 Alloy
DOI: 10.12677/ms.2024.1410163, PDF, HTML, XML,    科研立项经费支持
作者: 许 磊, 李江宇, 方志杰, 付向辉, 汪育晶:广西科技大学机械与汽车工程学院,广西 柳州;黄文辉:广西广投柳州铝业股份有限公司,广西 柳州
关键词: 5083铝合金基于微观机理本构方程热变形动态再结晶5083 Aluminum Alloy Physically-Based Constitutive Model Hot Deformation Dynamic Recrystallization
摘要: 为明确热塑性流变过程中应变温度、速率以及应变量对5083合金高温流变应力行为影响规律,本文采用Gleeble热模拟实验的方式,系统研究合金在不同应变温度(280˚C, 340˚C, 400˚C, 460˚C, 520˚C)和应变速率(0.01 s1, 0.1 s1, 1 s1, 10 s1)下材料的应力应变演变规律,并基于应力–位错关系和动态再结晶动力学,以临界应变为区分点,建立了合金的高温流变本构方程。结果表明:合金流变抗力与应变速率成正比,而与应变温度成反比。微观组织分析显示,高温高应变速率条件下合金发生明显的动态再结晶行为,且高应变温度与高应变速率能够获得更为细小的再结晶晶粒。所构建的本构方程能够准确预测5083合金的高温流变应力。
Abstract: In order to investigate the impact of strain temperature, rate, and amount on the high-temperature flow stress behavior of 5083 alloy during thermoplastic rheology, Gleeble thermal simulation experiments were conducted at various strain temperatures (280˚C, 340˚C, 400˚C, 460˚C, 520˚C) and strain rates (0.01 s1, 0.1 s1, 1 s1, 10 s1) to systermatically reveal the relationships between the strain and stress. By analyzing the stress-dislocation relationship and dynamic recrystallization kinetics, a high-temperature rheological constitutive equation for the alloy was established using the critical strain as a reference point. The results indicate that the rheological resistance of the alloy increases with the strain rate and decreases with the strain temperature. Microstructural analysis reveals that the alloy exhibits significant dynamic recrystallization behavior at high temperatures and strain rates, while finer recrystallized grains are obtained at high temperatures and strain rates. The developed constitutive equation proves to be effective in accurately predicting the high-temperature flow stress of 5083 alloy.
文章引用:许磊, 李江宇, 方志杰, 付向辉, 汪育晶, 黄文辉. 基于微观机理的5083合金高温流变本构方程[J]. 材料科学, 2024, 14(10): 1497-1508. https://doi.org/10.12677/ms.2024.1410163

1. 引言

作为Al-Mg系合金代表的5083合金因其具有良好的耐蚀性能以及轻质易成形的优点,而被广泛应用于航海造船以及海运集装箱等领域[1] [2]。为提高材料的综合服役性能,研究人员通过合金成分微调、热加工工艺优化以及热处理制度改良等诸多方式进行了诸多探索,为高品质5083合金的制备提供了有效的指导[3]-[6]。热轧作为5083合金板材生产流程中的重要一环,明确合金流变过程中应力应变的演变规律,实现合金高温流变应力的精准预测,是设备选型的依据,也是通过有限元模拟实现合金加工过程中微观组织演变和损伤预测的基础[7]。为有效预测材料高温流变应力,研究人员提出了诸多类型的本构方程,其中可以大致地分为宏观唯像学型、微观机理型和人工神经网络型[8]-[11]。微观机理型模型考虑了合金流变过程中的位错运动、动态再结晶以及静态再结晶行为对合金应力影响,且能对微观组织变化作出预测,因而被广泛应用[12] [13]

