靶向雄激素受体N末构域抑制剂的研究现状与前景
Current Status and Future Prospects of Inhibitors Targeting the N-Terminal Domain of the Androgen Receptor
DOI: 10.12677/hjmce.2026.141005, PDF, HTML, XML,   
作者: 向凤娇, 蔡江涛:浙江师范大学化学与材料科学学院,浙江 金华
关键词: AR-NTD前列腺癌雄激素受体抑制剂治疗耐药AR-NTD Prostate Cancer Androgen Receptor Inhibitors Treatment Resistance
摘要: 前列腺癌是男性中最常见的恶性肿瘤之一,在发达国家的发病率极高。中国前列腺癌的年龄标准化发病率虽然仍低于西方发达国家,但是全球增长最快的地区之一。而转移性去势抵抗性前列腺(mCRPC)是导致前列腺癌患者死亡的最主要原因。雄激素受体(AR)与mCRPC的发生和发展密切相关,AR在其中起着至关重要的作用。AR的氮末端结构域(AR-NTD)是其发挥转录激活作用的关键区域,且该区域内的激活功能域AF-1在基因表达调控以及蛋白质间相互作用过程中扮演着极为重要的角色。因此,针对NTD的药物研发对治疗CRPC尤为重要。但是,NTD的内在无序性的药物的研发衍生出了一系列的挑战。与传统的、具有稳定三维结构的药物靶点不同,AR-NTD在其未与伴侣蛋白结合时,缺乏稳定的刚性结构,药物分子难以靶向该区域。然而,这也是一个极具潜力的方向,因为针对NTD的药物有望克服目前针对LBD的疗法所产生的耐药性,特别是对表达AR剪接变异体(如AR-V7)的去势抵抗性前列腺癌(CRPC)患者可能有效。本文综述了靶向AR-NTD抑制剂的研发进展、作用机制、各类抑制剂的研发情况、临床研究进展以及面临的挑战与未来展望,旨在为前列腺癌治疗药物的进一步研发提供参考。
Abstract: Prostate cancer is one of the most common malignant tumors among men, with a high incidence rate in developed countries. Although the age-standardized incidence rate of prostate cancer in China is still lower than that in western developed countries, it is one of the fastest-growing regions in the world. Metastatic Castration-Resistant Prostate Cancer is the leading cause of death in prostate cancer patients. The Androgen Receptor (AR) is closely related to the occurrence and development of mCRPC, and AR plays a crucial role in it. The Nitrogen Terminal Domain (AR-NTD) of AR is a key region for its transcriptional activation, and the activation domain AF-1 within this region plays an extremely important role in gene expression regulation and protein-protein interactions. Therefore, drug development for NTD is particularly important for the treatment of CRPC. However, the development of drugs with inherent disorder in NTDs has given rise to a series of challenges. Unlike traditional drug targets with stable three-dimensional structures, AR-NTD lacks a stable rigid structure when it is not bound to partner proteins, making it difficult for drug molecules to target this region. However, this is also a highly promising direction, as drugs targeting NTDs have the potential to overcome the resistance generated by current therapies for LBD, especially for Castration Resistant Prostate Cancer (CRPC) patients expressing AR splicing variants such as AR-V7. This article reviews the research and development progress, mechanism of action, development status of various inhibitors, clinical research progress, challenges and future prospects of targeted AR-NTD inhibitors, aiming to provide reference for further research and development of prostate cancer treatment drugs.
文章引用:向凤娇, 蔡江涛. 靶向雄激素受体N末构域抑制剂的研究现状与前景[J]. 药物化学, 2026, 14(1): 39-52. https://doi.org/10.12677/hjmce.2026.141005

1. 前言

前列腺癌(Prostate Cancer, PC)是世界上三分之二地区最常见的癌症,在全球癌症发病率中排名第四,仅次于肺癌、乳腺癌和结直肠癌[1],有预测在未来几十年后前列腺癌的发病率和死亡率将大幅度增长[2]。随着人口老龄化趋势的加重及生活方式转变,我国前列腺癌的发病率与死亡率不断攀升,已成为威胁我国男性健康的主要恶性肿瘤之一。由于早期症状隐匿,且筛查体系较滞后,国内首诊患者中晚期病例占比显著高于发达国家[3]。转移性去势抵抗性前列腺癌(metastatic Castration-Resistant Prostate Cancer, mCRPC)是前列腺癌发展的终末阶段,mCRPC的耐药机制高度依赖AR信号通路的异常激活,而传统AR-LBD靶向药物因作用靶点的局限性,难以应对AR扩增、突变及剪接变体等耐药形式。靶向AR-NTD的共价抑制策略通过不可逆结合AR-NTD关键残基、破坏其转录激活功能,从核心机制上阻断了AR及其耐药变体的信号传导,展现出克服mCRPC耐药性的独特优势。

2. 雄激素受体

2.1. 前列腺癌与雄激素受体信号通路的关系

雄激素受体(Androgen Receptor, AR)信号通路是调控前列腺器官形成、生理功能维持及内环境稳态的核心机制。雄激素受体(AR)的经典功能在于:接受雄激素刺激后进入细胞核,识别并结合靶基因中的雄激素反应元件,随后招募或与其他转录因子协同作用,从而精细调控基因表达[4]。值得注意的是,前列腺癌的启动与发展同样高度依赖并受控于AR介导的转录程序。前列腺癌的内分泌治疗旨在通过降低循环雄激素水平并抑制AR介导的基因转录,从而削弱肿瘤细胞的生长驱动力[5]。AR是前列腺上皮及基质细胞内的一种核受体蛋白,负责感知雄激素信号并调控下游基因表达,其作用机制可分为转录、调控、循环[6]。细胞静息态,也就是无激素刺激的条件下,AR与热休克蛋白(如HSP90、HSP70等)结合形成复合物,使其被滞留在细胞质中,未活化,不能进入核[7]。然而,当睾酮或二氢睾酮(DHT)进入细胞后,可与AR的C端的配体结合结构域(Ligand-Binding Domain, LBD)结合,受体构象随之改变,分子伴侣HSP解离,AR在磷酸化作用下被激活,并借助核定位信号快速迁入核内[8]。进入细胞核后,AR首先形成同源二聚体,雄激素受体二聚体结合DNA后,招募共调节复合物重塑染色质并召集RNA聚合酶II,从而激活或抑制PSA、MYC等靶基因,驱动细胞增殖与存活[9] [10]

