氦氙工质在绕丝环形通道内热工水力特性数值研究
Numerical Study on Thermal-Hydraulic Characteristics of He-Xe Mixture in a Wire-Wrapped Annular Channel
DOI: 10.12677/nst.2026.141001, PDF, HTML, XML,    科研立项经费支持
作者: 李 杰, 周 源*, 袁 园:四川大学物理学院,四川 成都;黄彦平, 魏宗岚:中国核动力研究设计院,四川 成都
关键词: 氦氙混合气体环形通道绕丝结构CFD数值计算流动传热特性He-Xe Gas Mixture Annular Channel Wire Wraps CFD Numerical Calculation Flow and Heat Transfer Characteristic
摘要: 以氦氙(He-Xe)混合气体为冷却剂的布雷顿循环气冷堆被视为兆瓦级空间能源系统中最合理的技术之一,当前绕丝对He-Xe混合气体流动传热特性的影响研究较少,影响机理尚未可知。本研究对He-Xe混合气体在绕丝环形通道中的流动传热进行了数值模拟,分析了四种不同形状绕丝通道中,氦氙混合气体不同雷诺数下的流动换热特性,得到温度场分布,努塞尔数,以及摩擦阻力系数,以及综合换热性能评价指标(PEC),比较了四种不同绕丝结构与无绕丝结构的流动传热差异,分析了绕丝带来的综合换热性能差异。研究结果表明,在高雷诺数工况下(Re > 5675),梯形绕丝能提升环形通道内的传热,而圆形、方形、倒梯形绕丝使得传热变差;在热工水力性能评价指标下,梯形绕丝在高雷诺数工况下有较好的强化传热效果。研究结果可为He-Xe空间堆堆芯设计和优化提供参考。
Abstract: The Brayton-cycle gas-cooled reactor using helium-xenon (He-Xe) mixture as coolant is considered one of the most promising technologies for megawatt-class space power systems. However, few studies have investigated the influence of wire wraps on the flow and heat transfer characteristics of He-Xe mixtures, and the underlying mechanisms remain unclear. In this work, numerical simulations are performed to study the flow and heat transfer behavior of He-Xe mixture in an annular channel with wire wraps. Four different wrap cross-sectional shapes are examined over a range of Reynolds numbers. Key parameters including temperature distribution, Nusselt number, friction factor, and thermal-hydraulic performance ratio (PEC) are analyzed to evaluate the overall heat transfer enhancement. A comparative analysis between wrapped and bare channels is conducted to assess the comprehensive thermal performance difference introduced by the wire wraps. Results indicate that the trapezoidal wrap enhances heat transfer in the annular channel, whereas the circular, square, and inverted-trapezoidal wraps worsen heat transfer. Under the PEC criterion, the trapezoidal wrap exhibits superior performance at high Reynolds numbers. The findings provide valuable references for the core design and optimization of He-Xe cooled space reactors.
文章引用:李杰, 周源, 黄彦平, 魏宗岚, 袁园. 氦氙工质在绕丝环形通道内热工水力特性数值研究[J]. 核科学与技术, 2026, 14(1): 1-13. https://doi.org/10.12677/nst.2026.141001

1. 引言

在未来的深空探索过程中,航天系统需要稳定和大功率的能源系统;功率密度高、质量小、结构紧凑的空间核反应堆能源系统(SNRPS)是军事航天的理想能源系统,是未来深空探索不可替代的选择。在近几十年来,许多学者提出了各种空间堆技术[1]-[5],例如热管堆,液态金属堆和气冷堆。在上述技术中气冷堆结合闭式布雷顿循环系统是实现兆瓦级空间堆最可行的方案之一。其中以氦氙混合气体为冷却剂的气冷空间堆受到广大学者和研究机构的关注。