为揭示材料高温流变过程中应力演变规律,研究人员基于上述相关模型,对不同合金开展了诸多研究工作。Huang等人基于微观机理演变,研究了Al-2.6 Mg-0.5 Mn合金在300~500℃温度、变形速率为0.01~10 s1范围内的变形流变应力特征,建立了能够实现合金高温流变应力精准预测的本构方程,预测值与实际实验值误差仅为3.08% [14];Zhu等人则基于Al-Li合金的微观组织演变引发合金流变抗力改变的基本特征,构建了合金高温流变本构方程,实现了合金在应变温度为360~500℃、应变速率0.001~10 s1区间的流变应力精确预测[15];Yan等人则建立了Al-Zn-Mg-Mn-Zr的阿伦纽斯本构方程以及人工神经网络模型,并对二者进行了比较[16]。相同的研究还被应用在Al-Mg-Si [17],AZ91D [18]以及Ti-10-2-3 [19]等合金。

5083铝合金Al-Mg内部微观组织受热加工工艺参数影响,明确合金高温塑性形变过程中动态再结晶与态回复带来的软化效应以及加工硬化之间对合金流变抗力的影响。对于指导合金热轧工艺中装备参数选型以及材料微观组织控制具有重要的意义,是确保合金高性能轧制成功的关键基础。本文以5083合金铸锭为研究对象,通过Gleeble热模拟单道次压缩试验研究该合金在不同热变形参数条件下的宏观力学特征,微观结构演变规律及机理,建立基于微观组织演变的流变应力本构方程,为5083合金工业化生产的相关轧制参数设置提供参考。

2. 实验材料与方法

实验采用的5083铸锭为中创空天新材料股份有限公司提供扁锭,其合金成分如表1所示。为抵抗单向压缩中材料抗拉强度带来的形状效应,实验中进行压缩的试样经线切割后采用外圆磨床精磨以保证形状精度,其最终尺寸为φ10 mm × 12 mm。热压缩试验在Gleeble-3810热模拟实验机上进行,单道次压缩至最终形变量为60%。为减轻摩擦,实验过程中在试样两头各放置涂有润滑油的石墨垫片。其具体热压缩实验工艺路线如图1(a)所示。实验过程采用应变速率与温度正交的方式,应变速率设定为0.01 s1、0.1 s−1、1 s−1、10 s−1这4个,而应变温度则设定为280℃、340℃、400℃、460℃、520℃这5种。试样首先以10℃/s加热至热压缩温度,保温3 min,而后按照设定应变速率进行压缩,压缩完毕后立即进行25℃水淬冷却至室温。微观组织观察试样取自压缩后样品芯部。试样电解抛光和阳极覆膜后进行金相观察。电解抛光工艺:抛光试剂为10%高氯酸 + 90%无水乙醇,电压20 V,抛光时间处于3~6 s。阳极覆膜工艺:阳极氧化试剂为6 ml氟硼酸 + 200 ml蒸馏水,电压18 V,电流小于0.1 A,覆膜时间为10~15 s。抛光与覆膜过程均采用直流稳压电源。金相采用Olympus DSX 500光学数码显微镜进行偏光观察。铸锭的典型代表性金相照片如图1(b)所示。

Table 1. Chemical composition of 5083 aluminum alloy used in the experiments (mass fraction %)

1. 实验用5083铝合金化学成分(质量分数%)

Mg

Mn

Cr

Fe

Si

Zn

Ti

Cu

Al

4.45

0.7

0.16

0.4

0.4

0.26

0.16

0.1

Bal.

Figure 1. The process route of hot compression test (a) and typical microstructure of the ingot used for experiments (b)

1. 热压缩试验工艺路线图(a)以及实验用样品典型金相组织(b)