2.2. 雄激素受体结构及其介导的功能

雄激素受体(AR)是类固醇激素受体基因超家族的成员。它位于X染色体(q11-12)上,由8个外显子组成,其结构包含四个关键功能域;位于N末端(N-Terminal Domain, NTD)结合结构域,该区域可变性大,基酸序列保守性低,负责招募转录复合物并驱动基因表达激活,其显著特点是具有编码不同的寡聚或多聚氨基酸的三核苷酸重复序列;高度保守、含有两个锌指模体的DNA结合结构域(DNA-Binding Domain, DBD),它特异性识别并结合靶基因上的雄激素反应元件(ARE);连接DBD和配体结合域的铰链区(Hinge region),内含关键的核定位信号(NLS),控制受体从胞质到核的转运;以及位于C端的配体结合结构域LBD,其内部形成一个疏水口袋,用于高亲和力结合雄激素(如睾酮、二氢睾酮)。雄激素结合LBD会诱导其构象变化,暴露NLS并形成共激活因子结合界面,最终触发受体二聚化、核转位、DNA结合及靶基因转录激活,如同一个调控雄性发育与功能的精密分子开关[11]-[14] (图1)。

Figure 1. The structure of AR and AR-V7 gene and protein

1. AR 以及AR-V7基因与蛋白的结构

2.3. 雄激素受体剪接异构体

目前PCa的治疗前景包括化疗、抗雄激素、放射性药物治疗、免疫治疗和靶向治疗,雄激素剥夺治疗(ADT)一直是前列腺癌患者的主要治疗方法,这是一种以不同的方式抑制睾丸雄激素的分泌,是治疗转移性的前列腺癌的基石[15],PSA下降率高,症状改善和疾病控制。尽管最初有这种良好的反应,但大多数患者最终对ADT产生耐药性,且肿瘤细胞长时间处于ATD的治疗压力下,其自身会通过AR突变/扩增、剪接变体、信号激活、配体自给等多种适应机制,从而再度唤醒驱动肿瘤生长的信号,完成去势抵抗的进阶,而去势抵抗性前列腺癌(mCRPC)在雄激素耗竭条件下仍能持续生长,侵袭性显著增强,成为治疗失败和患者死亡的首要因素,患者死亡风险就会显著升高[16]

雄激素受体剪接变体(AR splice Variants, AR-Vs)缺乏C-末端配体结合结构域,但保留了N-末端转录元件,这些元件可以独立于配体激活AR信号传导(ARS)。ARv567es与AR-V7以配体结合域非依赖的组成型活性,持续放大AR介导的转录信号,上调全长AR (AR-F)表达,从而推进mCRPC的进展[17]。而AR-V7是迄今研究最深入、证据最充分的雄激素受体剪接异构体之一。有研究表明,在细胞核内,AR-V7可独立锚定其特异性靶基因启动子,无需AR-FL参与;但在经典雄激素应答基因启动子处,AR-V7与AR-FL则以相互依赖的模式形成共占据[18]。由于AR-V7在靶基因调控上扮演“独立”与“协同”的双重角色,且其通过差异化共结合方式驱动前列腺癌进展。因此,阻断AR-V7已成攻克去势抵抗性前列腺癌的核心策略。

2.4. AR的重要靶点

针对前列腺癌产生的耐药性,对AR的不同位点的靶向是目前治疗前列腺癌的核心策略,根据当前的最新研究AR可靶向的重要靶点分为五类:第一类是配体结合域(LBD),其作用机制是通过阻断雄激素(睾酮、双氢睾酮)与AR-LBD的结合,阻断受体的二聚化和核位移,以达到抑制受体激活的功能。针对其靶点研发的药物有,恩杂鲁胺(Enzalutamide)、阿帕他胺(Apalutamide)、达罗他胺(Darolutamide)等(图2)。然而,这些拮抗剂最终都会因为LBD结构域点突变(如F877L/T878A)或AR-V7剪接变体缺失LBD,而导致药物失效。

Figure 2. Drug molecules targeting AR-LBD

2. 靶向AR-LBD药物分子

第二类是N端转录激活域(NTD/AF1),其靶向作用原理是,抑制AR与转录协同激活结合,阻断转录起始蛋白。靶向NTD的代表性化合物有ESSA Pharmaceuticals公司研发的EPI-7386,其可择性结合AR的N端转录激活域(NTD/AF1),能够抑制AR-FL的转录活性以及AR剪接变体(如AR-V7)的组成型激活。现阶段正在测试其联合恩杂鲁胺在mCRPC患者中的治疗效果。Qin [19]等人基于EPI-002类似结构优化合成了BWA-522,这是一种PROTAC (蛋白降解靶向嵌合体)分子,该分子核心作用机制是通过将AR蛋白(包括全长AR以及AR-V7剪接体)标记上泛素“标签”,随后由细胞的蛋白酶体识别并拆解,从而抑制去势抵抗性前列腺癌(CRPC)的生长。BWA-522目前仍处于临床前优化阶段(图3)。

Figure 3. Targeted AR-NTD compounds

3. 靶向AR-NTD化合物

第三类是DNA结合域(DBD),其靶点作用路径是通过竞争性抑制AR-DBD (DNA结合域)与ARE的特异性识别,特异性干扰AR-DNA相互作用界面。阻断AR与雄激素应答元件(ARE)结合,包括AR-V7在内的所有AR变体。其靶向药物有基于AR-DBD结构导向虚拟筛选获得的噻唑吗啉类化合物VPC-14449 [20],通过与AR-DBD表面暴露的口袋结合,干扰AR与DNA的结合,从而阻止其转录激活功能。MF-15 (二氢查尔酮衍生物) (图4)通过“封住AR-DBD的DNA结合口袋以及阻断AKR1C3介导的雄激素内源合成”的协同机制,实现AR信号通路的多节点干预,为CRPC提供了新的化学骨架和作用模式[21]

Figure 4. Targeted AR-DBD compounds

4. 靶向AR-DBD化合物

第四类是AR剪接变体(如AR-V7),AR-V7是CRPC中核心具代表性的耐药突变体,因其缺少LBD (图5),而无法被传统拮抗剂抑制。FDA批准的驱虫药——Niclosamide,随着科研人员对其深入研究发现可通过多种途径抑制AR-V7推进CRPC进展,Niclosamide通过泛素–蛋白酶体系统促进AR-V7的降解以及干扰AR-V7与DBD区域或共激活因子(如SRC-1)的相互作用,还能通过抑制Wnt/β-catenin信号通路,从而达到间接稳定AR-V7的治疗效果[22] [23]。Neklesa [24]等人发现了ARV-110,这种小分子配体可结合AR-LBD,并通过VHL配体招募泛素–蛋白酶体系统,诱导降解,从而促进AR蛋白泛素化被蛋白酶体降解其中包括部分突变体。但其依赖AR-LBD,而无法降解AR-V7,导致疗效未达预期(整体响应率仅10%~15%),特别是对AR-V7阴性患者疗效较差,最终在临床三期终止实验。