氦氙气体为二元混合气体,其物性会随着混合比例而改变,从而影响其流动传热。El-Genk和Tournier [6] [7]等人的研究表明,He-Xe混合气体在各种二元混合稀有气体中换热性能最佳,且在综合考虑换热以及动力系统的比质量情况下,摩尔质量为40g/mol的He-Xe混合气体最佳。目前对He-Xe的传热特性的研究大部分还是圆管,三角管,棒束子通道等简单结构的研究,有的研究表明经典的传热关系式对He-Xe传热的预测有较大误差。对He-Xe的传热研究中,对堆芯通道换热以及强化换热的研究还比较欠缺。近年来也有部分学者对He-Xe气体的堆芯换热进行了研究。Vitovsky [8]等人认为准三角通道与堆芯棒束稠密排列的通道相似,并通过实验比较了氦氙混合气体和空气在加热的薄壁准三角形管内流动时的换热过程,结果表明氦氙气体在上述通道流动过程中的换热系数增长比在空气的换热系数增长更强烈。Ning [9] [10]对氦–氙混合气体在三角形排列的棒束子通道内流动和传热特性进行了数值研究,研究结果表明,三角形排列的结构下,棒束壁面温度存在周向不均匀性。Wang [11]对不同结构参数的2 × 2矩形绕丝棒束通道中He-Xe混合气体的流动传热进行数值研究,结果表明绕丝反而使得传热变差,Wang认为其原因是He-Xe粘性温度正反馈引起的局部热点的问题。

绕丝结构在许多先进反应堆中广泛应用。绕丝在燃料组件的稠密棒束排列中能保持燃料棒之间的距离,并且从热工角度,绕丝结构可以带来强烈的横向流动,加剧子通道之间的热量交换,从而起到强化换热的效果。对于大多数绕丝棒束设计中,选择单圆形绕丝设计,也有学者基于提高支撑稳定性和提高方位角混合均匀性的目的提出了多绕丝的设计方案以及不同形状绕丝的设计方案(如绕肋,梯形绕丝)。Li等人[12]和Gu等人[13]的对超临界水的实验研究表明,带绕丝的燃料棒的传热性能优于光滑燃料棒的,特别是在高雷诺数时。Liu[14]对梯形丝和圆形丝棒束通道的热工水力特性进行了研究,研究发现梯形绕丝以增加摩擦系数为代价抑制了局部热点现象;此外他还比较了两种不同普朗特数(Pr = 1.07和Pr = 1.42)流体下圆形绕丝和梯形绕丝的努塞尔数随雷诺数的变化,从研究结果可以发现随着雷诺数的增加,梯形绕丝的对流换热Nu逐渐接近并超越圆形绕丝,并且在低普朗特数下,梯形绕丝在高雷诺数下的Nu大于圆形的。Lin [15] (2021)比较了单线、二线和四线绕丝缠绕棒束的设计。他发现4绕丝棒束通道的传热系数明显提高,横向流动分布更均匀。Li [16]对氦氙混合气体在圆形,方形和梯形绕丝棒束通道的热工水力特性进行了研究,研究结果表明,梯形绕丝的综合换热性能最佳。目前绕丝结构的研究主要是对液态金属或者超临界水,对He-Xe冷却剂的研究还比较欠缺,而现有的He-Xe堆芯结构设计中直接或者间接地强调了强化换热的重要性,探究稠密棒束排列的堆芯布置下绕丝结构对He-Xe气体的流动换热特性有助于后续空间堆堆芯的设计。

上述学者的研究表明,对He-Xe堆芯流动换热特性的研究还不够充分,对He-Xe堆芯强化换热的研究较少。如何在堆芯设计中强化He-Xe的换热是需要解决的一大问题。为了获得性能更好的堆芯绕丝棒束结构,本文将通过数值研究的方法开展环形通道中绕丝结构对He-Xe流动传热影响研究,并分析绕丝形状(圆形绕丝,方形绕丝,以及梯形绕丝)对流动传热的影响。

2. 数值模型

2.1. 物理模型

数值模拟的模型如图1所示,其中带绕丝的环形通道的外径为16 mm,内径为10 mm;绕丝长度为600 mm,螺距为300 mm;外套管壁厚为2 mm,材料为不锈钢;内管壁厚为1 mm,管壁材料为铜和不锈钢。建立的圆形绕丝环形通道的等效水力直径(dh)约为5.50 mm,不同形状绕丝通道的形状参数如表1。使用的工质为氦质量分数为7.3%的氦氙混合气体。氦氙混合气体在环形通道内流动。

Figure 1. Geometric models of the wire-wrapped annular channels

1. 绕丝环形通道几何模型

Table 1. Geometric parameters of wire wraps with different shapes

1. 不同形状绕丝的几何参数

参数(直径)