3. 结果与讨论

3.1. 应力–应变曲线

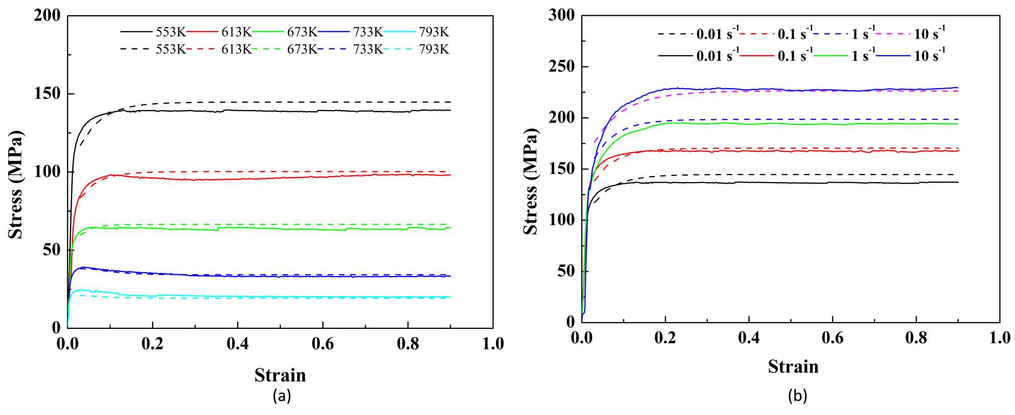
5083合金热压缩过程中的典型应力应变曲线如图2所示。从中可以看出,合金流变抗力受温度和应变速率以及应变量三重影响。随着应变温度的提升,合金流变抗力降低,而流变速率的增大则会提升合金的流变抗力,随着应变量的增加,合金流变抗力出现不同的变化趋势。在应变增加的初步阶段,流变抗力急剧增大至峰值,而后在不同的应变参数下表现不同,部分条件下抗力达到最大值后保持平稳(如280℃/0.1 s1条件),而部分则出现下降(如520℃/0.01 s1条件)。

Figure 2. The true stress-true strain curves of 5083 alloy under strain rate of 0.01 s1 (a) and temperature of 280˚C (b)

2. 5083合金在应变速率为0.01 s1 (a)以及应变温度为280℃ (b)时的应力应变曲线

金属流变应力曲线通常由加工硬化、软化以及平稳3个阶段组成。形变初期合金中位错密度急剧增大,加工硬化占主导地位,此时的动态回复与再结晶引起的软化效应较小,不足以抵消加工硬化带来的流变抗力增加,表现在流变应力曲线上就是应力急剧增大。当真应变继续增大,材料中位错攀移和滑移引起动态回复以及当应变达到动态再结晶临界应变εc时,合金发生动态再结晶,应力上升速率减缓。随着动态回复与动态再结晶的累积发生而出现应力下降。当加工硬化与随之发生的动态软化效应达到相对平衡时,流变应力也趋于平稳。

Figure 3. Typical microstructure of the 5083 alloy deformed at different strain rate and temperature (a) 280˚C/0.01 s1; (b) 280˚C/10 s1; (c) 520˚C/0.01 s1; (d) 520˚C/10 s1

3. 5083合金在应变速率为10 s1 (a)以及应变温度为280℃;(b)时的应力应变曲线;(c) 520˚C/0.01 s−1;(d) 520˚C/10 s−1

合金不同形变条件下典型的微观组织如图3所示,可以看出,热变形后铸态的等轴晶转化为了纤维状组织。同应变温度条件下,应变速率越大,组织中晶粒尺寸越细小,对比图3(a)图3(b)以及图3(c)图3(d)便可发现,应变速率的增大,使得合金单位时间储能更大,基体更易发生动态再结晶,从而降低合金晶粒尺寸。在同等应变速率条件下,形变温度的升高更加有利于合金发生动态再结晶而细化组织。对比图3(a)图3(c)的组织区别可以明显发现,应变温度增大,合金中发生了明显的动态再结晶。在较低温度下,位错在晶界聚集,储能增大,使得位错胞在逐渐长大成为再结晶晶核。但是由于温度较低,合金基体还存在一定的强度,晶核长大需要克服该强度阻力,导致晶核在晶界的长大难度增大,动态再结晶无法充分完成以发挥其细晶作用。