Figure 5. Targeted AR-V7 compounds

5. 靶向AR-V7化合物

第五类是AR共调节因子或辅助蛋白,其干预机制是由FKBP52、BAG-1、HSP90等蛋白–蛋白相互作用枢纽或共激活因子,次级调控AR稳定性或转录活性。代表性药物有靶向HSP90的抑制剂Ganetespib,该抑制剂选择性结合HSP90的ATP结合口袋(N端结构域),阻断其分子伴侣功能,导致依赖蛋白(如ALK、EGFR、HER2、BRAF、AKT等)被蛋白酶体降解[25],虽然其因临床疗效不足终止开发,但为靶向蛋白稳态的药物研发提供了重要的经验。SAFit系列(如SAFit-1、SAFit-2)作为靶向FKBP52的抑制剂[26] [27],其作用方式是选择性结合FKBP52的肽酰脯氨酰顺反异构酶(PPIase)结构域,阻断其与HSP90-AR复合物的相互作用,SAFit系列的核心价值在于其具有双适应症潜力、高脑屏障穿透、规避糖皮质激素副作用。这五类靶点概括了AR信号通路的多个重要的关键环节,为解决耐药和提高前列腺的治疗效果提供了多元化的方案(图6)。

Figure 6. Targeted AR co-regulators compounds

6. 靶向AR共调节因子化合物

3. 基于IDP的EPI系列共价抑制剂

现如今,不同领域的各种共价抑制剂不断崛起,归其原因有以下几点:1) 解决了现有AR靶向药物所产生的耐药性,如阿比特龙(Abiraterone) (图7)靶向AR-LBD的药物,但其对AR剪接变体(AR-V7)完全无效(因AR-V7缺乏LBD) [28]。而共价抑制剂能保守靶向AR-NTD且不受剪接变异影响,同时可抑制AR-FL和AR-V7;通过共价键(如与Cys24、Cys61结合)实现长效抑制,减少耐药突变风险。

Figure 7. Chemical structure of abiraterone

7. 阿比特龙化学结构

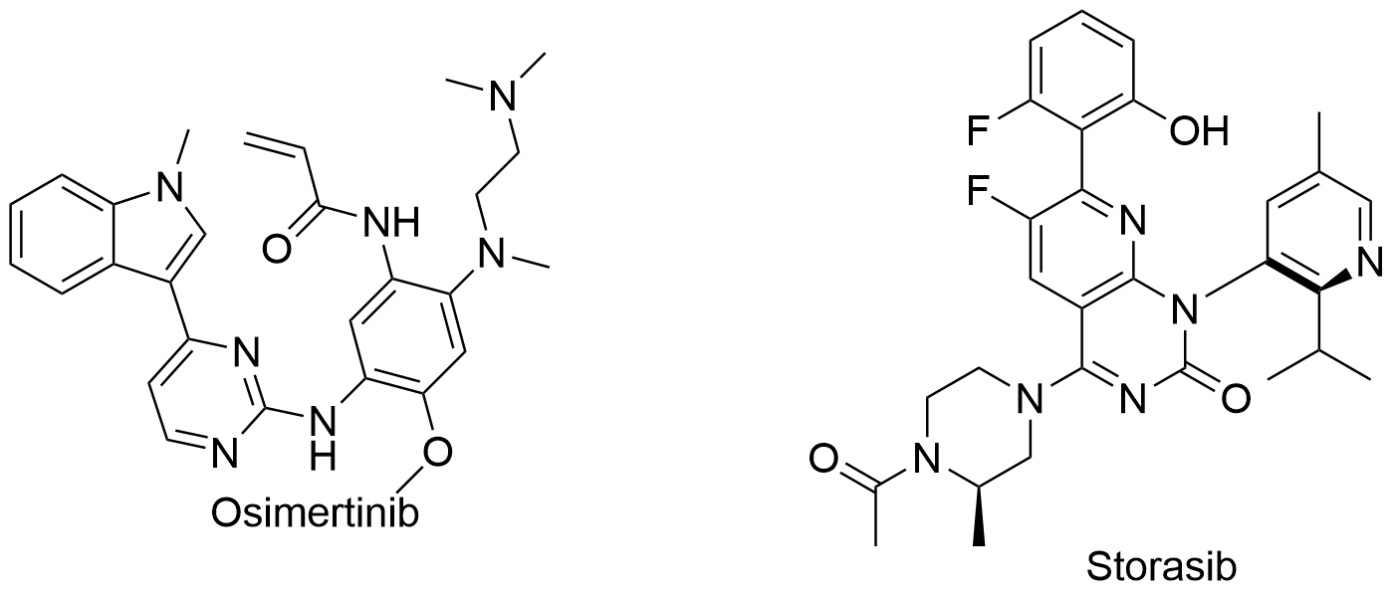
2) 其对AR-NTD具有独特的靶点优势,AR-NTD含有多个保守半胱氨酸(如Cys24、Cys61、Cys81),为共价抑制剂提供理想反应位点[29]。3) 临床需求的迫切性,前列腺癌是全球男性第二大常见癌症,低于30%的CRPC患者能达到5年的生存率[30],而目前的疗法对晚期患者效果有限,急需新机制药物。4) 共价抑制剂的技术成熟,如奥希替尼(Osimertinib)、索托拉西布(图8)在EGFR/KRAS靶点的成功[31] [32],验证了共价策略的可行性。技术进步,如冷冻电镜(解析AR-NTD动态构象)、化学蛋白质组学(筛选高选择性弹头),AI辅助设计(优化共价结合效率)。

Figure 8. Targeted EGFR/KRAS covalent inhibitors

8. 靶向EGFR/KRAS共价抑制剂

5) 克服PROTAC的局限性,现有的AR靶向PROTAC需结合LBD,对LBD有依赖性,而AR-V7缺乏LBD,因此其对AR-V7无效。共价抑制剂可标记AR-NTD,推动降解AR-V7的PROTAC开发[33]