圆形

方形

梯形

倒梯形

圆形直径mm

2

方形边长mm

2

梯形上底边长mm

0.544

3.456

梯形的高mm

2

2

梯形腰与高的角

20

20

水力直径mm

5.496

5.529

5.668

5.351

2.2. 计算方法

流体流动过程中遵循一定的物理守恒定律,基本的物理守恒定律包括质量守恒定律、动量守恒定律以及能量守恒定律。控制方程是这些守恒定律的数学表达形式。本研究采用有限体积法对雷诺时均N-S方程进行求解。在具有粘性的流动计算中,常用的湍流模型有k–ε模型、k-ω模型与SST k-ω模型。在各种湍流模型中,现有的研究表明SST k-ω模型的计算结果与实验符合较好[17] [18],有较好的准确性,因此在本研究中采用SST k-ω模型进行数值模拟。其控制方程如下:

质量守恒方程,又称连续性方程:

( ρ u i ) x i =0 (1)

动量守恒方程:

( ρ u i u j ) x i = p x i + x j [ ( μ+ μ t ) u i x j ]+ρ g i (2)

能量守恒方程:

( ρ u j h ) x i = x j [ ( λ+ μ t P r t ) T x j + τ ij u i ] (3)

湍流动能方程:

( ρk u i ) x i = x j [ ( μ+ μ t σ k ) k x j ]+ G k Y k + S k + G b (4)

湍流耗散率方程:

( ρω u i ) x i = x j [ ( μ+ μ t σ k ) ω x j ]+ G ω Y ω + D ω + S ω + G ωb (5)

流体物性对数值模拟特别重要,本文以氦氙混合气体为工作流体,相较于常规混合气体,氦氙混合气体更为稠密,Chapman-Enskog混合气体物性计算方法不适用,因此采用Tournier [7]提出的方法计算氦氙介质的密度,定压比热,动力粘度和热导率。其中密度,动力粘度和热导率在fluent中使用温度多项式,定压比热用常数519 J/(kg K)。

2.3. 网格划分与敏感性分析

网格划分如图2所示,采用多面体非结构化网格对计算区域进行离散化,按照1.1的高度比生成了加密边界层,确保了无量纲参数y+绝大部分区域小于1。为确保数值计算的精准度,在进行数值模拟之前对网格敏感性进行了分析。

Figure 2. Mesh division of annular channel

2. 环形通道网格划分情况

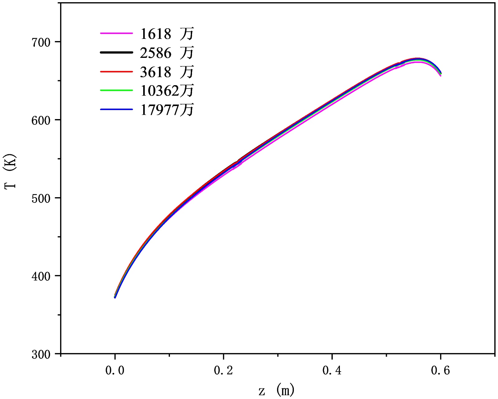
在对网格无关性验证中。对5组网格进行网格敏感性分析验证,网格数量分别为1618万,2586万,3618万,10362万,以及17977万。计算得到了不同网格数量下圆形绕丝环形通道内氦氙混合气体的壁面温度分布图,如图3。可以看到在网格数量达到3618万之后,增加网格数量,壁面温度分布以及温度大小没有明显的变化,因此在后面的数值模拟中采用3618万的网格划分方案以减少计算时间,同时能保证计算精度(表2)。

Table 2. Number and numbering of meshing

2. 网格数量及编号

网格编号

mesh 1

mesh 2

mesh 3

mesh 4

mesh 5

网格数量

1618万

2586万

3618万

10362万

17977万

2.4. 数值方法验证

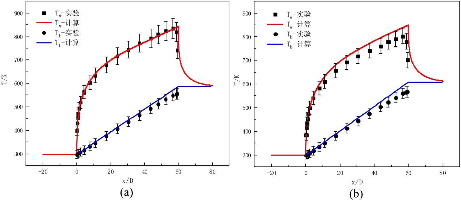
对于40g/mol的氦氙气体,Zhou [18]以及Qin [17]等学者对RANS湍流模型对Taylor圆管进行模拟验证,从验证结果中可见SST k-ω湍流模型的模拟结果与实验结果符合较好。Li [16],Xie [19]和Ning [10]等人在数值方法验证中模拟了Vitovsky [8]准三角管实验,模拟结果显示Transition SST,BSL-RSM在入口段的模拟与实验结果较好,SST k-ω,Transition SST,BSL-RSM模型在充分发展段的模拟结果均与实验结果符合较好。综上所述,考虑现有文献中的氦氙实验段结构与本文结构的不一致,而SST k-ω在圆管实验与准三角管实验的模拟中表现较好,因此在本文的数值模拟过程中我们使用了SST k-w湍流模型,以及Tournier物性方法。为了验证湍流模型以及物性计算方法的准确性,对比了Taylor [20]的两组圆管实验。在Taylor圆管实验中,圆管内径D为5.87 mm,圆管的加热段为60D,壁厚为0.28 mm。方法验证中采用的实验工况如表3所示。在Taylor的实验中,40 g/mol的氦氙混合气在不同工况下流过光滑圆管,如图4图5给出了壁面温度与主流体平均温度的计算结果与实验结果。从图中可以看到,文中使用的数值方法与实验值符合较好,误差均在±5%以内。