铝合金具有较高的层错能,需要高激活能才能引发材料动态再结晶,较低应变速率条件下,材料有通过位错运动来释放储存能时间较长,内部的变形储存能不足以引发动态再结晶,材料主要发生动态回复软化。当变形速率增大,变形时间缩短导致内部位错运动不充分,内部存储无法充分释放,有利于动态再结晶发生,而变形温度的提高降低了合金的强度,使得在高应变速率与高变形温度下更容易发生动态再结晶,表现在组织上便是晶粒尺寸出现减小细化。

3.2. 流变应力本构方程

微观机理型模型以动态再结晶临界应变εc为分界点,将流变应力曲线划分为临界应变前和临界应变后两个阶段分别进行建模。金属流变过程应力高低取决于其内部位错密度大小,而这取决于位错的生成速度(加工硬化)和消除速度(动态回复与动态再结晶)。根据相关研究[20]可知,加工硬化、动态回复以及真应变与位错密度之间的关系可表达如式(1)所示:

dρ dε =UΩρ (1)

式中左侧dρ/dε为位错密度增加速率;右侧U为加工硬化,当应变为定值时,通常认为U不变;Ωρ为动态回复造成位错消除与重组;其中Ω为动态回复系数。对式(1)积分可得:

ρ= U Ω ( U Ω ρ 0 ) e Ωε (2)

其中ρ0为材料初始位错密度。材料流变应力σ可表示为位错密度ρ的函数式:

σ=αμb ρ (3)

式中α为材料特性常数,通常取值0.5;μ为剪切模量;b为伯格斯矢量。将式(2)代入式(3)可得动态回复阶段的流变应力σ计算公式可表达为:

σ= [ σ sat 2 +( σ 0 2 σ sat 2 ) e Ωε ] 0.5 (4)

式中, σ sat 为饱和应力, σ sat =αμb U Ω ;其值可通过加工硬化率θ和流变应力σ曲线的拐点处进行切线与横坐标相交,从而求得,具体求解方法可见文献[7]σ0为屈服应力,其值可通过公式 σ 0 =αμb ρ 0 计算得到,也可以从应力–应变曲线上直接读出,本文采用直接读出的方式得到。

当材料应变量ε超过临界再结晶条件,也即临界应变εc时,材料开始发生动态再结晶,位错大量湮灭,在宏观上呈现出比动态回复更加强烈的软化现象。动态再结晶体积分数是用来衡量动态再结晶程度的重要指标,通常情况下,再结晶体积分数可由如下公式[21]-[23]计算得到:

X D =1exp( B ( t t x ) n ) (5)

其中,t为形变时间,tx为达到特定软化程度所需时间,其可以看成是关于形核速率与生长速率的相关函数,并可将其表示为应变相关的函数,式(5)可以转化为:

X D =1exp( k D ( ε ε c ε p ) n D ) (6)

kDnD均为与材料特性参数,通常情况下0 < kD < 1,0 < nD ≤ 2。

研究[21]-[23]表明再结晶体积分数XD可以由如下公式计算得到:

X D = σ rec σ σ sat σ ss (7)

式中,σrec表示发生再结晶之前的应力(该阶段仅发生加工硬化和动态回复),该值可通过式(4)计算获得,σsat为饱和应力,σss为稳态应力。

结合式(6)与(7),合金再结晶阶段的流变应力可以由如下计算公式得到:

σ= σ rec ( σ sat σ ss ){ 1exp [ k d ( ε ε c ε p ) ] n d } (8)

3.2.1. 临界应变前阶段

根据式(4),建立动态回复阶段的本构模型,需要求解饱和应力σsat、屈服应力σ0及动态回复系数Ω。根据图2的真应力–应变曲线,可以直接读取屈服应力σ0;根据应变硬化速率曲线拐点处做切线的方法(具体步骤见参考文献[7]),可以计算出发生动态再结晶时曲线的饱和应力σsat,对于在整个形变过程中只发生动态回复的流变曲线,应变硬化速率曲线不存在拐点,考虑到图1中流变曲线达到峰值应力后基本趋于平稳,因此对于回复类曲线,本文将峰值应力近似为曲线的饱和应力σsat