共价抑制剂通过“结合–锁定”(Bind-and-Lock)两步实现对靶标蛋白的阻断,第一步是与靶蛋白形成非共价结合的复合物配体,配体的亲和力用抑制常数(Ki)表示,其作用特点具有可逆性的相互作用(如通过氢键、疏水作用、范德华力等与靶蛋白结合),构象预组织(诱导蛋白形成适合共价反应的构象),结合常数Ki ≤ 1 μM。第二步是共价键的形成,共价键的形成是共价抑制剂发挥长久抑制的决定步奏,其根本是抑制剂的弹头与靶蛋白残基发生的可逆或不可逆化学反应[34]。当抑制剂与蛋白质形成的复合物发生解离的逆反应速率常数(k−2)等于或接近于零时,该抑制剂则是不可逆共价抑制剂。在限速步骤中的可逆共价结合由解离常数 k i * k i * 既受k2与k2共同调控,也与前一步的逆向速率常数k1成正比(图9)。对于不可逆抑制剂的优化采用提高选择性(如通过结构引导避免脱靶Cys结合)和延长靶蛋白半衰期(增强药效持久性)这两种策略,对可逆共价抑制剂则需要调控解离速率(如硼酸类化合物的pH敏感性)和改善口服生物利用度(如奈玛特韦的脂溶性修饰) [35]

Figure 9. Irreversible covalent inhibitors and reversible covalent inhibitors

9. 不可逆共价键和可逆共价键的作用机理

3.1. EPI-001的先导发现

EPI-001作为首个靶向固有无序蛋白(Intrinsic Disordered Proteins, IDP)的共价抑制剂[36] (图10),为克服CRPC耐药性提供了突破性创新。其通过与AR-NTD的AF-1,阻断其与转录因子(如MED1、p160共激活因子)的相互作用和选择性抑制AR-FL以及剪接变体的转录活性[37],这种特殊的双阶段机制作用于雄激素受体(AR)的N端结构域(NTD)。EPI-001首先通过非共价的方式可逆结合转录激活单元TAU-5 [22],然后诱导AR-NTD构象变化使分子内仲醇基团靠近碱性氨基酸基团;随后在碱性条件下发生脱水反应,生成高活性环氧化物中间体,与AR-NTD保守序列中的非催化半胱氨酸(Cys601)形成不可逆共价加合物,从而双重阻断全长AR及促耐药剪接变体AR-V7的转录活性[38]。相较于传统非共价抑制剂,EPI-001通过共价结合显著延长作用时间并提高靶点占有率,并选择性结合半胱氨酸的特性[39],有效克服了AR-V7因缺失配体结合域导致的耐药问题。

Figure 10. The structure of EPI-001

10. EPI-001化合物的结构

3.2. 第一代优化:EPI-002/EPI-506

但EPI-001因其口服生物利用度低、体内代谢快,暴露不足、具有脱靶[40]效应以及药效窗口窄等缺点[39]导致其未进入临床。科研人员在EPI-001的基础上引入氟原子和环炳基等修饰,得到了代谢性的稳定性显著提高和体外半衰期延长的EPI-002 [41],该化合物保留了对AR-NTD的活性抑制IC50 = 10 [42],但其的LogP (脂溶性)较低(计算值约为2.5),不利于跨膜被动扩散;存在氢键供体或受体过多,从而影响了肠道渗透性;虽然氟化修饰减少了氧化代谢,但EPI-002依旧有很大被CYP450酶代谢,导致首过效应显著;该分子在水中溶解度有限(<1 mg/mL),有可能会影响胃肠道吸收。综上原因导致其口服生物利用度有限而止步于I期。EPI-506是在EPI-002的基础上引入了螺环结构和疏水基团,其显著降低CYP450代谢(半衰期延长至6~8小时),在大鼠模型中口服生物利用度提升至40%,并且对AR-FL和AR-V7的抑制活性(IC <sub> 50 </sub > < 0.5 μM),且选择性更高(无GR脱靶效应) [43],其是首个体内暴露量达到治疗需求的AR-NTD抑制剂[44]。因为AR-NTD的结合位点亲和力有限,导致其剂量需求比较高,临床有效剂量需 ≥ 400 mg/天,且II期试验需进一步评估肝酶升高等潜在风险(图11)。

Figure 11. The structures of EPI-001 and EPI-506

11. EPI-002和EPI-506的结构

3.3. 新一代化合物开发

对于EPI系列的新一代化合物的开发,需从结构上提高亲和力与代谢稳定性,如设计刚性骨架以减少CYP450代谢、引入疏水基团从而增强细胞膜的渗透性;同时侧重对AR突变体的靶向(如AR-V7、F876L),可通过冷冻电镜解析AR-NTD动态构象,设计变构抑制剂[45]以及设计同时靶向NTD和LBD的双功能分子。EPI-7386作为EPI系列新一代靶向AR-NTD抑制剂[46],其优化不仅解决了当前化合物(如EPI-001/002/506)的重要缺陷,更重要的是其在药物设计、靶向策略、临床适用性上实现了重要突破。

作为从天然产物优化而来的共价抑制剂,EPI系列不仅开创了靶向IDP的疗法策略,更通过共价修饰策略为癌症治疗提供了克服方案。耐药性的新范式,同时还为MYC、p53等“不可成药”靶点提供了可借鉴的研发方案[47]。而对EPI-7386的优化进一步验证AR-NTD的临床可靶向性,为IDP药物开发树立新的标杆;还提供克服AR-V7耐药的解决策略,弥补了CRPC后线治疗的空白;推动联合治疗策略,重新诠释AR信号全程抑制的潜力,并引领下一代AR靶向药物的开发浪潮。

4. 萘环框架化合物靶向AR-NTD的核心优势

4.1. 结构匹配

由于萘环的两个共轭苯环提供约6.0 Å的平面疏水面[48],萘环提供了一个较大的疏水表面。AR-NTD具有转录激活功能(AF-1),AF-1的功能不依赖于配体,该区域具有内在无序性,但其中包含一些疏水性氨基酸残基,这些残基可能形成疏水口袋或凹槽,为小分子配体提供结合位点[49]。基于Matsumoto等人报道[50]化合物KBFM123,其可与GTP结合形式的H-Ras蛋白结合。萘环直接与位于开关I和开关II之间的疏水口袋相互作用,通过诱导开关I及其侧翼区域的构象变化,变构抑制效应子的相互作用。该研究展示了萘环与蛋白质疏水口袋结合的作用模式,为研究萘环与AF-1疏水面结合提供了思路。Lavery [51]等人报道了通过疏水荧光探针8-苯胺基萘-1-磺酸(ANS)证实AF-1的疏水性,并揭示其在蛋白质诱导下可形成α-螺旋。这为萘环通过疏水作用驱动AF-1局部折叠提供了结构基础。