Figure 3. Grid independence verification

3. 网格无关性验证

Figure 4. Experimental section of Taylor’s tube

4. Taylor圆管实验段

Table 3. Taylor experimental condition parameters

3. Taylor实验工况参数

边界条件

Run697参数

Run701参数

入口雷诺数

27,858

46,948

入口温度K

297.8

297.0

压力MPa

0.529

0.804

壁面热流密度W/m2

101,343

157,949

Figure 5. Comparison between computational results and experimental data: (a) Run697, (b) Run701

5. 计算结果与实验数据的对比:(a) Run697,(b) Run701

3. 结果与讨论

边界条件中我们设置入口为质量流量入口,出口为压力出口,绕丝棒区域体积热源加热,计算时固体域材质为铝。总共设置了14个不同Re数典型工况,对于不同的绕丝环形通道我们设置了相同的边界条件,保证了相同的入口温度、质量流量以及加热功率。具体的计算工况见下表4

Table 4. Boundary conditions settings

4. 边界条件设置

No.

Tin/K

Win/×103kg∙s1

Q/W

pout/MPa

1

300

1.79

280

0.113

2

400

6.26

650

0.530

3

500

8.26

510

0.113

4

500

17.6

880

0.530

5

300

1.688

265

0.530

6

300

4.22

660

0.530

7

300

8.44

1320

0.530

8

300

12.66

1980

0.530

9

300

16.88

2640

0.530

10

300

21.1

3300

0.530

11

300

25.32

3960

0.530

12

300

29.54

4620

0.530

13

300

33.76

5280

0.530

14

300

37.98

5940

0.530

3.1. 流动换热特性

图6给出了工况2下圆形绕丝环形通道,方形绕丝环形通道,梯形绕丝环形通道,倒梯形绕丝环形通道内不同截面处(Z = 150 mm, 300 mm, 450 mm, 600 mm)的温度以及二次流速度分布图。从图6(a)中可见,在相同的工况设置下,不同绕丝结构通道的流体温度分布相似,绕丝与壁面连接处区域的温度较高。从最高温度上可见,梯形与倒梯形绕丝通道的热点温度较低,梯形绕丝的高温区域较小。从图6(b)横向流速度云图以及矢量图中可见,绕丝产生的横向流最大速度均在2 m/s左右,方形绕丝和梯形绕丝通道的平均横向流强度相对较大;梯形绕丝通道在绕丝区域的横向流最为聚集以及强烈,我们认为这是梯形绕丝热点温度与热点区域较小的原因。

Figure 6. Temperature distribution diagrams at different axial sections and secondary flow velocity distribution cloud diagrams (vector diagrams)

6. 不同轴向截面处温度分布图与二次流速度分布云图(矢量图)

为更好地比较不同绕丝的换热差异,我们比较了不同雷诺数下的流动换热的局部努塞尔数(式6),如图7。在相同的边界条件设置下,梯形结构的局部努塞尔数整体最大,并且随着雷诺数的增加,在换热上的优势越大。圆形绕丝在低雷诺数工况下(Re ≈ 3000, 8500, 11,000),局部努塞尔数在四种结构中整体最小,但随着雷诺数的增加,其努塞尔数与方形以及倒梯形绕丝的差距会降低,在雷诺数为20,000的工况下,圆形绕丝努塞尔数要大于方形和倒梯形绕丝。在Re ≈ 3000,8500,11,000工况下,梯形绕丝的局部努塞尔数与无绕丝相近。在Re ≈ 20,000时,梯形绕丝通道的努塞尔数大于无绕丝通道。在Re ≈ 3000工况时,方形绕丝、倒梯形绕丝通道的局部努塞尔数与无绕丝通道相似;在Re ≈ 8500,11,000,20,000工况时,方形绕丝、倒梯形绕丝和圆形绕丝的局部努塞尔数与无绕丝结构相似。综上所述,我们认为梯形绕丝和圆形绕丝在更高的雷诺数工况下,其换热性能会变好,且梯形绕丝在四种绕丝中的换热表现最佳。