Zener-Hollomon参数Z可以用来表征因概念速率与温度对流变盈利的综合影响,

Z= ε ˙ exp( Q/RT ) (9)

式中,为应变速率(s1),Q代表热变形激活能(J.mol1),R为气体常数(8.31 J.mol1·K1),T为绝对温度(K)。对实验进行线性拟合[24] [25],可以计算得到5083合金热变形激活能为174.7 KJ/mol。

Figure 4. (a) Yield stress σ0; (b) Relationship between saturation stress σsat and lnZ

4. (a) 屈服应力σ0;(b) 饱和应力σsatlnZ之间关系

图4所示,饱和应力σsat、屈服应力σ0均与lnZ参数均存在一定的关系,通过数值拟合可以得到:

{ σ o =51.285110.81895×lnZ+0.19599× (lnZ) 2 0.00131× (lnZ) 3 σ sat =-3.562619.22122×lnZ+0.59962× (lnZ) 2 0.00567× (lnZ) 3 (10)

对式(4)两边取对数,并进行变换,可以得到:

Ωε=ln( σ sat 2 σ 0 2 σ sat 2 σ 2 ) (11)

选取典型参数代入式(11)中即可求得动态回复系数Ω,对于驱动力不足以发生动态再结晶的变形条件,以0.9 σp及其对应的应变量代入式(10)中;对于可发生动态再结晶的变形条件,选取临界应力及临界应变代入式(10)中。建立不同变形条件下的Ω-lnZ关系,如图5所示,通过数值拟合,Ω与lnZ之间的关系可表示为:

Ω=1850.6045159.82944×lnZ+4.65011× ( lnZ ) 2 0.04509× ( lnZ ) 3 (12)

Figure 5. Relationship between lnZ and Ω

5. lnZΩ的关系

因此,实验范围内回复阶段的本构模型可表示为:

{ σ= [ σ sat 2 +( σ 0 2 σ sat 2 ) e Ωε ] 0.5 σ o =51.285110.81895×lnZ+0.19599× ( lnZ ) 2 0.00131× ( lnZ ) 3 σ sat =3.562619.22122×lnZ+0.59962× ( lnZ ) 2 0.00567× ( lnZ ) 3 Ω=1850.6045159.82944×lnZ+4.65011× ( lnZ ) 2 0.04509× ( lnZ ) 3 lnZ=ln ε ˙ + 174700/ RT (13)

3.2.2. 临界应变后阶段

根据式(8)建立动态再结晶阶段的本构模型,需要求解稳态应力σss、峰值应变εp,材料系数nDkD。稳态应力σss与峰值应变εp可以根据真应力–应变曲线直接读取。如图6所示,临界应变εc、稳态应力σss、峰值应变εp均与lnZ存在一定关系。通过数值拟合可知:

{ σ ss =301.8977438.11897×lnZ+1.44467× ( lnZ ) 2 0.01353× ( lnZ ) 3 1000 ε p =1118.27157116.43563×lnZ+3.86083× ( lnZ ) 2 0.03749× ( lnZ ) 3 (14)

(a) lnZ ε c ; (b) lnZ σ ss ; (c) lnZ1000 ε p

Figure 6. Relationship between lnZ and flow and strain

6. lnZ与临界应变、稳态应力、应变间的关系

结合式(6)、(7)可得:

X D = σ rec σ σ sat σ ss =1exp( k d ( ε ε c ε p ) n d ) (15)

对式(15)两边取对数,可得式(16)

ln[ ln( 1 X d ) ]= n d ln( ε ε c ε p )+ln k d (16)

从中可以得知,nDkD分别为ln [−ln (1Xd)]关于 ln( ε ε c ε p ) 函数的斜率与截距,如图7所示,将相关数据代入式(16)中,并进行线性拟合,可以计算得到nD = 1.246,kD = 0.331。