4.2. 电子效应精准调控

萘环上还具有多修饰位点,在萘环上引入不同的取代基能产生不同的效应,如Ban [52]等人报道AR-NTD共价抑制剂VPC-220010,萘环的2位引入氯原子(−Cl)和羟基(−OH),当2-是氯原子时,吸电子效应降低萘环β-碳的电子密度,促进与Met745硫原子的硫醚键形成(键长缩短0.2~0.3 Å),结合自由能(ΔG)降低1.5~2.0 kcal/mol;当引入羟基时,与AR-NTD的Glu346形成氢键,稳定局部α-螺旋构象,同时通过分子内氢键提升水溶性(logP = 2.5)。Tadeusz [53]等人通过量子化学计算不同取代基对萘环的电子结构和芳香性的影响,在萘环上的1位或2位引入不同取代基时,其具有不同的Pka,如在1位引入硝基时可通过共轭效应显著影响萘环的电子分布,导致邻位(2位)电荷密度变化最大;而在2位引入甲氧基时,通过电子效应和空间位阻协同调控分子构象,从而改变疏水口袋的适配性。总之,在萘环上引入给电子基(如−NH2、−OH)时可通过共轭效应增加萘环电子云密度,使亲电取代更易发生在α位,引入吸电子基(如−NO2、−CF3)其可通过诱导效应降低萘环的电子密度,从而使亲电试剂更容易进攻β位。

4.3. 共价弹头易嫁接

萘环1-位或2-位能够非常容易地嫁接丙烯酰胺、氯乙酰胺、磺酰氟等共价弹头,并且能够直接靶向Cys571、Cys614等高可及性半胱氨酸。萘环的1/2位具有键角的优势效应,1-位嫁接如丙烯酰胺弹头与Cys的硫原子形成107˚键角,接近sp3杂化理想角度,降低了扭转张力,2-位嫁接氯乙酰胺弹头键角103.8˚ ± 2.1˚,强化了与Met745的硫醚相互作用(距离3.9 Å),减少了空间位阻。萘环1-或2-位的碳原子杂化状态支持天然键角适配性(105˚~110˚),与蛋白质活性口袋的几何构型完美匹配,实现了无张力对接。

5. AR-NTD中半胱氨酸的靶向优势

半胱氨酸(Cysteine, Cys),是蛋白质中唯一一种含巯基(−SH)硫氨基酸,侧链的硫原子可呈现从−2到+6的多种氧化态,使其在蛋白质结构、酶活性调控、氧化还原平衡中发挥核心作用[54] [55]。其组学特征(包括修饰谱、代谢网络及空间动态)已成为研究癌症、神经退行性疾病、衰老和免疫调控的重要突破口[56]-[59]。侧链巯基,在生理pH下容易去质子化从而形成硫醇盐(−S),使其亲核性远远高于赖氨酸(−NH2)、酪氨酸(−OH)等其他氨基酸,并且能迅速与αβ-不饱和羰基、磺酰氟、α-卤代羰基、应变释放环系(如氮杂环、环氧化合物、β-内酰胺等)、末端炔烃、卤代杂环、β-亚硝基苯乙烯、二硫试剂或氧化型弹头等亲电弹头发生Michael加成或亲核取代反应,形成稳定的不可逆硫醚键[60]

因半胱氨酸的含量仅占天然蛋白质约1.7%,这使得其具有很低的丰度从而减少了竞争和降低了背景[61],使其比其他氨基酸(酪氨酸、赖氨酸)更容易通过结构导向设计实现位点的特异性结合,并且能够降低脱靶效应。半胱氨酸常位于关键的功能节点(如分布在腺苷三磷酸(Adenosine Triphosphate, ATP)结合口袋以及催化中心、变构调控位)。这些节点有着重要的功能、高频率的突变,使其成为共价药物精准结合的理想目标。

目前大多数的共价抑制剂主要还是通过半胱氨酸侧链巯基的高亲核性,在ATP结合口袋、在催化活性位点或是变构区域与靶蛋白结合形成不可逆或可逆共价键,这类半胱氨酸定向共价药物的设计理念是:先通过非共价骨架与靶蛋白形成高亲核力结合,然后再利用弹头与相邻的半胱氨酸形成共价键,以达到加长作用时间、提高选择性和克服耐药突变等疗效。

6. 总结

雄激素受体(AR)在前列腺癌的发生和发展中扮演着至关重要的角色,AR的可变剪接变异体(AR-V7)的出现是前列腺癌发展为去势抵抗性前列腺癌(CRPC)的关键原因之一,虽然这些变异体缺失了配体结合结构域(LBD),但它们仍然保留了N端激活转录域(NTD),靶向抑制AR的信号通路在治疗CRPC具有不可替代的价值。而AR-NTD是控制AR转录活性的重要区域,但其内在的无序性和缺乏明确的结合口袋,使得传统的药物分子难以有效地靶向。EPI-7386是一种已知靶向AR-NTD的共价抑制剂,其靶向Cys614和Cys571选择性地结合了NTD的AF-1区(残基220~280)。然而,EPI-7386的代谢稳定性差、亲和力也不高,使其效价和药代动力学性质需要进一步优化。因为萘环具有刚性平面结构和疏水特性,能够靶向无序蛋白的疏水口袋,且易于结构修饰增强结合力等优势。