N u local = q d h λ( T w ( z ) ¯ T b ( z ) ¯ ) (6)

Figure 7. Local Nusselt number: (a)~(d) correspond respectively to boundary conditions 1, 2, 3, and 4

7. 局部努塞尔数:(a)~(d)分别对应工况1、2、3、4

3.2. 热工水力特性

图8给出了四种绕丝以及无绕丝环形通道的平均努塞尔数随着雷诺数(≈2100~50,600)的变化图。图中红色圆形点线表示圆形绕丝通道,蓝色方形点线代表方形绕丝通道,绿色三角形点线代表梯形绕丝通道,天蓝色倒三角点线表示倒梯形,粉色菱形点线代表无绕丝通道。从图中可见圆形绕丝的努塞尔数在低雷诺数工况下要小于其他绕丝以及无绕丝通道,在高雷诺数下(Re > 30000)与方形和倒梯形绕丝相当,但均小于梯形绕丝以及无绕丝通道。方形和倒梯形绕丝通道的努塞尔数在低雷诺数下与无绕丝通道相近,在高雷诺数下小于无绕丝通道。梯形绕丝的努塞尔数在低雷诺数下(Re < 10,000)与无绕丝通道相近,在高雷诺数(Re > 10,000)工况下要大于无绕丝通道且差距逐渐增大。综上所述,梯形绕丝能增强通道内的有利于环形通道的换热,而圆形、方形、倒梯形绕丝不利于通道的换热。我们认为这源于梯形绕丝产生的横向流在绕丝附近产生与汇集,能有效破坏壁面区域的温度边界层,从而增强换热;而圆形、方形、倒梯形绕丝结构会在轴向流方向上存在局部区域存在流动低速区而产生局部换热变差,且氦氙工质的粘度随温度升高而升高,形成的正反馈使得该区域的流动更差。

Figure 8. The average Nusselt number of different wire-wrapped annular channels

8. 不同绕丝环形通道的平均努塞尔数

我们通过范宁摩擦阻力系数关系式(式7)计算得到了不同绕丝通道的摩擦阻力系数,如图9。图中可见梯形绕丝通道的摩擦阻力系数整体大于圆形绕丝,无绕丝,方形与倒梯形绕丝通道;圆形绕丝的摩擦阻力系数与无绕丝通道相近;方形和倒梯形绕丝通道的摩擦阻力系数小于无绕丝通道。

f= 2Δp L c ρL v 2 (7)

通过对总努塞尔数以及摩擦阻力系数的分析,我们发现不同形状绕丝结构对换热以及阻力特性的影响有不一样的规律。而对于一个好的堆芯强化结构,我们希望它具有较大对流换热系数,同时也有较小的摩擦阻力系数,但由于场协同原理,换热增强的同时必定会带来压损的升高。为了更好地评价绕丝结构对换热和流动的共同影响,我们用热工水力性能评价指标(PEC) [21]对四种绕丝以及无绕丝通道进行了比较。PEC指标为相同流量下强化结构与参考结构的传热速率与摩擦阻力系数之比,作为量化强化传热效果的性能参数:

Figure 9. The average friction coefficient of different wire-wrapped annular channels

9. 不同绕丝环形通道的平均摩擦阻力系数

PEC= Nu N u ref / ( f f ref ) 1/3 (8)

其中 N u ref 为Dittus–Boelter关系式计算值, f ref 为Blasius关系式计算值。图10给出了四种绕丝以及无绕丝通道的PEC随雷诺数的变化,从图中可见在低雷诺数下(Re~2255),方形、梯形绕丝以及倒梯形的PEC大于无绕丝结构,而在高雷诺数下(Re > 5675)梯形绕丝的PEC大于无绕丝结构。圆形绕丝在所给的雷诺数范围下均小于无绕丝结构。综上所述,为平衡换热性能以及摩擦压损的影响,在性能评价指标下,我们认为梯形绕丝结构在高雷诺(Re > 5675)的区间内强化传热效果明显。