Figure 7. Relation between dynamic recrystallization volume fraction and strain

7. 合金动态再结晶体积分数与应变关系

则合金应变超越临界应变εc后动态再结晶阶段的本构模型可以表示为:

{ σ= σ rec -( σ - sat σ ss ){ 1-exp [ 0.331( ε- ε c ε p ) ] 1.246 } σ sat =0.0072× ( lnZ ) 3 + 0.7745× ( lnZ ) 2 15.505×lnZ + 64.529 σ ss =301.8977438.11897×lnZ+1.44467× ( lnZ ) 2 0.01353× ( lnZ ) 3 ε c = 0.233230.02674×lnZ+0.000967431× ( lnZ ) 2 0.0000098935× ( lnZ ) 3 1000 ε p =1118.27157-116.43563×lnZ+3.86083× (lnZ) 2 -0.03749× (lnZ) 3 lnZ=ln ε ˙ +174700/RT (17)

3.2.3. 本构模型验证

考虑到本构模型参数较多,计算过程进行了多次拟合,有必要对式(13)与(17)进行可靠性验证。图8为计算数据与试验数据的对比,由图可知,计算值与实验数据匹配良好,这说明式(13)与式(17)具有良好的预测精度。

(a) 0.01 s−1; (b) 553 K

Figure 8. Comparison between the experimental and predicted flow stress curves

8. 实验和预测的Al-Mg合金应变速率下的流动应力曲线比较

利用式(18)、(19)所描述的相关系数(R)和平均绝对相对误差(AARE)进一步评价了本构方程的精度。如图9所示,预测值与实测值呈良好的线性关系,R值为98.79%。计算得到的AARE值仅为4.31%,表明所建立的本构模型具有较高的预测精度。

Figure 9. Correlation between the experimental value and predicted value

9. 实验值与预测值之间的关系

R= N i=1 ( σ E i σ ¯ E )( σ C i σ ¯ C ) N i=1 ( σ E i σ ¯ E ) 2 N i=1 ( σ C i σ ¯ C ) 2 (18)

AARE( % )= 1 N i=1 N | σ E i σ C i σ C i | ×100% (19)

其中: σ E j 为实验测得的流变应力, σ C j 为通过本构模型计算得到的流变应力,σE σ E j 的平均值, σ ¯ C σ C j 的平均值,N为计算样本数。

4. 结论

本文通过Gleeble热模拟实验的方法,研究不同热变形参数对5083合金微观组织以及高温流变应力影响规律,基于微观机理演变,建立了合金高温流变本构方程,得到结论如下:

(1) 热变形温度以及应变速率度5083合金流变抗力影响显著,提高应变速率或降低应变温度均会显著提升合金流变抗力。高变速率/高应变温度下合金发现明显的动态再结晶行为,使得合金软化而流变抗力降低。增大应变速率与变形温度均可有效细化合金晶粒组织。

(2) 基于微观机理演变,建立了合金的高温流变抗力预测本构方程,分为临界应变前后,构建的本构方程分别为

{ σ= [ σ sat 2 +( σ 0 2 σ sat 2 ) e Ωε ] 0.5 ( ε< ε c ) σ o =51.285110.81895×lnZ+0.19599× ( lnZ ) 2 0.00131× ( lnZ ) 3 σ sat =3.562619.22122×lnZ+0.59962× ( lnZ ) 2 -0.00567× ( lnZ ) 3 Ω=1850.6045159.82944×lnZ+4.65011× ( lnZ ) 2 0.04509× ( lnZ ) 3 lnZ=ln ε ˙ +174700/RT (20)