参考文献

[1] Chen, J., He, L., Ni, Y., Yu, F., Zhang, A., Wang, X., et al. (2024) Prevalence and Associated Risk Factors of Prostate Cancer among a Large Chinese Population. Scientific Reports, 14, Article No. 26338. [Google Scholar] [CrossRef] [PubMed]
[2] Bray, F., Laversanne, M., Sung, H., Ferlay, J., Siegel, R.L., Soerjomataram, I., et al. (2024) Global Cancer Statistics 2022: GLOBOCAN Estimates of Incidence and Mortality Worldwide for 36 Cancers in 185 Countries. CA: A Cancer Journal for Clinicians, 74, 229-263. [Google Scholar] [CrossRef] [PubMed]
[3] Chen, W., Zheng, R., Zeng, H. and Zhang, S. (2016) The Incidence and Mortality of Major Cancers in China, 2012. Chinese Journal of Cancer, 35, Article No. 73. [Google Scholar] [CrossRef] [PubMed]
[4] Gelmann, E.P. (2002) Molecular Biology of the Androgen Receptor. Journal of Clinical Oncology, 20, 3001-3015. [Google Scholar] [CrossRef] [PubMed]
[5] Harris, W.P., Mostaghel, E.A., Nelson, P.S. and Montgomery, B. (2009) Androgen Deprivation Therapy: Progress in Understanding Mechanisms of Resistance and Optimizing Androgen Depletion. Nature Clinical Practice Urology, 6, 76-85. [Google Scholar] [CrossRef] [PubMed]
[6] Heinlein, C.A. and Chang, C. (2004) Androgen Receptor in Prostate Cancer. Endocrine Reviews, 25, 276-308. [Google Scholar] [CrossRef] [PubMed]
[7] Backe, S.J., Sager, R.A., Regan, B.R., Sit, J., Major, L.A., Bratslavsky, G., et al. (2022) A Specialized Hsp90 Co-Chaperone Network Regulates Steroid Hormone Receptor Response to Ligand. Cell Reports, 40, Article ID: 111039. [Google Scholar] [CrossRef] [PubMed]
[8] Heid, S.E., Pollenz, R.S. and Swanson, H.I. (2000) Role of Heat Shock Protein 90 Dissociation in Mediating Agonist-Induced Activation of the Aryl Hydrocarbon Receptor. Molecular Pharmacology, 57, 82-92. [Google Scholar] [CrossRef
[9] Kim, J. and Coetzee, G.A. (2004) Prostate Specific Antigen Gene Regulation by Androgen Receptor. Journal of Cellular Biochemistry, 93, 233-241. [Google Scholar] [CrossRef] [PubMed]
[10] Guo, J., Wei, Z., Jia, T., Wang, L., Nama, N., Liang, J., et al. (2023) Dissecting Transcription of the 8q24-MYC Locus in Prostate Cancer Recognizes the Equilibration between Androgen Receptor Direct and Indirect Dual-Functions. Journal of Translational Medicine, 21, Article No. 716. [Google Scholar] [CrossRef] [PubMed]
[11] Saporita, A.J., Zhang, Q., Navai, N., Dincer, Z., Hahn, J., Cai, X., et al. (2003) Identification and Characterization of a Ligand-Regulated Nuclear Export Signal in Androgen Receptor. Journal of Biological Chemistry, 278, 41998-42005. [Google Scholar] [CrossRef] [PubMed]
[12] Kang, Z., Pirskanen, A., Jänne, O.A. and Palvimo, J.J. (2002) Involvement of Proteasome in the Dynamic Assembly of the Androgen Receptor Transcription Complex. Journal of Biological Chemistry, 277, 48366-48371. [Google Scholar] [CrossRef] [PubMed]
[13] Fenner, A. (2017) AR Homodimerization Is Essential to Function. Nature Reviews Urology, 14, 258-259. [Google Scholar] [CrossRef] [PubMed]
[14] Pomerantz, M.M., Li, F., Takeda, D.Y., Lenci, R., Chonkar, A., Chabot, M., et al. (2015) The Androgen Receptor Cistrome Is Extensively Reprogrammed in Human Prostate Tumorigenesis. Nature Genetics, 47, 1346-1351. [Google Scholar] [CrossRef] [PubMed]
[15] Cornford, P., van den Bergh, R.C.N., Briers, E., Van den Broeck, T., Brunckhorst, O., Darraugh, J., et al. (2024) EAU-EANM-ESTRO-ESUR-ISUP-SIOG Guidelines on Prostate Cancer—2024 Update. Part I: Screening, Diagnosis, and Local Treatment with Curative Intent. European Urology, 86, 148-163. [Google Scholar] [CrossRef] [PubMed]
[16] Smith, M.R., Kabbinavar, F., Saad, F., Hussain, A., Gittelman, M.C., Bilhartz, D.L., et al. (2005) Natural History of Rising Serum Prostate-Specific Antigen in Men with Castrate Nonmetastatic Prostate Cancer. Journal of Clinical Oncology, 23, 2918-2925. [Google Scholar] [CrossRef] [PubMed]
[17] Tagawa, S.T., Antonarakis, E.S., Gjyrezi, A., Galletti, G., Kim, S., Worroll, D., et al. (2019) Expression of AR-V7 and Arv567es in Circulating Tumor Cells Correlates with Outcomes to Taxane Therapy in Men with Metastatic Prostate Cancer Treated in Taxynergy. Clinical Cancer Research, 25, 1880-1888. [Google Scholar] [CrossRef] [PubMed]
[18] Roggero, C.M., Jin, L., Cao, S., Sonavane, R., Kopplin, N.G., Ta, H.Q., et al. (2020) A Detailed Characterization of Stepwise Activation of the Androgen Receptor Variant 7 in Prostate Cancer Cells. Oncogene, 40, 1106-1117. [Google Scholar] [CrossRef] [PubMed]
[19] Zhang, B., Liu, C., Yang, Z., Zhang, S., Hu, X., Li, B., et al. (2023) Discovery of bwa-522, a First-in-Class and Orally Bioavailable PROTAC Degrader of the Androgen Receptor Targeting N-Terminal Domain for the Treatment of Prostate Cancer. Journal of Medicinal Chemistry, 66, 11158-11186. [Google Scholar] [CrossRef] [PubMed]
[20] Li, H., Ban, F., Dalal, K., Leblanc, E., Frewin, K., Ma, D., et al. (2014) Discovery of Small-Molecule Inhibitors Selectively Targeting the DNA-Binding Domain of the Human Androgen Receptor. Journal of Medicinal Chemistry, 57, 6458-6467. [Google Scholar] [CrossRef] [PubMed]
[21] Kafka, M., Mayr, F., Temml, V., Möller, G., Adamski, J., Höfer, J., et al. (2020) Dual Inhibitory Action of a Novel AKR1C3 Inhibitor on Both Full-Length AR and the Variant AR-V7 in Enzalutamide Resistant Metastatic Castration Resistant Prostate Cancer. Cancers, 12, Article No. 2092. [Google Scholar] [CrossRef] [PubMed]