4. 总结

氦氙气冷空间堆堆芯结构布置紧凑,强化换热需求急迫,为了获得换热性能更好的堆芯绕丝棒束结构,本文采用数值方法研究了不同雷诺数下环形绕丝通道内氦氙混合气体的流动换热特性。对其温度场,速度场以及横向流动特性进行了描述;比较了4种不同绕丝环形通道与无绕丝通道在相同边界设置下的努塞尔数、摩擦系数和综合换热性能评价参数。主要结论如下:

(1) 得到了He-Xe在四种绕丝环形通道的流场,温度场分布以及局部努塞尔。结果显示在温度分布上,梯形绕丝通道具有较低的热点温度以及较小的热点区间;横向流强度上,方形绕丝通道整体较强,梯形绕丝在绕丝附近的横向流较强。

(2) 给出了四种绕丝环形通道与无绕丝通道下,氦氙混合气体的平均努塞尔数和平均摩擦阻力系数

Figure 10. The variation of Performance Evaluation Criteria of different wire-wrapped annular channels with Reynolds number

10. 不同绕丝环形通道的热工水力性能评价指标随雷诺数的变化

随雷诺数(2100 < Re < 50,600)的变化。结果显示:在低雷诺数下(Re < 10,000),梯形、方形、倒梯形绕丝的平均努塞尔数与无绕丝通道相近,圆形绕丝小于上述通道。在高雷诺数(Re > 10,000)的区间,梯形绕丝的平均努塞尔数在要明显大无绕丝通道,圆形,方形,倒梯形绕丝显小于无绕丝通道。摩擦阻力系数上,梯形绕丝的范宁摩擦阻力系数略大于其他绕丝通道与无绕丝通道,其中倒梯形绕丝通道的摩擦阻力系数最小。

(3) 通过综合换热性能评价指标比较了四种绕丝环形通道的强化传热效果。结果显示:在高雷诺数工况下(Re > 5675),梯形绕丝通道的PEC大于无绕丝通道;方形、倒梯形、圆形绕丝通道小于无绕丝通道;梯形绕丝强化换热效果要优于其他绕丝通道。

基金项目

感谢核反应堆技术全国重点实验室基金项目(SRJJ-0224-0401-02),先进核能技术全国重点实验室基金项目(STSW-0325-0104-02)和国家自然科学基金项目(12575183)的资助。