{ σ= σ rec ( σ sat σ ss ){ 1exp [ 0.331( ε ε c ε p ) ] 1.246 } ( ε> ε c ) σ sat = 0.0072× ( lnZ ) 3 + 0.7745× ( lnZ ) 2  15.505×lnZ + 64.529 σ ss =301.8977438.11897×lnZ+1.44467× ( lnZ ) 2 0.01353× ( lnZ ) 3 ε c = 0.233230.02674×lnZ+0.000967431× ( lnZ ) 2 0.0000098935× ( lnZ ) 3 1000 ε p =1118.27157116.43563×lnZ+3.86083× ( lnZ ) 2 0.03749× ( lnZ ) 3 lnZ=ln ε ˙ +174700/RT (21)

(3) 模型计算值与实验值吻合良好,二者具有良好的线性关系,R值为98.79%,计算得到的AARE值为4.31%,表明所构建5083合金本构方程可准确预测材料高温流变抗力。

基金项目

广西科技重大专项(编号:桂科AA23023028)。

参考文献

[1] 罗芬, 吴锡坤. 铝型材加工适用技术手册[M]. 长沙: 中南大学出版社, 2006: 447-453.
[2] 张新明, 邓运来. 新型合金材料——铝合金[M]. 北京: 中国铁道出版社, 2018.
[3] Karimi, S., Fakhar, N., Faraji, M. and Fereshteh-Saniee, F. (2024) Simultaneous Improvement of Mechanical Strength and Corrosion Resistance in Aluminum Alloy 5083 via Severe Plastic Deformation. Materials Chemistry and Physics, 313, Article ID: 128755. [Google Scholar] [CrossRef
[4] Li, Y., Yang, B., Zhang, M., Wang, H., Gong, W., Lai, R., et al. (2023) The Corrosion Behavior and Mechanical Properties of 5083 Al-Mg Alloy Manufactured by Additive Friction Stir Deposition. Corrosion Science, 213, Article ID: 110972. [Google Scholar] [CrossRef
[5] Nkoua, C., Josse, C., Proietti, A., Basseguy, R. and Blanc, C. (2023) Corrosion Behaviour of the Microbially Modified Surface of 5083 Aluminium Alloy. Corrosion Science, 210, Article ID: 110812. [Google Scholar] [CrossRef
[6] 杨磊. Zn对5083高镁铝合金腐蚀性能的影响与Al-Mg-(Zn)合金中第二相的模拟研究[D]: [硕士学位论文]. 长沙: 中南大学, 2012.
[7] 肖政兵, 黄元春, 刘宇. 基于微观机理的电磁铸造35CrMo钢的高温流变本构方程[J]. 金属热处理, 2017, 42(1): 1-8.
[8] Etaati, A. and Dehghani, K. (2013) A Study on Hot Deformation Behavior of Ni-42.5Ti-7.5Cu Alloy. Materials Chemistry and Physics, 140, 208-215. [Google Scholar] [CrossRef
[9] Haghdadi, N., Zarei-Hanzaki, A. and Abedi, H.R. (2012) The Flow Behavior Modeling of Cast A356 Aluminum Alloy at Elevated Temperatures Considering the Effect of Strain. Materials Science and Engineering: A, 535, 252-257. [Google Scholar] [CrossRef
[10] Ji, G., Li, F., Li, Q., Li, H. and Li, Z. (2010) Prediction of the Hot Deformation Behavior for Aermet100 Steel Using an Artificial Neural Network. Computational Materials Science, 48, 626-632. [Google Scholar] [CrossRef
[11] Xiao, X., Liu, G.Q., Hu, B.F., Zheng, X., Wang, L.N., Chen, S.J., et al. (2012) A Comparative Study on Arrhenius-Type Constitutive Equations and Artificial Neural Network Model to Predict High-Temperature Deformation Behaviour in 12Cr3WV Steel. Computational Materials Science, 62, 227-234. [Google Scholar] [CrossRef
[12] Zerilli, F.J. and Armstrong, R.W. (1987) Dislocation-Mechanics-Based Constitutive Relations for Material Dynamics Calculations. Journal of Applied Physics, 61, 1816-1825. [Google Scholar] [CrossRef
[13] Rusinek, A. (2001) Shear Testing of a Sheet Steel at Wide Range of Strain Rates and a Constitutive Relation with Strain-Rate and Temperature Dependence of the Flow Stress. International Journal of Plasticity, 17, 87-115. [Google Scholar] [CrossRef