[22] Liu, C., Lou, W., Zhu, Y., Nadiminty, N., Schwartz, C.T., Evans, C.P., et al. (2014) Niclosamide Inhibits Androgen Receptor Variants Expression and Overcomes Enzalutamide Resistance in Castration-Resistant Prostate Cancer. Clinical Cancer Research, 20, 3198-3210. [Google Scholar] [CrossRef] [PubMed]
[23] Sakellakis, M. (2023) Niclosamide in Prostate Cancer: An Inhibitor of AR-V7, a Mitochondrial Uncoupler, or More? Cancer Treatment and Research Communications, 35, Article ID: 100685. [Google Scholar] [CrossRef] [PubMed]
[24] Neklesa, T., Snyder, L.B., Willard, R.R., Vitale, N., Pizzano, J., Gordon, D.A., et al. (2019) ARV-110: An Oral Androgen Receptor PROTAC Degrader for Prostate Cancer. Journal of Clinical Oncology, 37, 259-259. [Google Scholar] [CrossRef
[25] Youssef, M.E., Cavalu, S., Hasan, A.M., Yahya, G., Abd-Eldayem, M.A. and Saber, S. (2023) Role of Ganetespib, an HSP90 Inhibitor, in Cancer Therapy: From Molecular Mechanisms to Clinical Practice. International Journal of Molecular Sciences, 24, Article No. 5014. [Google Scholar] [CrossRef] [PubMed]
[26] Jagtap, P.K.A., Asami, S., Sippel, C., Kaila, V.R.I., Hausch, F. and Sattler, M. (2019) Selective Inhibitors of FKBP51 Employ Conformational Selection of Dynamic Invisible States. Angewandte Chemie International Edition, 58, 9429-9433. [Google Scholar] [CrossRef] [PubMed]
[27] Buffa, V., Knaup, F.H., Heymann, T., Springer, M., Schmidt, M.V. and Hausch, F. (2023) Analysis of the Selective Antagonist Safit2 as a Chemical Probe for the Fk506-Binding Protein 51. ACS Pharmacology & Translational Science, 6, 361-371. [Google Scholar] [CrossRef] [PubMed]
[28] Antonarakis, E.S., Lu, C., Wang, H., Luber, B., Nakazawa, M., Roeser, J.C., et al. (2014) AR-V7 and Resistance to Enzalutamide and Abiraterone in Prostate Cancer. New England Journal of Medicine, 371, 1028-1038. [Google Scholar] [CrossRef] [PubMed]
[29] Hunter, I., Jamieson, C. and McEwan, I.J. (2025) The Androgen Receptor Amino-Terminal Domain: Structure, Function and Therapeutic Potential. Endocrine Oncology, 5, e240061. [Google Scholar] [CrossRef] [PubMed]
[30] Raychaudhuri, R., Lin, D.W. and Montgomery, R.B. (2025) Prostate Cancer: A Review. JAMA, 333, 1433-1446. [Google Scholar] [CrossRef] [PubMed]
[31] Soria, J., Ohe, Y., Vansteenkiste, J., Reungwetwattana, T., Chewaskulyong, B., Lee, K.H., et al. (2018) Osimertinib in Untreated egfr-Mutated Advanced Non-Small-Cell Lung Cancer. New England Journal of Medicine, 378, 113-125. [Google Scholar] [CrossRef] [PubMed]
[32] Hong, D.S., Fakih, M.G., Strickler, J.H., Desai, J., Durm, G.A., Shapiro, G.I., et al. (2020) KRASG12C Inhibition with Sotorasib in Advanced Solid Tumors. New England Journal of Medicine, 383, 1207-1217. [Google Scholar] [CrossRef] [PubMed]
[33] Zammit, C.M., Nadel, C.M., Lin, Y., et al. (2025) Covalent Destabilizing Degrader of AR and AR-V7 in Andro-Gen-Independent Prostate Cancer Cells.
[34] Hameed, M.S., Cao, H., Guo, L., Zeng, L. and Ren, Y. (2024) Advancements, Challenges, and Future Frontiers in Covalent Inhibitors and Covalent Drugs: A Review. European Journal of Medicinal Chemistry Reports, 12, Article ID: 100217. [Google Scholar] [CrossRef
[35] Santi, N., Piccirilli, A., Corsini, F., Taracila, M.A., Perilli, M., Bonomo, R.A., et al. (2025) Discovery of Boronic Acids-Based Β-Lactamase Inhibitors through in Situ Click Chemistry. International Journal of Molecular Sciences, 26, Article No. 4182. [Google Scholar] [CrossRef] [PubMed]
[36] Andersen, R.J., Mawji, N.R., Wang, J., Wang, G., Haile, S., Myung, J., et al. (2010) Regression of Castrate-Recurrent Prostate Cancer by a Small-Molecule Inhibitor of the Amino-Terminus Domain of the Androgen Receptor. Cancer Cell, 17, 535-546. [Google Scholar] [CrossRef] [PubMed]
[37] De Mol, E., Fenwick, R.B., Phang, C.T.W., Buzón, V., Szulc, E., de la Fuente, A., et al. (2016) EPI-001, a Compound Active against Castration-Resistant Prostate Cancer, Targets Transactivation Unit 5 of the Androgen Receptor. ACS Chemical Biology, 11, 2499-2505. [Google Scholar] [CrossRef] [PubMed]
[38] Basu, S., Martínez-Cristóbal, P., Frigolé-Vivas, M., Pesarrodona, M., Lewis, M., Szulc, E., et al. (2023) Rational Optimization of a Transcription Factor Activation Domain Inhibitor. Nature Structural & Molecular Biology, 30, 1958-1969. [Google Scholar] [CrossRef] [PubMed]
[39] Antonarakis, E.S., Chandhasin, C., Osbourne, E., Luo, J., Sadar, M.D. and Perabo, F. (2016) Targeting the N-Terminal Domain of the Androgen Receptor: A New Approach for the Treatment of Advanced Prostate Cancer. The Oncologist, 21, 1427-1435. [Google Scholar] [CrossRef] [PubMed]
[40] Brand, L.J., Olson, M.E., Ravindranathan, P., Guo, H., Kempema, A.M., Andrews, T.E., et al. (2015) EPI-001 Is a Selective Peroxisome Proliferator-Activated Receptor-Gamma Modulator with Inhibitory Effects on Androgen Receptor Expression and Activity in Prostate Cancer. Oncotarget, 6, 3811-3824. [Google Scholar] [CrossRef] [PubMed]
[41] Sadar, M.D. (2020) Discovery of Drugs That Directly Target the Intrinsically Disordered Region of the Androgen Receptor. Expert Opinion on Drug Discovery, 15, 551-560. [Google Scholar] [CrossRef] [PubMed]
[42] Le Moigne, R., Zhou, H., Mawji, N.R., Banuelos, C.A., Wang, J., Jian, K., et al. (2019) Next Generation N-Terminal Domain Androgen Receptor Inhibitors with Improved Potency and Metabolic Stability in Castration-Resistant Prostate Cancer Models. Journal of Clinical Oncology, 37, Article No. 220. [Google Scholar] [CrossRef