NOTES

*通讯作者。

参考文献

[1] Ashcroft, J. and Eshelman, C. (2007) Summary of NR Program Prometheus Efforts. AIP Conference Proceedings, 880, 497-521. [Google Scholar] [CrossRef
[2] Dragunov, Yu.G. (2015) Fast-Neutron Gas-Cooled Reactor for the Megawatt-Class Space Bimodal Nuclear Thermal System. Engineering and Automation Problems, 2, 117-120.
[3] Meng, T., Cheng, K., Zeng, C., He, Y. and Tan, S. (2019) Preliminary Control Strategies of Megawatt-Class Gas-Cooled Space Nuclear Reactor with Different Control Rod Configurations. Progress in Nuclear Energy, 113, 135-144. [Google Scholar] [CrossRef
[4] Qin, H., Zhang, R., Guo, K., Wang, C., Tian, W., Su, G., et al. (2020) Thermal‐Hydraulic Analysis of an Open‐Grid Megawatt Gas‐Cooled Space Nuclear Reactor Core. International Journal of Energy Research, 45, 11616-11628. [Google Scholar] [CrossRef
[5] Zhang, R., Guo, K., Wang, C., Zhang, D., Tian, W., Qiu, S., et al. (2020) Thermal‐Hydraulic Analysis of Gas‐Cooled Space Nuclear Reactor Power System with Closed Brayton Cycle. International Journal of Energy Research, 45, 11851-11867. [Google Scholar] [CrossRef
[6] El-Genk, M. and Tournier, J. (2006) Selection of Noble Gas Binary Mixtures for Brayton Space Nuclear Power Systems. 4th International Energy Conversion Engineering Conference and Exhibit (IECEC), San Diego, 26-29 June 2006, 1. [Google Scholar] [CrossRef
[7] Tournier, J.P. and El-Genk, M.S. (2008) Properties of Noble Gases and Binary Mixtures for Closed Brayton Cycle Applications. Energy Conversion and Management, 49, 469-492. [Google Scholar] [CrossRef
[8] Vitovsky, O.V. (2022) Experimental Study of Heat Transfer during the Flow of a Gas Coolant in a Heated Quasi-Triangular Channel. International Journal of Heat and Mass Transfer, 190, Article ID: 122771. [Google Scholar] [CrossRef
[9] Ning, K., He, Y., Zhao, F., Dong, X., Gui, M., Sun, R., et al. (2023) Numerical Investigation on Flow and Heat Transfer Characteristics of Helium-Xenon Gas Mixture in Rod Bundles. Progress in Nuclear Energy, 166, Article ID: 104947. [Google Scholar] [CrossRef
[10] Ning, K., Tan, S., Wang, S., Li, Z., Lu, R., Shen, H., et al. (2024) Numerical Investigation of Flow Stratification and Heat Transfer Characteristics in a Strongly Heated Horizontal Rod Bundles with Helium-Xenon Gas Mixture. International Journal of Heat and Mass Transfer, 221, Article ID: 125146. [Google Scholar] [CrossRef
[11] Wang, S., Wang, H., Zang, J., Wang, J. and Huang, Y. (2021) Numerical Simulation of the Thermal-Hydraulic Characteristics of Supercritical Carbon Dioxide in a Wire-Wrapped Rod Bundle. Applied Thermal Engineering, 198, Article ID: 117443. [Google Scholar] [CrossRef
[12] Li, H., Wang, H., Luo, Y., Gu, H., Shi, X., Chen, T., et al. (2009) Experimental Investigation on Heat Transfer from a Heated Rod with a Helically Wrapped Wire Inside a Square Vertical Channel to Water at Supercritical Pressures. Nuclear Engineering and Design, 239, 2004-2012. [Google Scholar] [CrossRef
[13] Gu, H., Hu, Z., Liu, D., Li, H., Zhao, M. and Cheng, X. (2016) Experimental Study on Heat Transfer to Supercritical Water in 2×2 Rod Bundle with Wire Wraps. Experimental Thermal and Fluid Science, 70, 17-28. [Google Scholar] [CrossRef
[14] Liu, L., Wang, S. and Bai, B. (2017) Thermal-Hydraulic Comparisons of 19-Pin Rod Bundles with Four Circular and Trapezoid Shaped Wire Wraps. Nuclear Engineering and Design, 318, 213-230. [Google Scholar] [CrossRef
[15] Lin, J., Huang, M., Zhang, S., Wang, B., Huang, J., Matsuda, H., et al. (2021) CFD Investigation for a 7-Pin Wrapped-Wire Fuel Assembly with Different Wires. Annals of Nuclear Energy, 164, Article ID: 108626. [Google Scholar] [CrossRef
[16] Li, J., Zhou, Y., Kang, M., Yuan, Y., Huang, J. and Zhen, R. (2025) Thermal-Hydraulic Analysis of He-Xe Gas Mixtures in Triangular Rod Bundle Wrapped with Different Shaped Wire Wraps. Applied Thermal Engineering, 259, Article ID: 124867. [Google Scholar] [CrossRef
[17] Qin, H., Fang, Y., Wang, C., Tian, W., Qiu, S., Su, G., et al. (2020) Numerical Investigation on Heat Transfer Characteristics of Helium-Xenon Gas Mixture. International Journal of Energy Research, 45, 11745-11758. [Google Scholar] [CrossRef
[18] Zhou, B., Ji, Y., Sun, J. and Sun, Y. (2020) Modified Turbulent Prandtl Number Model for Helium-xenon Gas Mixture with Low Prandtl Number. Nuclear Engineering and Design, 366, Article ID: 110738. [Google Scholar] [CrossRef
[19] Xie, Y., Zeng, W., Wei, Z., Li, J. and Li, R. (2025) Investigation of Turbulence and Turbulent Prandtl Number Models for He-Xe Thermal Hydraulics in Quasi-Triangular Channel. Energies, 18, Article No. 4895. [Google Scholar] [CrossRef
[20] Taylor, M.F., Bauer, K.E. and McEligot, D.M. (1988) Internal Forced Convection to Low-Prandtl-Number Gas Mixtures. International Journal of Heat and Mass Transfer, 31, 13-25. [Google Scholar] [CrossRef
[21] Webb, R.L. (1981) Performance Evaluation Criteria for Use of Enhanced Heat Transfer Surfaces in Heat Exchanger Design. International Journal of Heat and Mass Transfer, 24, 715-726. [Google Scholar] [CrossRef