[14] Huang, C., Deng, J., Wang, S. and Liu, L. (2017) A Physical-Based Constitutive Model to Describe the Strain-Hardening and Dynamic Recovery Behaviors of 5754 Aluminum Alloy. Materials Science and Engineering: A, 699, 106-113. [Google Scholar] [CrossRef
[15] Zhu, R., Liu, Q., Li, J., Xiang, S., Chen, Y. and Zhang, X. (2015) Dynamic Restoration Mechanism and Physically Based Constitutive Model of 2050 Al-Li Alloy during Hot Compression. Journal of Alloys and Compounds, 650, 75-85. [Google Scholar] [CrossRef
[16] Yan, J., Pan, Q., Li, A. and Song, W. (2017) Flow Behavior of Al-6.2Zn-0.70Mg-0.30Mn-0.17Zr Alloy during Hot Compressive Deformation Based on Arrhenius and ANN Models. Transactions of Nonferrous Metals Society of China, 27, 638-647. [Google Scholar] [CrossRef
[17] Wu, R., Liu, Y., Geng, C., Lin, Q., Xiao, Y., Xu, J., et al. (2017) Study on Hot Deformation Behavior and Intrinsic Workability of 6063 Aluminum Alloys Using 3D Processing Map. Journal of Alloys and Compounds, 713, 212-221. [Google Scholar] [CrossRef
[18] Wang, Z., Huang, B., Qi, L., Wang, G. and Dargusch, M.S. (2017) Modeling of the Dynamic Recrystallization Behavior of Csf/AZ91D Magnesium Matrix Composites during Hot Compression Process. Journal of Alloys and Compounds, 708, 328-336. [Google Scholar] [CrossRef
[19] Zhang, H., Mao, X., Xu, S., Xiao, N., Zhang, N. and Cui, Z. (2023) A Physically Based Elasto-Viscoplastic Constitutive Model for Modeling the Hot Deformation and Microstructure Evolution of a Near α Ti Alloy. Materials Science and Engineering: A, 872, Article ID: 144994. [Google Scholar] [CrossRef
[20] Kong, L.X., Hodgson, P.D. and Wang, B. (1999) Development of Constitutive Models for Metal Forming with Cyclic Strain Softening. Journal of Materials Processing Technology, 89, 44-50. [Google Scholar] [CrossRef
[21] Humphreys, F.J. and Hatherly, M. (2004) Recrystallization Textures. In: Humphreys, F.J. and Hatherly, M., Eds., Recrystallization and Related Annealing Phenomena, Elsevier, 379-413. [Google Scholar] [CrossRef
[22] Jiang, H., Frey, M., Neuber, N., Gao, Y., Zhang, B., Ren, J., et al. (2024) In-Situ Scattering and Calorimetric Studies of Crystallization Pathway and Kinetics in a Cu-Zr-Al Bulk Metallic Glass. Journal of Alloys and Compounds, 1006, Article ID: 176243. [Google Scholar] [CrossRef
[23] Kugler, G. and Turk, R. (2004) Modeling the Dynamic Recrystallization under Multi-Stage Hot Deformation. Acta Materialia, 52, 4659-4668. [Google Scholar] [CrossRef
[24] Gan, C., Zheng, K., Qi, W. and Wang, M. (2014) Constitutive Equations for High Temperature Flow Stress Prediction of 6063 Al Alloy Considering Compensation of Strain. Transactions of Nonferrous Metals Society of China, 24, 3486-3491. [Google Scholar] [CrossRef
[25] Lin, Y.C. and Chen, X. (2011) A Critical Review of Experimental Results and Constitutive Descriptions for Metals and Alloys in Hot Working. Materials & Design, 32, 1733-1759. [Google Scholar] [CrossRef