[43] Vaishampayan, U., Montgomery, R.B., Gordon, M.S., Smith, D.C., Barber, K., de Haas-Amatsaleh, A., et al. (2017) EPI-506 (Ralaniten Acetate), a Novel Androgen Receptor (AR) N-Terminal Domain (NTD) Inhibitor, in Men with Metastatic Castration-Resistant Prostate Cancer (mCRPC): Phase 1 Update on Safety, Tolerability, Pharmacokinetics and Efficacy. Annals of Oncology, 28, v274. [Google Scholar] [CrossRef
[44] Chi, K.N., Vaishampayan, U.N., Gordon, M.S., Smith, D.C., Rudsinski, E., De Haas-Amatsaleh, A., et al. (2017) Efficacy, Safety, Tolerability, and Pharmacokinetics of EPI-506 (Ralaniten Acetate), a Novel Androgen Receptor (AR) N-Terminal Domain (NTD) Inhibitor, in Men with Metastatic Castration-Resistant Prostate Cancer (mCRPC) Progressing after Enzalutamide And/or Abiraterone. Journal of Clinical Oncology, 35, Article No. 5032. [Google Scholar] [CrossRef
[45] Katleba, K.D., Ghosh, P.M. and Mudryj, M. (2023) Beyond Prostate Cancer: An Androgen Receptor Splice Variant Expression in Multiple Malignancies, Non-Cancer Pathologies, and Development. Biomedicines, 11, Article No. 2215. [Google Scholar] [CrossRef] [PubMed]
[46] Le Moigne, R., Pearson, P., Lauriault, V., Hong, N.H., Virsik, P., Zhou, H., et al. (2021) Preclinical and Clinical Pharmacology of EPI-7386, an Androgen Receptor N-Terminal Domain Inhibitor for Castration-Resistant Prostate Cancer. Journal of Clinical Oncology, 39, Article No. 119. [Google Scholar] [CrossRef
[47] Kyriakopoulos, C., Chatta, G.S., Laccetti, A.L., Iannotti, N., Sokolova, A., Hotte, S.J., et al. (2024) Phase 1/2 Trial of Oral EPI-7386 (Masofaniten) in Combination with Enzalutamide (Enz) Compared to Enz Alone in Patients with Metastatic Castration-Resistant Prostate Cancer (mCRPC): Phase 1 (P1) Results and Phase 2 (P2) Design. Journal of Clinical Oncology, 42, Article No. 141. [Google Scholar] [CrossRef
[48] Vacas, T., Corzana, F., Jiménez-Osés, G., González, C., Gómez, A.M., Bastida, A., et al. (2010) Role of Aromatic Rings in the Molecular Recognition of Aminoglycoside Antibiotics: Implications for Drug Design. Journal of the American Chemical Society, 132, 12074-12090. [Google Scholar] [CrossRef] [PubMed]
[49] McEwan, I.J., Lavery, D., Fischer, K. and Watt, K. (2007) Natural Disordered Sequences in the Amino Terminal Domain of Nuclear Receptors: Lessons from the Androgen and Glucocorticoid Receptors. Nuclear Receptor Signaling, 5, e001. [Google Scholar] [CrossRef] [PubMed]
[50] Matsumoto, S., Hiraga, T., Hayashi, Y., Yoshikawa, Y., Tsuda, C., Araki, M., et al. (2018) Molecular Basis for Allosteric Inhibition of GTP-Bound H-Ras Protein by a Small-Molecule Compound Carrying a Naphthalene Ring. Biochemistry, 57, 5350-5358. [Google Scholar] [CrossRef] [PubMed]
[51] Lavery, D.N. and McEwan, I.J. (2008) Structural Characterization of the Native NH2-Terminal Transactivation Domain of the Human Androgen Receptor: A Collapsed Disordered Conformation Underlies Structural Plasticity and Protein-Induced Folding. Biochemistry, 47, 3360-3369. [Google Scholar] [CrossRef] [PubMed]
[52] Ban, F., Leblanc, E., Cavga, A.D., Huang, C.F., Flory, M.R., Zhang, F., et al. (2021) Development of an Androgen Receptor Inhibitor Targeting the N-Terminal Domain of Androgen Receptor for Treatment of Castration Resistant Prostate Cancer. Cancers, 13, Article No. 3488. [Google Scholar] [CrossRef] [PubMed]
[53] Krygowski, T.M., Palusiak, M., Płonka, A. and Zachara‐Horeglad, J.E. (2007) Relationship between Substituent Effect and Aromaticity Part III: Naphthalene as a Transmitting Moiety for Substituent Effect. Journal of Physical Organic Chemistry, 20, 297-306. [Google Scholar] [CrossRef
[54] Paulsen, C.E. and Carroll, K.S. (2013) Cysteine-mediated Redox Signaling: Chemistry, Biology, and Tools for Discovery. Chemical Reviews, 113, 4633-4679. [Google Scholar] [CrossRef] [PubMed]
[55] Levine, R.L., Mosoni, L., Berlett, B.S. and Stadtman, E.R. (1996) Methionine Residues as Endogenous Antioxidants in Proteins. Proceedings of the National Academy of Sciences, 93, 15036-15040. [Google Scholar] [CrossRef] [PubMed]
[56] Zhang, J., Ali, M.Y., Chong, H.B., Tien, P., Woods, J., Noble, C., et al. (2025) Oxidation of Retromer Complex Controls Mitochondrial Translation. Nature, 641, 1048-1058. [Google Scholar] [CrossRef] [PubMed]
[57] Xiao, X., Hu, M., Gao, L., Yuan, H., Chong, B., Liu, Y., et al. (2025) Low-Input Redoxomics Facilitates Global Identification of Metabolic Regulators of Oxidative Stress in the Gut. Signal Transduction and Targeted Therapy, 10, Article No. 8. [Google Scholar] [CrossRef] [PubMed]
[58] Petrovic, D., Slade, L., Paikopoulos, Y., D’Andrea, D., Savic, N., Stancic, A., et al. (2025) Ergothioneine Improves Healthspan of Aged Animals by Enhancing cGPDH Activity through CSE-Dependent Persulfidation. Cell Metabolism, 37, 542-556.e14. [Google Scholar] [CrossRef] [PubMed]
[59] Fan, Y., Dan, W., Wang, Y., Ma, Z., Jian, Y., Liu, T., et al. (2025) Itaconate Transporter SLC13A3 Confers Immunotherapy Resistance via Alkylation-Mediated Stabilization of PD-L1. Cell Metabolism, 37, 514-526.e5. [Google Scholar] [CrossRef] [PubMed]
[60] Schilter, D. (2017) Thiol Oxidation: A Slippery Slope. Nature Reviews Chemistry, 1, Article No. 0013. [Google Scholar] [CrossRef
[61] Gunnoo, S.B. and Madder, A. (2016) Chemical Protein Modification through Cysteine. ChemBioChem, 17, 529-553. [Google Scholar] [CrossRef] [PubMed]